
Compound Researcher
@Compoundarxiv
What we're researching @compoundvc | DM @mhdempsey @shelbynewsad @0xsmac @mackenziejem to discuss
قد يعجبك
Our public theses
Enter the Compound Thesis Database An experiment with a few of our working theses that we've pulled from our internal database & made public. It's rough, but we hope it allows founders, operators, & investors to better connect with us & help us learn. compound.vc/thesis
Why Is the Smart Grid So Dumb Missing Incentives in Regulatory Policy for an Active Demand Side in the Electricity Sector esig.energy/wp-content/upl…
Pulsed plasma coiled tubing drilling in crystalline rock environment pureadmin.unileoben.ac.at/ws/portalfiles…
Ultra-High Efficiency Hydrogen Production Using Commercial-Type Solid Oxide Electrolysis Cell System papers.ssrn.com/sol3/papers.cf…
Operational study shows airlines can reroute to avoid ice-supersaturated zones that form contrails, using existing flight planning tools. Cuts non-CO₂ forcing with fuel/time trade-offs—feasible for near term deployment. iopscience.iop.org/article/10.108…
Builds a stereochemically paired sulfinyl-aziridine covalent library; finds KL2-236, a MYC-binding degrader targeting IDR C203/D205, causing proteasome-dependent MYC loss; optimized to KL4-219A—pointing to druggable sites in MYC. biorxiv.org/content/10.110…
(New Essay) Sequencing vs. Equal Odds In building companies navigating the intersection of science and engineering, we have repeatedly notice the patterns of two distinct R&D paths that lead to success, and a middle ground that leads to structural poison.



Advance: Plain Transformer on 3D coordinates (no graphs/equivariance) matches equivariant GNN MAE on OMol25 and runs faster. Learns distance-decaying attention; follows scaling laws; enables MD/MLIPs for drug/material R&D. arxiv.org/abs/2510.02259
QUID: 170-system QM benchmark of ligand-pocket motifs with CCSD(T) & QMC agreeing to ~0.5 kcal/mol. Decomposes NCIs, scores DFTs, flags FF/SE gaps—raising binding-energy fidelity for more reliable lead scoring in drug design. nature.com/articles/s4146…
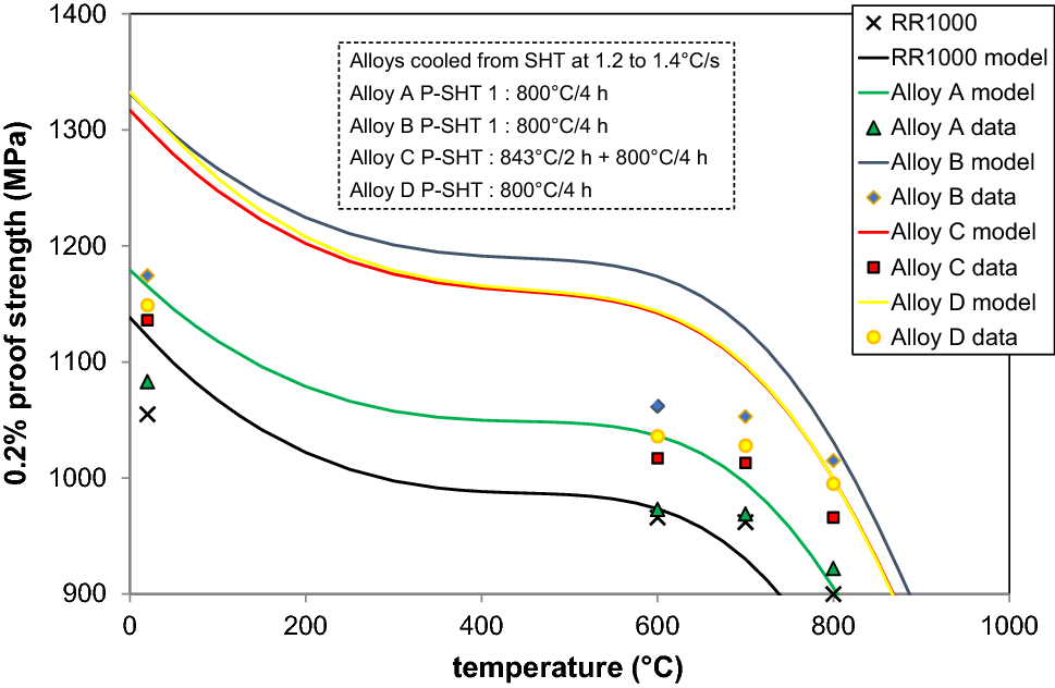
Review maps advances in wrought Ni-superalloys: PM disks 50–55% γ′ for ≈788 °C; IM 30–44% γ′ bridging 718→PM; AUSC candidates for 700–760 °C steam stressing creep/oxidation/weldability. Implications: hotter turbines, AUSC plants. link.springer.com/article/10.100…
The Necessity of AC: DC for Long-Term Operation: 20000 Hours of Operation on a 70-Cell SOEC Stack ecs.confex.com/ecs/sofc2025/m…
Machine learning informed rational design of high entropy double perovskite oxide universal air/steam electrodes for solid oxide electrochemical cells ui.adsabs.harvard.edu/abs/2025AppCB.…
ui.adsabs.harvard.edu
Machine learning informed rational design of high entropy double perovskite oxide universal...
Due to their high efficiency and versatility, solid oxide electrochemical cells (SOCs) are poised to play a significant role in future energy conversion and storage applications. In recent years,...
GPN-Star: a genomic LM trained on multi-species MSAs that learns nucleotide-level functional constraint, setting SOTA for conservation & variant-effect scoring across human/mouse/fly/worm—improving rare-variant triage and regulatory design. biorxiv.org/content/10.110…
40% TPV efficiency via high-bandgap tandem III-V cells (1.4/1.2 & 1.2/1.0 eV) with back-surface photon recycling at 1,900–2,400 °C—making TPV viable for thermal grid storage (TEGS) and compact, fuel-flexible dispatchable power. nature.com/articles/s4158…
United States الاتجاهات
- 1. Westbrook 9,504 posts
- 2. Gold Glove 6,032 posts
- 3. Kings 138K posts
- 4. Rickey 1,589 posts
- 5. #wednesdaymotivation 8,606 posts
- 6. Jay Jones 66.7K posts
- 7. Veo 3.1 3,062 posts
- 8. Jared Leto 7,490 posts
- 9. Young Republicans 129K posts
- 10. Big Balls 11.8K posts
- 11. Brodie 3,821 posts
- 12. Voting Rights Act 16.3K posts
- 13. Bessent 72.9K posts
- 14. Lavine N/A
- 15. Summer Walker 3,512 posts
- 16. Vision Pro 5,049 posts
- 17. Maybe in California N/A
- 18. Sabonis N/A
- 19. Noah Brown N/A
- 20. Justice Jackson 3,468 posts
قد يعجبك
-
Compound
@CompoundVC -
Nadia Asparouhova
@nayafia -
Andy Dunn
@dunn -
Mario Gabriele 🦊
@mariogabriele -
Jonathan Frankle
@jefrankle -
Susa Ventures
@SusaVentures -
Blake Robbins
@blakeir -
Lisa Wehden
@lisawehden -
Mercedes Bent
@mercebent -
Minn
@minney_cat -
Snaxshot
@thesnaxshot -
nicole ruiz
@nwilliams030 -
"Leigh Marie" Braswell
@LM_Braswell -
Elliot Hershberg
@ElliotHershberg -
Alexey Guzey
@alexeyguzey
Something went wrong.
Something went wrong.