
Clojure(Script)
@scriptclojure
Retweeting Clojure & ClojureScript news, contact @jiyinyiyong for more...
내가 좋아할 만한 콘텐츠
Faster ClojureScript React templates via type inference: kevinlynagh.com/notes/fast-clj…
#Neanderthal vs #ND4J - vol 5 - Why are native map and reduce up to 100x faster in #Clojure than #Java? #MKL dragan.rocks/articles/18/Ne…
Genetic programming in Clojure: pure functions and infinite lazy sequences sulami.github.io/posts/genetic-… #clojure #DataScience

While it's true that C/C++ 'macro' sometimes makes us flabbergasted. Rust's macro is sensible. Things that you need to type a lot for equality, debugging, and cloning become much more convenient. A much closer comparison is Clojure's macro because Clojure code is a model of AST.
Reminder: I’ll be on defn podcast tomorrow! Feel free to reply with any questions that you’d like to see answered
We are excited to have @_anmonteiro as guest on our next episode - join us on live on 25 November 20:00 (Europe/Amsterdam) patreon.com/posts/defn-42-…
patreon.com
defn #42 Live with António Monteiro | The Defn crew
Get more from The Defn crew on Patreon
@scriptclojure @ClojureFriends @wazound - any chance of a RT for this? The Department of Genetics at the University of Cambridge is looking for a Clojure/Clojurescript dev, to work on an open source reagent/re-frame based app - github.com/intermine/blue…
(Thread) We're hiring a front-end web dev to work on open source scientific software! We've had some brilliant applications already, but we'd like to see a more diverse pool of applicants. Can you help by sharing this with your friends and colleagues? jobs.cam.ac.uk/job/19504/
Wow! Using Clojure compiled via Graal to drive JavaScriptCore, creating a self-hosted ClojureScript REPL: github.com/lxbr/ludwig This kind of crazy experimentation is wicked cool. Interested in seeing where it leads…
Any sufficiently complicated Clojure program contains an ad-hoc, informally-specified, bug-ridden, slow implementation of an in-memory relational database.
Wrote on my blog about Clojure/ClojureScript libraries that I use and recommend: quanttype.net/posts/2018-10-…
Happening now at our #DigitalGarden - Hands On: Native Clojure with GraalVM with @janstepien shout out to @clojure_dus


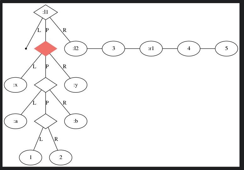
More zipper viz shenanigans. Coming to a Den of Clojure and @lambdaisland near you.


Clojure scored the highest non-Java JVM language in this new survey: snyk.io/blog/jvm-ecosy…
Two great talks at @clojurenyc at @workframehq tonight. Thanks Dennis and Simon! Video to come.


Just watched @janstepien’s inspiring video on running #Clojure natively (i.e. fast and slim executable programs) via #GraalVM: youtube.com/watch?v=kjZP_w…
youtube.com
YouTube
Native Clojure with GraalVM – Jan Stępień
Wow! @swannodette ‘s last 4 commits on ClojureScript master speed up the compiler by 1.44 on the first 59 Coal Mine problem corpus.
Wow! Here is an example where ClojureScript’s built-in type inference could be leveraged to emit much more performant code: dev.clojure.org/jira/browse/CL…
United States 트렌드
- 1. #AEWWrestleDream 23.4K posts
- 2. #UFCVancouver 22.7K posts
- 3. No Kings 1.54M posts
- 4. Chito 5,955 posts
- 5. #RollTide 4,281 posts
- 6. CJ Carr 1,103 posts
- 7. Tennessee 45.3K posts
- 8. Sam Rivers 7,765 posts
- 9. Sark 2,197 posts
- 10. Heupel 1,115 posts
- 11. Holland 11.2K posts
- 12. Texas Tech 9,203 posts
- 13. Iowa 16.2K posts
- 14. Zabien Brown 1,970 posts
- 15. #ChristmasWithBedBathandBeyond N/A
- 16. Arkansas 21.1K posts
- 17. Zahabi 3,065 posts
- 18. Ole Miss 17.5K posts
- 19. Joey Aguilar N/A
- 20. Kentucky 19.2K posts
Something went wrong.
Something went wrong.