
Oriola Timilehin
@TimitheAnalyst
Stat Data Analyst • Industrial Math • Trader ↦ I decode data to make smarter trades. Self-assured, always learning, disciplined.
你可能會喜歡
Dear @HisaeOgido I have over 2 years of experience teaching MATLAB to both high school students and professionals. I have developed customized learning materials covering MATLAB basics, including loops, conditionals, OOP, 2D and 3D visualizations, optimization, functions
データサイエンス教育のコンサルタント募集中😆 MATLAB を使いながら数学理論と実践を学べる教育カリキュラムが当社のお客様に大好評です☺ 社会貢献と人材育成を直に実感することができるこのポジションに興味がありましたら、ぜひご連絡ください。 #matlab #HiringNow x.gd/J7wTo
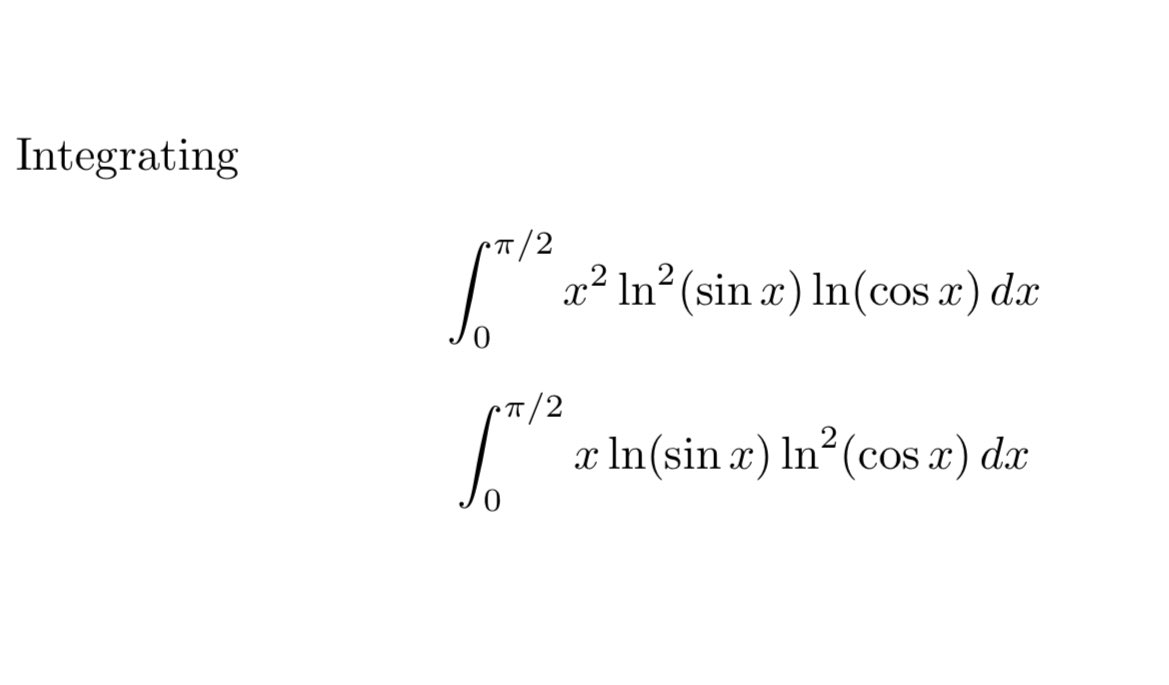
What are your thoughts on these Integrals?? Worth trying

How to use MATLAB to evaluate complex integrals In Maths, some complex integrals can't be evaluated analytically unless we find the approximate values We can use these commands to evaluate integrals function; quad, quad, integral, quadgk
My teaching; Solving second-order differential equations by Power Series. @namssn_unilag
How to Construct the Lagrangian equation of motion for for motion under the influence of gravity A thread 🧵
$PARAM Token Generation Event (TGE) 📢$PARAM is now LIVE 📢 Token Contract Address: 0x69A1e699f562D7Af66Fc6cc473d99f4430C3AcD2 Buy $PARAM here: Bybit - bybit.com/en/trade/spot/… HTX - htx.com/trade/param_us… Gate - gate.io/trade/PARAM_US… Bitget - bitget.com/spot/PARAMUSDT MEXC -…
We're excited to announce our next confirmed $PARAM exchange listing partner @MEXC_Official🤝 🗓️May 29th, 8 AM UTC

Our next exchange listing partner for $PARAM is @HTX_Global ⚡️ ⏰May 29TH, 8 AM UTC!

We're excited to join forces with @ParamLaboratory to bring next-gen gaming experiences to everyone!🌟🎮 With over 300M+ views per month, Chronic is thrilled to back innovation in gaming.
The next exchange confirmed to list $PARAM is @bitgetglobal 🚀 🗓️ May 29th, 8 AM UTC!

Prepare for takeoff🛸
Our next confirmed $PARAM exchange listing partner is @gate_io📈 ⏳May 29th, 8 AM UTC!

Theorem If φ(x, y) , ψ(x, y), d ψ/dy and dφ/dx are continuous functions over a region R, bounded by a closed curve C, then; ∫(φdx + ψdy)=∫∫(dψ/dx - dφ/dy)dxdy
Measurements of Active and Reactive Power as well as observing phase power in Simulink
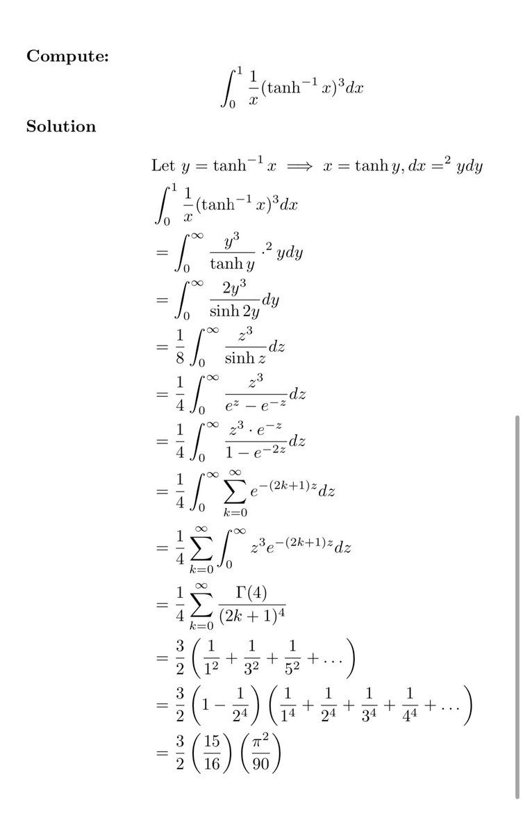
An old problem proposed by Yen Tung Chung. My solution 👇 Editor used :- Latex

I dont know where God wants to take you, but I pray for you in the name of JESUS CHRIST, you will reach your goal !
Our Discord has officialy reached 500k members, which is the @discord maximum capacity!📈 An exciting new milestone highlighting the immense excitement around the $PARAM gaming ecosystem. Discord limit will be raised soon, allowing more users to join us.

When the stars align, greatness emerges ✨
Kick back in the Kiraverse 🛸
United States 趨勢
- 1. #KonamiWorldSeriesSweepstakes 1,715 posts
- 2. Mitch McConnell 28.4K posts
- 3. Term 191K posts
- 4. #2025MAMAVOTE 1.62M posts
- 5. Andrade 10.4K posts
- 6. Tyla 31K posts
- 7. AJ Green N/A
- 8. Carter Hart 3,448 posts
- 9. Budapest 21.9K posts
- 10. Dairy Bird N/A
- 11. No Kings 154K posts
- 12. Big L 11.1K posts
- 13. Ace Frehley N/A
- 14. Somalia 32.5K posts
- 15. ACEATTORNEY 2,802 posts
- 16. Nissan 5,029 posts
- 17. Chanel 31K posts
- 18. Nick Khan N/A
- 19. Anya 16.7K posts
- 20. Jaden Ivey N/A
你可能會喜歡
-
Bra Shaddy Mowerz
@bra_mowerz -
Tashawizee
@tashawizee -
Odinaka nduka
@Odinakanduka3 -
strictly_iyanex
@Retweetlikes014 -
Fahim in Tech
@fahimintech -
Ngezi 🇿🇦
@Ngezi007 -
Denike👑
@_lazytechgirl -
Moses Not Egyptian🪐
@moses_nnamah -
MilanCFC
@cfc_milan -
JO▶️
@DARI01001 -
BAYITA KHASSIM
@KhassimBayita -
Humble man
@programmersavvy -
Abuchi Edwin🇳🇬💙💙🐐
@edwin_abuchi -
Colton Telford
@mustardnut
Something went wrong.
Something went wrong.