deepice_project's profile picture. #deepiceproject 🇪🇺 EU H2020-#MSCA-ITN project (grant n955750) Training a new generation of early stage researchers in #icecore sciences. 01/01/2021-31/12/2024

DEEPICE Project

@deepice_project

#deepiceproject 🇪🇺 EU H2020-#MSCA-ITN project (grant n955750) Training a new generation of early stage researchers in #icecore sciences. 01/01/2021-31/12/2024

Pinned

📢#SciCom | Discover our videos series 'DEEPICE stories' presented by Ailsa ! Dive into the science of #icecore 🧊 🇦🇶 with our PhD students & learn how the ice gives us insights into past #climate Our 15 educational videos are now on YouTube! 👇 youtube.com/playlist?list=…


DEEPICE Project reposted

Lisa Ardoin, glaciologue à l'@ULBruxelles, part 4 mois en #Antarctique : "Forer la glace pour retrouver l'atmosphère terrestre d'il y a 1,5 million d'années" #BeyondEpica @OldestIce @deepice_project via @ladh dhnet.be/regions/bruxel…


👏👩‍🎓Congratulations Ailsa Chung! Yesterday a 2nd DEEPICE PhD defended her thesis at IGE. Ailsa's research work focused on modelling the age and ice flow for ice core drilling sites in Antarctica. In a few weeks, she'll be on the field at the Beyond EPICA drill site in 🇦🇶!

deepice_project's tweet image. 👏👩‍🎓Congratulations Ailsa Chung!  

Yesterday a 2nd DEEPICE PhD defended her thesis at IGE. 

Ailsa's research work focused on modelling the age and ice flow for ice core drilling sites in Antarctica. 

In a few weeks, she'll be on the field at the Beyond EPICA drill site in 🇦🇶!

👏👨‍🎓Congratulations Qinggang Gao! Our 1st DEEPICE PhD defended his thesis last week! After finishing his PhD at BAS, Qinggang will soon join the University of Melbourne to work on high resolution regional climate modelling focusing on tropical trade wind clouds.

deepice_project's tweet image. 👏👨‍🎓Congratulations Qinggang Gao!

Our 1st DEEPICE PhD defended his thesis last week! 

After finishing his PhD at BAS, Qinggang will soon join the University of Melbourne  to work on high resolution regional climate modelling focusing on tropical trade wind clouds.

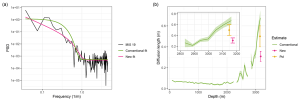
📢Another DEEPICE publication written by Fyntan Shaw, PhD student @AWI Fyntan's article presents a novel approach to estimate the water isotope diffusion length in deep ice cores with an application to Marine Isotope Stage 19 in the Dome C ice core 👉tc.copernicus.org/articles/18/36…


🥳📢 Check out this new DEEPICE paper just published! Written by @HanneNoto, the article focuses on a free calibration standard for Proton-transfer-reaction mass spectrometry for Atmospheric CFC-11 and CCl4 Well done Hanne! 👏 sciencedirect.com/science/articl…


🎞️DEEPICE Stories "Insights into Ice & Climate" - A series of 15 educational videos Did you know that analyzing ice cores from 🇦🇶 can help climate modelling? 🧊🌍🌡️ Check out Qinggang's video to learn more👇 youtube.com/watch?v=CCxcPw…

deepice_project's tweet image. 🎞️DEEPICE Stories "Insights into Ice & Climate" -  A series of 15 educational videos

Did you know that analyzing ice cores from 🇦🇶 can help climate modelling? 🧊🌍🌡️

Check out Qinggang's video to learn more👇

youtube.com/watch?v=CCxcPw…
deepice_project's tweet image. 🎞️DEEPICE Stories "Insights into Ice & Climate" -  A series of 15 educational videos

Did you know that analyzing ice cores from 🇦🇶 can help climate modelling? 🧊🌍🌡️

Check out Qinggang's video to learn more👇

youtube.com/watch?v=CCxcPw…
deepice_project's tweet image. 🎞️DEEPICE Stories "Insights into Ice & Climate" -  A series of 15 educational videos

Did you know that analyzing ice cores from 🇦🇶 can help climate modelling? 🧊🌍🌡️

Check out Qinggang's video to learn more👇

youtube.com/watch?v=CCxcPw…

🎞️DEEPICE Stories "Insights into Ice & Climate" A series of 15 educational videos 🧐Wonder what glacial-interglacial cycles are and what is the so-called 'Mid-Pleistocene Transition' ? 🌏Daniel will tell you more about that in his 3mn video👇 youtube.com/watch?v=MGvVUY…

deepice_project's tweet image. 🎞️DEEPICE Stories "Insights into Ice & Climate"   A series of 15 educational videos

🧐Wonder what glacial-interglacial cycles are and what is the so-called 'Mid-Pleistocene Transition' ?

🌏Daniel will tell you more about that in his 3mn video👇

youtube.com/watch?v=MGvVUY…
deepice_project's tweet image. 🎞️DEEPICE Stories "Insights into Ice & Climate"   A series of 15 educational videos

🧐Wonder what glacial-interglacial cycles are and what is the so-called 'Mid-Pleistocene Transition' ?

🌏Daniel will tell you more about that in his 3mn video👇

youtube.com/watch?v=MGvVUY…
deepice_project's tweet image. 🎞️DEEPICE Stories "Insights into Ice & Climate"   A series of 15 educational videos

🧐Wonder what glacial-interglacial cycles are and what is the so-called 'Mid-Pleistocene Transition' ?

🌏Daniel will tell you more about that in his 3mn video👇

youtube.com/watch?v=MGvVUY…

🎞️DEEPICE Stories "Insights into Ice & Climate" A series of 15 educational videos 🧐Do you know what 'basal ice' is? It is the very old &deep part of this ice sheet, and it contains super interesting info about the past! Watch Lisa's🎞️to learn more! youtube.com/watch?v=IWG5RY

deepice_project's tweet image. 🎞️DEEPICE Stories "Insights into Ice & Climate"  
A series of 15 educational videos

🧐Do you know what 'basal ice' is? It is the very old &deep part of this ice sheet, and it contains super interesting info about the past!

Watch Lisa's🎞️to learn more!

youtube.com/watch?v=IWG5RY
deepice_project's tweet image. 🎞️DEEPICE Stories "Insights into Ice & Climate"  
A series of 15 educational videos

🧐Do you know what 'basal ice' is? It is the very old &deep part of this ice sheet, and it contains super interesting info about the past!

Watch Lisa's🎞️to learn more!

youtube.com/watch?v=IWG5RY
deepice_project's tweet image. 🎞️DEEPICE Stories "Insights into Ice & Climate"  
A series of 15 educational videos

🧐Do you know what 'basal ice' is? It is the very old &deep part of this ice sheet, and it contains super interesting info about the past!

Watch Lisa's🎞️to learn more!

youtube.com/watch?v=IWG5RY

DEEPICE Project reposted

Calling for #AGU24 abstracts!! Do you run models 🖥️, make observations 👀, or take samples 🥶 of ”Strange ice”? 👽👻🧊 Join our session C038: "Strange Ice" - Bridging Observation, Sampling and Modeling Efforts to Address the Unsettled Glacier and Ice Sheet Questions!

S_Yan_94's tweet image. Calling for #AGU24 abstracts!!
Do you run models 🖥️, make observations 👀, or take samples 🥶 of ”Strange ice”? 👽👻🧊
Join our session C038: "Strange Ice" - Bridging Observation, Sampling and Modeling Efforts to Address the Unsettled Glacier and Ice Sheet Questions!

🎞️DEEPICE Stories "Insights into Ice & Climate" A series of 15 educational videos 🧐Did you know we can find impurities in the ice in Antarctica and even volcanic ashes🌋which can inform us about past climate? Watch Geunwoo's video to learn more👇 youtube.com/watch?v=rD4k5k…

deepice_project's tweet image. 🎞️DEEPICE Stories "Insights into Ice & Climate" 
A series of 15 educational videos   

🧐Did you know we can find impurities in the ice in Antarctica and even volcanic ashes🌋which can inform us about past climate?

Watch Geunwoo's video to learn more👇
youtube.com/watch?v=rD4k5k…
deepice_project's tweet image. 🎞️DEEPICE Stories "Insights into Ice & Climate" 
A series of 15 educational videos   

🧐Did you know we can find impurities in the ice in Antarctica and even volcanic ashes🌋which can inform us about past climate?

Watch Geunwoo's video to learn more👇
youtube.com/watch?v=rD4k5k…
deepice_project's tweet image. 🎞️DEEPICE Stories "Insights into Ice & Climate" 
A series of 15 educational videos   

🧐Did you know we can find impurities in the ice in Antarctica and even volcanic ashes🌋which can inform us about past climate?

Watch Geunwoo's video to learn more👇
youtube.com/watch?v=rD4k5k…

🎞️DEEPICE Stories "Insights into Ice & Climate" A series of 15 educational videos Ice from 🇦🇶holds samples of air from the past🫧 allowing us to reconstruct greenhouse gases concentrations over thousands of years⏳! Watch Lison's video to learn more👇 youtube.com/watch?v=3l5CHr…

deepice_project's tweet image. 🎞️DEEPICE Stories "Insights into Ice & Climate" 
A series of 15 educational videos  

Ice from 🇦🇶holds samples of air from the past🫧 allowing us to reconstruct greenhouse gases concentrations over thousands of years⏳!
Watch Lison's video to learn more👇
youtube.com/watch?v=3l5CHr…
deepice_project's tweet image. 🎞️DEEPICE Stories "Insights into Ice & Climate" 
A series of 15 educational videos  

Ice from 🇦🇶holds samples of air from the past🫧 allowing us to reconstruct greenhouse gases concentrations over thousands of years⏳!
Watch Lison's video to learn more👇
youtube.com/watch?v=3l5CHr…
deepice_project's tweet image. 🎞️DEEPICE Stories "Insights into Ice & Climate" 
A series of 15 educational videos  

Ice from 🇦🇶holds samples of air from the past🫧 allowing us to reconstruct greenhouse gases concentrations over thousands of years⏳!
Watch Lison's video to learn more👇
youtube.com/watch?v=3l5CHr…

🎞️DEEPICE Stories "Insights into Ice & Climate" A series of 15 educational videos 🇦🇶ice holds samples of greenhouse gases past concentration in trapped air bubbles🫧 The gases have major impacts on our climate. Watch Hanne's video to learn more about it! youtube.com/watch?v=pAy6pT…

deepice_project's tweet image. 🎞️DEEPICE Stories "Insights into Ice & Climate"
A series of 15 educational videos

🇦🇶ice holds samples of greenhouse gases past concentration in trapped air bubbles🫧
The gases have major impacts on our climate. Watch Hanne's video to learn more about it!

youtube.com/watch?v=pAy6pT…
deepice_project's tweet image. 🎞️DEEPICE Stories "Insights into Ice & Climate"
A series of 15 educational videos

🇦🇶ice holds samples of greenhouse gases past concentration in trapped air bubbles🫧
The gases have major impacts on our climate. Watch Hanne's video to learn more about it!

youtube.com/watch?v=pAy6pT…
deepice_project's tweet image. 🎞️DEEPICE Stories "Insights into Ice & Climate"
A series of 15 educational videos

🇦🇶ice holds samples of greenhouse gases past concentration in trapped air bubbles🫧
The gases have major impacts on our climate. Watch Hanne's video to learn more about it!

youtube.com/watch?v=pAy6pT…

DEEPICE Project reposted

Following a week of preparation, the Beyond EPICA ice core processing has started on June 3 @AWI_Media, proceeding from the lowermost part upward, making everyone feel how different the ice from different depths can be. beyondepica.eu/en/campaigns/p… 📸Chiara Venier©CNR-ISP

OldestIce's tweet image. Following a week of preparation, the Beyond EPICA ice core processing has started on June 3 @AWI_Media, proceeding from the lowermost part upward, making everyone feel how different the ice from different depths can be. beyondepica.eu/en/campaigns/p…
📸Chiara Venier©CNR-ISP

📢DEEPICE Newsletter #6 is out! 📰 👉 Check it out here to find out about the latest news and updates! mailchi.mp/e9666252454e/n…

deepice_project's tweet image. 📢DEEPICE Newsletter #6 is out! 📰

👉 Check it out here to find out about the latest news and updates!
mailchi.mp/e9666252454e/n…

🎞️DEEPICE Stories "Insights into Ice & Climate" A series of 15 educational videos 🧐How do we obtain the past temperature by studying ice from 🇦🇶? In this video, Eirini explains how water molecules can be analysed to reconstruct past temperature!💧🌡️ youtu.be/Gd5ZGeSLbOQ

deepice_project's tweet image. 🎞️DEEPICE Stories "Insights into Ice & Climate"  A series of 15 educational videos

🧐How do we obtain the past temperature by studying ice from 🇦🇶? 

In this video, Eirini explains how water molecules can be analysed to reconstruct past temperature!💧🌡️

youtu.be/Gd5ZGeSLbOQ
deepice_project's tweet image. 🎞️DEEPICE Stories "Insights into Ice & Climate"  A series of 15 educational videos

🧐How do we obtain the past temperature by studying ice from 🇦🇶? 

In this video, Eirini explains how water molecules can be analysed to reconstruct past temperature!💧🌡️

youtu.be/Gd5ZGeSLbOQ
deepice_project's tweet image. 🎞️DEEPICE Stories "Insights into Ice & Climate"  A series of 15 educational videos

🧐How do we obtain the past temperature by studying ice from 🇦🇶? 

In this video, Eirini explains how water molecules can be analysed to reconstruct past temperature!💧🌡️

youtu.be/Gd5ZGeSLbOQ

La conférence sur l'étude des climats du passé grâce aux carottes de glace est disponible en ligne en replay! 👉 youtube.com/watch?v=W9v4Vp…

deepice_project's tweet card. A la recherche des climats passés

youtube.com

YouTube

A la recherche des climats passés

📢Conférence en ligne et gratuite sur l'étude du climat grâce aux carottes de glace, à ne pas rater ! 📆Mardi 4 juin à 18h30 ☑️Inscription obligatoire ici: billetterie.cite-sciences.fr/offre-en-ligne…

deepice_project's tweet image. 📢Conférence en ligne et gratuite sur l'étude du climat grâce aux carottes de glace, à ne pas rater !
📆Mardi 4 juin à 18h30
☑️Inscription obligatoire ici: billetterie.cite-sciences.fr/offre-en-ligne…


📢C'est ce soir, c'est gratuit et en ligne, c'est pédagogique et très intéressant ! 👉Inscription obligatoire sur le site de la billetterie de la cité des Sciences pour suivre la conférence.

📢Conférence en ligne et gratuite sur l'étude du climat grâce aux carottes de glace, à ne pas rater ! 📆Mardi 4 juin à 18h30 ☑️Inscription obligatoire ici: billetterie.cite-sciences.fr/offre-en-ligne…

deepice_project's tweet image. 📢Conférence en ligne et gratuite sur l'étude du climat grâce aux carottes de glace, à ne pas rater !
📆Mardi 4 juin à 18h30
☑️Inscription obligatoire ici: billetterie.cite-sciences.fr/offre-en-ligne…


📢Retrouvez-nous à l'@AcademieClimat dans le cadre du @Forumeteoclimat vendredi et samedi pour parler climat, glace et Antarctique !🧊🇦🇶 A travers des activités ludiques, nous parlerons science et climat! 🌡️🌍 🧾Découvrez le programme complet👇 lnkd.in/eV5GAgBa

deepice_project's tweet image. 📢Retrouvez-nous à l'@AcademieClimat dans le cadre du @Forumeteoclimat vendredi et samedi pour parler climat, glace et Antarctique !🧊🇦🇶

A travers des activités ludiques, nous parlerons science et climat! 🌡️🌍

🧾Découvrez le programme complet👇
lnkd.in/eV5GAgBa

Loading...

Something went wrong.


Something went wrong.