
pythontic.com
@pythontic_
http://pythontic.com is all about learning every aspect of the Python Programming Language with clarity.
你可能会喜欢
Draw Veronoi diagrams using Python: pythontic.com/scipy/spatial/… #pythontic #research #medicine #physiology #urbanplanning #python #data #machinelearning #ai #coding

Doing agglomerative hierarchical clustering using Python & SciPy. pythontic.com/scipy/clusteri… #python #numpy #scipy #clustering #datascientist #data #research #bigdata #Analytics #ArtificialInteligence #MachineLearning #Statistics #developers #code #programming

When numpy.bitwise_invert() flips bits it does so, on an integer stored in twos complememt form. pythontic.com/numpy/bitwise-… Photo Credit: flickr.com/photos/sjpower… CC0 1.0 Universal #Python #numpy #programming #code #coding #computer #computing #research #science #data #analytics

ndarray - .NPY, .NPZ, Compressed, Uncompressed...load all of them using numpy.load(): pythontic.com/numpy/read-wri… #python #pythonprogramming #Coding #student #research #numpy #DataScientist #Physics #Chemistry #Science #database photo credit: flickr.com/photos/adactio…, CC BY 2.0
Python: send() values to a running generator pythontic.com/statements/yie… #python #pythontic #code #developers #coding #programming #send #generators #coroutines #iterators #students #science #research #physics #chemistry #math #datascience

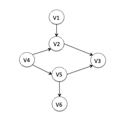
Get the Topological order of a DAG with the graphlib.ToplogicalSorter class of Python 3.9: bit.ly/3f49ebT #pythontic #python #DAG #graphs #Algorithms #algorithm #code #DataScience #visualization #Maths #Math #Mathematics #research #workflow #programming

Remove duplicates and missing values in a pandas DataFrame: bit.ly/3tosepI #pythontic #pandas #python #data #DataScience #code #programming #python #datawrangling #research #physics #analytics #DataFrame #matrix #duplicates #missingvalues #coding

Finding auto correlation through lag plots: bit.ly/3qAzOxA #pythontic #python #pandas #stats #statistics #visualization #ML #AI #MachineLearning #data #DataVisualization #graphs #programming #coding #code #developers #physics #research #science


Visualize multivariate data using Andrews Curves in pandas: bit.ly/3g8686a #pythontic #python #pandas #visualization #data #datasets #machinelearning #ArtificialIntelligence #ml #ai #statistics #programming #coding #students #code

seaborn barplot() : If multiple data points are present for same category, the bar can be made to reflect the point estimate: bit.ly/2E7R89b #python #pythontic #datascience #statistics #seaborn #code #data #visualization #science #stats #students #university #programming

+Dendograms->Heatmaps<-Clustered = Seaborn.clustermap() : bit.ly/2BnzSfm #python #pythontic #visualization #data #DataScience #statistics #clustering #diagrams #seaborn #code #example #universities #students #programming #coding #research #economy #Bioinformatics

Kernel Density Estimation - KDE plot using seaborn: bit.ly/2Zx2Ylv #python #pythontic #seaborn #visualization #tools #programming #Statistics #coding #programming #diagrams #nonparametric #research #math #science #data #physics #chemistry #testing #PredictiveAnalytics

Drawing point plots using the Python visualization library seaborn: bit.ly/38BRGQ8 #python #pythontic #seaborn #DataVisualization #DataScience #Statistics #math #science #economics #research #Biology #physics #data #tools #programming #Coding


The all-pervasive SSLContext.verify_mode in Python. bit.ly/3eTYQlx #pythontic #python #Python3 #PythonProgramming #SSL #security #data #bigdata #DataScience #programming #secure #x509 #TLS #TCP #HTTPS #sftp #encryption #cryptocurrency #Bitcoin #BitcoinCash #Coding

Secure communication using TLS through Python's SSLSocket: bit.ly/2X88WIS #pythontic #python #security #communication #cryptography #programming #coding #security #tls #ssl #socket #NetworkSecurity #network #code #data #science #math

Convert a digital certificate from DER(binary) to PEM(Base64 encoded using ASCII): bit.ly/2w2ZV8J #pythontic #python #ssl #security #tls #socket #programming #coding #developers #https #certificates #specifications #protocol #network #computers

Finding the insertion point/inserting at the right position - on an already sorted Python list: bit.ly/38EvWlw #pythontic #python #data #DataScience #coding #programming #code #science #research #list #algorithms #datastructures #physics #chemistry #university #research

Merging multiple sorted sequences using Python's heapq module:bit.ly/2MZwKZL #pythontic #python #algorithms #sorting #merge #DataScience #data #visualisation #programming #datastructures #heap #research #coding #programmers #coders #Universities #Students #code

Make a min heap with heapq.heapify() in Python: bit.ly/34CfjV4 #python #pythontic #data #datastuctures #algorithms #heap #sorting #algo #science #computing #programming #minheap #search #visualization #datascience #data #coding #developers #coders

Pandas DataFrame <-> HDF5 file #pythontic #python #pandas #hdf5 #experiments #sensordata #physics #hierarchicaldata #DataFrame #analytics #storage #BigData #science #chemistry #geography #earthscience #programming #programs #students #universities #laboratories #data #visualize

United States 趋势
- 1. Stanford 10.9K posts
- 2. Florida State 10.1K posts
- 3. Norvell 4,223 posts
- 4. #AEWWrestleDream 69.3K posts
- 5. SPENCER SMITH N/A
- 6. Sabrina 65.8K posts
- 7. #byucpl N/A
- 8. Darby 11.5K posts
- 9. Utah 32.8K posts
- 10. brendon 5,769 posts
- 11. Mizzou 6,287 posts
- 12. Hugh Freeze 3,060 posts
- 13. Lincoln Riley 2,925 posts
- 14. Sperry N/A
- 15. Bama 16.5K posts
- 16. Sting 14.6K posts
- 17. Nobody's Son 3,714 posts
- 18. Pico Prism 3,782 posts
- 19. Castellanos 3,663 posts
- 20. lorde 5,734 posts
Something went wrong.
Something went wrong.