manojkmsg's profile picture. Jo Hai So Hai !

Jai Hind Jai Bharat 🇮🇳

Manoj Kumar

@manojkmsg

Jo Hai So Hai ! Jai Hind Jai Bharat 🇮🇳

Manoj Kumar a reposté

Maturity is realising ✅ 70k-90k salary with living close to your parents is best ❌ 1.5L to 2L salary in metro city staying away from parents is not worth


Manoj Kumar a reposté

Hi, Ranjith. You've got a full VVIP experience waiting for you in Bengaluru because your trip to the @nc_classic is on me! 😊 And thanks to @RadissonHotels, you'll be staying about 90 metres away from me. See you soon! 😉

If anyone sponsor me 2000 rupees, I can go to watch this from Coimbatore🙂🙂🙂



Manoj Kumar a reposté

Indian Govt Fact Checks Pakistani Military briefing of last night. The Pakistan military had shown edited clips of Indian Media coverage to present a propaganda version of impact on airbases. Just missed the point to tell, those were about Pakistani airbases & not Indian.

In its media briefing, the DG ISPR of Pakistan used a small part of a full video clip of Aaj Tak News Channel to claim Indian airfield has been destroyed. This is an attempt by #Pakistan to mislead its own people by producing doctored footage as evidence. The actual story in…



Manoj Kumar a reposté

Please let me know what I should respond to for the western vocabulary and I will do my best to squeeze in responses. No trickery of words will be used to fool the world while I stand guard. 🇮🇳

Love how @prvkhvr is using his platform to become the voice of India. This is important because most english speaking Indian sources westerns rely on are anti-India.



Manoj Kumar a reposté

Very well said!


Manoj Kumar a reposté

Patanjali and Roohafza EXPOSED!


Manoj Kumar a reposté

Instagram is full of this video claiming that Kashmiri students were beaten at Maharajgunj Medical Campus. This is fake news. Fact: Maharajgunj Medical Campus is in Nepal. The video is about a clash between students in March and has no relation to Kashmiri students. Share this!

AskAnshul's tweet image. Instagram is full of this video claiming that Kashmiri students were beaten at Maharajgunj Medical Campus. This is fake news.

Fact: Maharajgunj Medical Campus is in Nepal. The video is about a clash between students in March and has no relation to Kashmiri students.

Share this!

Manoj Kumar a reposté

विकास दिव्यकीर्ति सर का पहलगाम हमले पर बड़ा ही सटीक विश्लेषण आया है...💯 इस वीडियो में बेहद गहरी बात किए हैं. सुनिए और समझिए 🙏🙏 #PahalgamTerrorAttack 🚨


Manoj Kumar a reposté

The reality of the person who is claiming to be Ashok Kumar, an Indian Army Officer. His real name: Kanji Malik. Location: Karachi in Pakistan. Residence: PIB Colony. Links with Pakistani Army. Share this.


Manoj Kumar a reposté

Ask ChatGPT: If you were the devil and wanted to keep an entire nation sick, what would you do?

levelsio's tweet image. Ask ChatGPT:

If you were the devil and wanted to keep an entire nation sick, what would you do?
levelsio's tweet image. Ask ChatGPT:

If you were the devil and wanted to keep an entire nation sick, what would you do?
levelsio's tweet image. Ask ChatGPT:

If you were the devil and wanted to keep an entire nation sick, what would you do?

Manoj Kumar a reposté

ये क्या बोल रहे हैं? कोरोना हो गया तो मार दो? अपशब्द कहे तो मार दो? ये न तो न्यायसंगत है, न ही धर्मसंगत! बागेश्वर बाबा से आग्रह है कि वो पॉडकास्ट पर लोकलुभावन बातें बोलने से बचें। ये जो आप कह रहे हैं, वो बचकाना है। संक्रामक रोग हर दिन फैलता है, मार दें?


Manoj Kumar a reposté

Elect a clown and expect a circus


Manoj Kumar a reposté

AAP Propaganda busted 😂 AAP MLA received an offer of Rs 15 crore from 9971862555 and he says “I dialed this number during the entire debate on camera, it was busy at first, then I switched it off”😬 Shivam Tyagi busts the propaganda 👏👏


Manoj Kumar a reposté

This video deserves to go Super Viral!


Manoj Kumar a reposté

Arvind Kejriwal – the most crooked and cunning politician ever.


Manoj Kumar a reposté

₹5.6 करोड़ के रिमोट वाले पर्दे, 1 करोड़ की रेलिंग, 70 लाख के ऑटोमैटिक दरवाज़े, 65 लाख के TV, 30 लाख की रिमोट कंट्रोल लाइट, 12-12 लाख की टॉयलेट सीटें (जो ग़ायब बताई जा रही हैं), 9 लाख का फ्रिज, 4 लाख की मसाज वाली कुर्सी और ना जाने क्या क्या… जिस महापुरुष ने ये महल बनाया, उसी…


Manoj Kumar a reposté

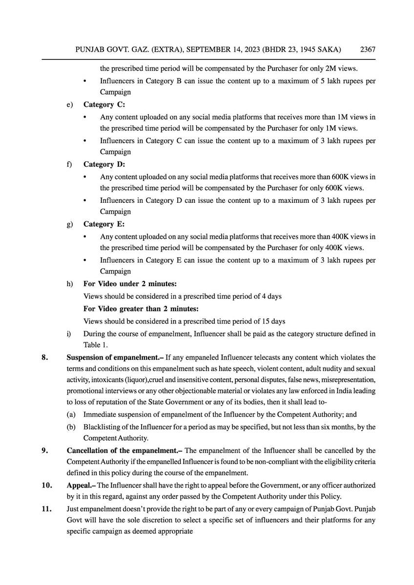
Dhruv, it seems UP govt copied this scheme from AAP govt's Punjab Influencer Empowerment Policy 2023: Rs 8 lakh for influencers with more than a one-million-subscriber base. Didn't you see legalized bribery using taxpayers' money in this case because it was done by AAP? Okay!

AskAnshul's tweet image. Dhruv, it seems UP govt copied this scheme from AAP govt's Punjab Influencer Empowerment Policy 2023:

Rs 8 lakh for influencers with more than a one-million-subscriber base.

Didn't you see legalized bribery using taxpayers' money in this case because it was done by AAP? Okay!
AskAnshul's tweet image. Dhruv, it seems UP govt copied this scheme from AAP govt's Punjab Influencer Empowerment Policy 2023:

Rs 8 lakh for influencers with more than a one-million-subscriber base.

Didn't you see legalized bribery using taxpayers' money in this case because it was done by AAP? Okay!
AskAnshul's tweet image. Dhruv, it seems UP govt copied this scheme from AAP govt's Punjab Influencer Empowerment Policy 2023:

Rs 8 lakh for influencers with more than a one-million-subscriber base.

Didn't you see legalized bribery using taxpayers' money in this case because it was done by AAP? Okay!
AskAnshul's tweet image. Dhruv, it seems UP govt copied this scheme from AAP govt's Punjab Influencer Empowerment Policy 2023:

Rs 8 lakh for influencers with more than a one-million-subscriber base.

Didn't you see legalized bribery using taxpayers' money in this case because it was done by AAP? Okay!

Uttar Pradesh Govt is saying it will pay up to ₹8 Lakh to Influencers to promote the govt. This is Legalized Bribery. From Tax Payer's Money. Any influencer who does this should be publicly shamed.



Manoj Kumar a reposté

लीडरशिप पर इससे बेहतर 6 मिनट का कोर्स नहीं सकता है। स्पोर्ट्स,पॉलिटिक्स से लेकर हर जगह लागू। सौरव गांगुली ने कितने सहज तरीक़े से समझाई है। Must Watch


Manoj Kumar a reposté

Mid-Day newspaper published a prominent headline falsely claiming that a phone had unlocked an EVM in Mumbai. After this fake news was busted, Mid-Day issued a small seven-line clarification today, which many readers struggled to find in the newspaper.

AskAnshul's tweet image. Mid-Day newspaper published a prominent headline falsely claiming that a phone had unlocked an EVM in Mumbai.

After this fake news was busted, Mid-Day issued a small seven-line clarification today, which many readers struggled to find in the newspaper.

Manoj Kumar a reposté

Dhruv, this news is misleading like most of your videos. One cannot unlock an EVM with a phone. EVMs are stand-alone machines; they do not have any frequency receiver or decoder for wireless connection. And, ETPBS is different from EVM. I invite you for a debate on this topic.

This is the Mumbai North West Lok Sabha Seat INDIA Alliance lost this seat by just 48 votes. The NDA candidate’s relative had a phone which could unlock EVM. @ECISVEEP must order a re-election in this constituency!

dhruv_rathee's tweet image. This is the Mumbai North West Lok Sabha Seat

INDIA Alliance lost this seat by just 48 votes. The NDA candidate’s relative had a phone which could unlock EVM. 

@ECISVEEP must order a re-election in this constituency!


Loading...

Something went wrong.


Something went wrong.