#firstview search results

🏛️ Why would an authoritarian state not enforce its own policies? ➡️ Studying China’s social insurance system, @haozhang328 & @zhangye68 find that promotion incentives and competition lead local officials to tolerate firm payroll tax evasion cambridge.org/core/journals/… #FirstView

PSRMJournal's tweet image. 🏛️ Why would an authoritarian state not enforce its own policies?

➡️ Studying China’s social insurance system, @haozhang328 & @zhangye68 find that promotion incentives and competition lead local officials to tolerate firm payroll tax evasion cambridge.org/core/journals/… #FirstView
PSRMJournal's tweet image. 🏛️ Why would an authoritarian state not enforce its own policies?

➡️ Studying China’s social insurance system, @haozhang328 & @zhangye68 find that promotion incentives and competition lead local officials to tolerate firm payroll tax evasion cambridge.org/core/journals/… #FirstView

💬 How can we measure inter party communication? ➡️ Using a transformer based approach, A Adendorf et al. classify how parties talk about rivals (positive-negative), with applications to coalition signals in Germany and campaigning in Austria cambridge.org/core/journals/… #FirstView

PSRMJournal's tweet image. 💬 How can we measure inter party communication?

➡️ Using a transformer based approach, A Adendorf et al. classify how parties talk about rivals (positive-negative), with applications to coalition signals in Germany and campaigning in Austria cambridge.org/core/journals/… #FirstView
PSRMJournal's tweet image. 💬 How can we measure inter party communication?

➡️ Using a transformer based approach, A Adendorf et al. classify how parties talk about rivals (positive-negative), with applications to coalition signals in Germany and campaigning in Austria cambridge.org/core/journals/… #FirstView

In #FirstView by Aiden Parker and Jesse Usher Barrett: "From Politics to the Bench: Partisan Determinants of Support for Gubernatorial Judicial Appointments" journals.sagepub.com/doi/10.1177/10…


ORIGINAL ARTICLE: "Omnisubjectivity, counteractuals, and relating perfectly to subjectivity" by Adam Green is Out Now on #Firstview: cambridge.org/core/journals/…


📣Out on #FirstView📣 In "Male Agency?", Lena Wängnerud, Elin Naurin, & co-authors use LLMs to provide an overview of portrayals of fatherhood in Swedish 🇸🇪 parliamentary documents from 1993 to 2021. 🌟 Available #OpenAccess 🌟 buff.ly/E8jnJmf

PoliticsGenderJ's tweet image. 📣Out on #FirstView📣 

In "Male Agency?", Lena Wängnerud, Elin Naurin, & co-authors use LLMs to provide an overview of portrayals of fatherhood in Swedish 🇸🇪 parliamentary documents from 1993 to 2021.

🌟 Available #OpenAccess 🌟

buff.ly/E8jnJmf

📣Out on #FirstView📣 In "Perceptions of Feminism as a Threat", @Evaanduiza & @GefjonOff focus on the case of 🇪🇸 to understand resistance to feminism and measure perceptions of feminism as a threat. 🌟 Available #OpenAccess 🌟 buff.ly/9fHnTSI

PoliticsGenderJ's tweet image. 📣Out on #FirstView📣 

In "Perceptions of Feminism as a Threat", @Evaanduiza & @GefjonOff  focus on the case of 🇪🇸 to understand resistance to feminism and measure perceptions of feminism as a threat. 

🌟 Available #OpenAccess 🌟

buff.ly/9fHnTSI

🤖 Can LLMs replicate expert text coding? ➡️ Using interest group documents, @dchoiresearch @DenisPeskoff & @b_m_stewart show that fine tuned LLMs outperform trained coders and zero shot models in identifying informative vs associative signals cambridge.org/core/journals/… #FirstView

PSRMJournal's tweet image. 🤖 Can LLMs replicate expert text coding?

➡️ Using interest group documents, @dchoiresearch @DenisPeskoff & @b_m_stewart show that fine tuned LLMs outperform trained coders and zero shot models in identifying informative vs associative signals cambridge.org/core/journals/… #FirstView
PSRMJournal's tweet image. 🤖 Can LLMs replicate expert text coding?

➡️ Using interest group documents, @dchoiresearch @DenisPeskoff & @b_m_stewart show that fine tuned LLMs outperform trained coders and zero shot models in identifying informative vs associative signals cambridge.org/core/journals/… #FirstView

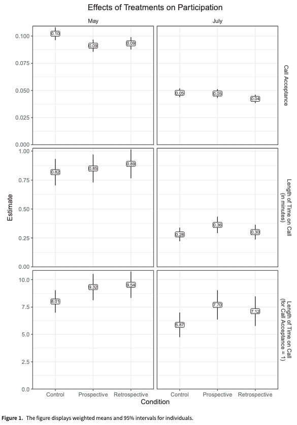
📞 What motivates participation in consultative events? ➡️ In a field trial with Australian voters, W Minozzi, @MichaelNeblo & @ALeighMP show that generic invites increased uptake, while some framed messages kept participants on the call longer cambridge.org/core/journals/… #FirstView

PSRMJournal's tweet image. 📞 What motivates participation in consultative events?

➡️ In a field trial with Australian voters, W Minozzi, @MichaelNeblo & @ALeighMP show that generic invites increased uptake, while some framed messages kept participants on the call longer cambridge.org/core/journals/… #FirstView
PSRMJournal's tweet image. 📞 What motivates participation in consultative events?

➡️ In a field trial with Australian voters, W Minozzi, @MichaelNeblo & @ALeighMP show that generic invites increased uptake, while some framed messages kept participants on the call longer cambridge.org/core/journals/… #FirstView

🗣️ Does official rhetoric predict military escalation in autocracies? ➡️ Using word embeddings, @SiuHeiWong2 finds that harsher Chinese rhetoric toward Taiwan predicts higher risks of military escalation, suggesting rhetoric is not cheap talk cambridge.org/core/journals/… #FirstView

PSRMJournal's tweet image. 🗣️ Does official rhetoric predict military escalation in autocracies?

➡️ Using word embeddings, @SiuHeiWong2 finds that harsher Chinese rhetoric toward Taiwan predicts higher risks of military escalation, suggesting rhetoric is not cheap talk cambridge.org/core/journals/… #FirstView
PSRMJournal's tweet image. 🗣️ Does official rhetoric predict military escalation in autocracies?

➡️ Using word embeddings, @SiuHeiWong2 finds that harsher Chinese rhetoric toward Taiwan predicts higher risks of military escalation, suggesting rhetoric is not cheap talk cambridge.org/core/journals/… #FirstView

🗳️ How can we better study the impact of major events with surveys? ➡A bertoli, @laurajakli & H Pascoe clarify the strengths and weaknesses of pre and post survey designs and introduce a dual randomised survey to reduce bias cambridge.org/core/journals/… #FirstView

PSRMJournal's tweet image. 🗳️ How can we better study the impact of major events with surveys?

➡A bertoli, @laurajakli & H Pascoe clarify the strengths and weaknesses of pre and post survey designs and introduce a dual randomised survey to reduce bias cambridge.org/core/journals/… #FirstView
PSRMJournal's tweet image. 🗳️ How can we better study the impact of major events with surveys?

➡A bertoli, @laurajakli & H Pascoe clarify the strengths and weaknesses of pre and post survey designs and introduce a dual randomised survey to reduce bias cambridge.org/core/journals/… #FirstView

Very happy to share that my article "Resistance, Law, and the Limits of the Disobedience Framework" is now out #FirstView from @apsrjournal!

CidamCigdem's tweet image. Very happy to share that my article "Resistance, Law, and the Limits of the Disobedience Framework" is now out #FirstView from @apsrjournal!

#FirstView from @apsrjournal - Resistance, Law, and the Limits of the Disobedience Framework - cup.org/452m5EH - @CidamCigdem

CUP_PoliSci's tweet image. #FirstView from @apsrjournal -

Resistance, Law, and the Limits of the Disobedience Framework - cup.org/452m5EH 

- @CidamCigdem


🧐 Can we trust estimates of political trust when preferences are hidden? ➡D Li, X Lü, S Ma & W Yang show social desirability can bias regressions, question the link between welfare and trust, and offer ways to reduce bias cambridge.org/core/journals/… #FirstView

PSRMJournal's tweet image. 🧐 Can we trust estimates of political trust when preferences are hidden?

➡D Li, X Lü, S Ma & W Yang show social desirability can bias regressions, question the link between welfare and trust, and offer ways to reduce bias cambridge.org/core/journals/… #FirstView
PSRMJournal's tweet image. 🧐 Can we trust estimates of political trust when preferences are hidden?

➡D Li, X Lü, S Ma & W Yang show social desirability can bias regressions, question the link between welfare and trust, and offer ways to reduce bias cambridge.org/core/journals/… #FirstView

#OpenAccess from @PoPpublicsphere - Elite Interviewing in Political Science: A Meta-Analysis of Reporting Practices - cup.org/4qxR9Ft - Ozlem Tuncel #FirstView

CUP_PoliSci's tweet image. #OpenAccess from @PoPpublicsphere -

Elite Interviewing in Political Science: A Meta-Analysis of Reporting Practices - cup.org/4qxR9Ft

- Ozlem Tuncel 

#FirstView

ORIGINAL ARTICLE: "Interreligious attentiveness: A revised approach to religious literacy" by Ryan Lemasters is Out Now on #FirstView: cambridge.org/core/journals/…


📋 How can we improve estimates from list experiments? ➡️X. Lu & R Traunmüller introduce a Bayesian approach that uses informative priors to increase efficiency and reshape substantive conclusions cambridge.org/core/journals/… #FirstView

PSRMJournal's tweet image. 📋 How can we improve estimates from list experiments?

➡️X. Lu & R Traunmüller introduce a Bayesian approach that uses informative priors to increase efficiency and reshape substantive conclusions cambridge.org/core/journals/… #FirstView
PSRMJournal's tweet image. 📋 How can we improve estimates from list experiments?

➡️X. Lu & R Traunmüller introduce a Bayesian approach that uses informative priors to increase efficiency and reshape substantive conclusions cambridge.org/core/journals/… #FirstView

🏛️ Do anti elitist parties behave differently in parliament? ➡️ @SimonOtjes & L Vorsteveld use a new voting model to show that anti elitist parties vote alike and differently from others, but only on legislative votes cambridge.org/core/journals/… #FirstView

PSRMJournal's tweet image. 🏛️ Do anti elitist parties behave differently in parliament?

➡️ @SimonOtjes & L Vorsteveld use a new voting model to show that anti elitist parties vote alike and differently from others, but only on legislative votes cambridge.org/core/journals/… #FirstView
PSRMJournal's tweet image. 🏛️ Do anti elitist parties behave differently in parliament?

➡️ @SimonOtjes & L Vorsteveld use a new voting model to show that anti elitist parties vote alike and differently from others, but only on legislative votes cambridge.org/core/journals/… #FirstView

Jacob stopped by @ruskin_the on his way to work at #Brantwood. He's convinced his visit was the #FirstView of #Bluebird #Today. Gorgeous and sparkling!

RuskinsFriends's tweet image. Jacob stopped by @ruskin_the  on his way to work at #Brantwood.  He's convinced his visit was the #FirstView of #Bluebird #Today.  Gorgeous and sparkling!

In #FirstView by Aiden Parker and Jesse Usher Barrett: "From Politics to the Bench: Partisan Determinants of Support for Gubernatorial Judicial Appointments" journals.sagepub.com/doi/10.1177/10…


ORIGINAL ARTICLE: "Omnisubjectivity, counteractuals, and relating perfectly to subjectivity" by Adam Green is Out Now on #Firstview: cambridge.org/core/journals/…


💬 How can we measure inter party communication? ➡️ Using a transformer based approach, A Adendorf et al. classify how parties talk about rivals (positive-negative), with applications to coalition signals in Germany and campaigning in Austria cambridge.org/core/journals/… #FirstView

PSRMJournal's tweet image. 💬 How can we measure inter party communication?

➡️ Using a transformer based approach, A Adendorf et al. classify how parties talk about rivals (positive-negative), with applications to coalition signals in Germany and campaigning in Austria cambridge.org/core/journals/… #FirstView
PSRMJournal's tweet image. 💬 How can we measure inter party communication?

➡️ Using a transformer based approach, A Adendorf et al. classify how parties talk about rivals (positive-negative), with applications to coalition signals in Germany and campaigning in Austria cambridge.org/core/journals/… #FirstView

🏛️ Why would an authoritarian state not enforce its own policies? ➡️ Studying China’s social insurance system, @haozhang328 & @zhangye68 find that promotion incentives and competition lead local officials to tolerate firm payroll tax evasion cambridge.org/core/journals/… #FirstView

PSRMJournal's tweet image. 🏛️ Why would an authoritarian state not enforce its own policies?

➡️ Studying China’s social insurance system, @haozhang328 & @zhangye68 find that promotion incentives and competition lead local officials to tolerate firm payroll tax evasion cambridge.org/core/journals/… #FirstView
PSRMJournal's tweet image. 🏛️ Why would an authoritarian state not enforce its own policies?

➡️ Studying China’s social insurance system, @haozhang328 & @zhangye68 find that promotion incentives and competition lead local officials to tolerate firm payroll tax evasion cambridge.org/core/journals/… #FirstView

📞 What motivates participation in consultative events? ➡️ In a field trial with Australian voters, W Minozzi, @MichaelNeblo & @ALeighMP show that generic invites increased uptake, while some framed messages kept participants on the call longer cambridge.org/core/journals/… #FirstView

PSRMJournal's tweet image. 📞 What motivates participation in consultative events?

➡️ In a field trial with Australian voters, W Minozzi, @MichaelNeblo & @ALeighMP show that generic invites increased uptake, while some framed messages kept participants on the call longer cambridge.org/core/journals/… #FirstView
PSRMJournal's tweet image. 📞 What motivates participation in consultative events?

➡️ In a field trial with Australian voters, W Minozzi, @MichaelNeblo & @ALeighMP show that generic invites increased uptake, while some framed messages kept participants on the call longer cambridge.org/core/journals/… #FirstView

ORIGINAL ARTICLE: "Interreligious attentiveness: A revised approach to religious literacy" by Ryan Lemasters is Out Now on #FirstView: cambridge.org/core/journals/…


📣Out on #FirstView📣 In "Male Agency?", Lena Wängnerud, Elin Naurin, & co-authors use LLMs to provide an overview of portrayals of fatherhood in Swedish 🇸🇪 parliamentary documents from 1993 to 2021. 🌟 Available #OpenAccess 🌟 buff.ly/E8jnJmf

PoliticsGenderJ's tweet image. 📣Out on #FirstView📣 

In "Male Agency?", Lena Wängnerud, Elin Naurin, & co-authors use LLMs to provide an overview of portrayals of fatherhood in Swedish 🇸🇪 parliamentary documents from 1993 to 2021.

🌟 Available #OpenAccess 🌟

buff.ly/E8jnJmf

🤖 Can LLMs replicate expert text coding? ➡️ Using interest group documents, @dchoiresearch @DenisPeskoff & @b_m_stewart show that fine tuned LLMs outperform trained coders and zero shot models in identifying informative vs associative signals cambridge.org/core/journals/… #FirstView

PSRMJournal's tweet image. 🤖 Can LLMs replicate expert text coding?

➡️ Using interest group documents, @dchoiresearch @DenisPeskoff & @b_m_stewart show that fine tuned LLMs outperform trained coders and zero shot models in identifying informative vs associative signals cambridge.org/core/journals/… #FirstView
PSRMJournal's tweet image. 🤖 Can LLMs replicate expert text coding?

➡️ Using interest group documents, @dchoiresearch @DenisPeskoff & @b_m_stewart show that fine tuned LLMs outperform trained coders and zero shot models in identifying informative vs associative signals cambridge.org/core/journals/… #FirstView

ORIGINAL ARTICLE: "An evaluative ontological argument" by Stephen Kearns is Out Now on #FirstView: cambridge.org/core/journals/…


ORIGINAL ARTICLE: "A model of worldview formation" by Mikael Stenmark is Out Now on #FirstView: cambridge.org/core/journals/…


🧐 Can we trust estimates of political trust when preferences are hidden? ➡D Li, X Lü, S Ma & W Yang show social desirability can bias regressions, question the link between welfare and trust, and offer ways to reduce bias cambridge.org/core/journals/… #FirstView

PSRMJournal's tweet image. 🧐 Can we trust estimates of political trust when preferences are hidden?

➡D Li, X Lü, S Ma & W Yang show social desirability can bias regressions, question the link between welfare and trust, and offer ways to reduce bias cambridge.org/core/journals/… #FirstView
PSRMJournal's tweet image. 🧐 Can we trust estimates of political trust when preferences are hidden?

➡D Li, X Lü, S Ma & W Yang show social desirability can bias regressions, question the link between welfare and trust, and offer ways to reduce bias cambridge.org/core/journals/… #FirstView

📣Out on #FirstView📣 In "Perceptions of Feminism as a Threat", @Evaanduiza & @GefjonOff focus on the case of 🇪🇸 to understand resistance to feminism and measure perceptions of feminism as a threat. 🌟 Available #OpenAccess 🌟 buff.ly/9fHnTSI

PoliticsGenderJ's tweet image. 📣Out on #FirstView📣 

In "Perceptions of Feminism as a Threat", @Evaanduiza & @GefjonOff  focus on the case of 🇪🇸 to understand resistance to feminism and measure perceptions of feminism as a threat. 

🌟 Available #OpenAccess 🌟

buff.ly/9fHnTSI

🗳️ How can we better study the impact of major events with surveys? ➡A bertoli, @laurajakli & H Pascoe clarify the strengths and weaknesses of pre and post survey designs and introduce a dual randomised survey to reduce bias cambridge.org/core/journals/… #FirstView

PSRMJournal's tweet image. 🗳️ How can we better study the impact of major events with surveys?

➡A bertoli, @laurajakli & H Pascoe clarify the strengths and weaknesses of pre and post survey designs and introduce a dual randomised survey to reduce bias cambridge.org/core/journals/… #FirstView
PSRMJournal's tweet image. 🗳️ How can we better study the impact of major events with surveys?

➡A bertoli, @laurajakli & H Pascoe clarify the strengths and weaknesses of pre and post survey designs and introduce a dual randomised survey to reduce bias cambridge.org/core/journals/… #FirstView

In #FirstView by Brian Robert Calfano, Valerie Martinez-Ebers, and Aida Ramusovic: "News of Converging Crises: Cable Coverage of Race and COVID Stories" journals.sagepub.com/doi/10.1177/10…


📣 Out on #FirstView 📣 In "Transnational Transphobias", @marymcloughlinn analyzes the coalition of anti-trans feminists and traditionalists through a framework informed by critical discourse analysis. 🌟 Available #OpenAccess 🌟 buff.ly/z04AeFi

PoliticsGenderJ's tweet image. 📣 Out on #FirstView 📣 

In "Transnational Transphobias", @marymcloughlinn analyzes the coalition of anti-trans feminists and traditionalists through a framework informed by critical discourse analysis. 

🌟 Available #OpenAccess 🌟

buff.ly/z04AeFi

📨 Whether subjects open a message is a crucial step in experiments. ➡️ T Leavitt & V Rivera-Burgos show how mismeasurement of opens biases estimates and offer practical guidance and sensitivity analyses for message-based experiments cambridge.org/core/journals/… #FirstView

PSRMJournal's tweet image. 📨 Whether subjects open a message is a crucial step in experiments.

➡️ T Leavitt & V Rivera-Burgos show how mismeasurement of opens biases estimates and offer practical guidance and sensitivity analyses for message-based experiments cambridge.org/core/journals/… #FirstView
PSRMJournal's tweet image. 📨 Whether subjects open a message is a crucial step in experiments.

➡️ T Leavitt & V Rivera-Burgos show how mismeasurement of opens biases estimates and offer practical guidance and sensitivity analyses for message-based experiments cambridge.org/core/journals/… #FirstView

#OpenAccess from @PoliticsGenderJ - Representing the Real Latino Electorate: Far Right Latinas and Intersectional Visions of Latinidad - cup.org/3MTpRej - Yulenni Venegas-Lopez #FirstView

CUP_PoliSci's tweet image. #OpenAccess from @PoliticsGenderJ -

Representing the Real Latino Electorate: Far Right Latinas and Intersectional Visions of Latinidad - cup.org/3MTpRej

- Yulenni Venegas-Lopez 

#FirstView

📣 Out on #FirstView 📣 In "Transnational Transphobias", @marymcloughlinn analyzes the coalition of anti-trans feminists and traditionalists through a framework informed by critical discourse analysis. 🌟 Available #OpenAccess 🌟 buff.ly/z04AeFi

PoliticsGenderJ's tweet image. 📣 Out on #FirstView 📣 

In "Transnational Transphobias", @marymcloughlinn analyzes the coalition of anti-trans feminists and traditionalists through a framework informed by critical discourse analysis. 

🌟 Available #OpenAccess 🌟

buff.ly/z04AeFi

🗣️ Does official rhetoric predict military escalation in autocracies? ➡️ Using word embeddings, @SiuHeiWong2 finds that harsher Chinese rhetoric toward Taiwan predicts higher risks of military escalation, suggesting rhetoric is not cheap talk cambridge.org/core/journals/… #FirstView

PSRMJournal's tweet image. 🗣️ Does official rhetoric predict military escalation in autocracies?

➡️ Using word embeddings, @SiuHeiWong2 finds that harsher Chinese rhetoric toward Taiwan predicts higher risks of military escalation, suggesting rhetoric is not cheap talk cambridge.org/core/journals/… #FirstView
PSRMJournal's tweet image. 🗣️ Does official rhetoric predict military escalation in autocracies?

➡️ Using word embeddings, @SiuHeiWong2 finds that harsher Chinese rhetoric toward Taiwan predicts higher risks of military escalation, suggesting rhetoric is not cheap talk cambridge.org/core/journals/… #FirstView

📋 How can we improve estimates from list experiments? ➡️X. Lu & R Traunmüller introduce a Bayesian approach that uses informative priors to increase efficiency and reshape substantive conclusions cambridge.org/core/journals/… #FirstView

PSRMJournal's tweet image. 📋 How can we improve estimates from list experiments?

➡️X. Lu & R Traunmüller introduce a Bayesian approach that uses informative priors to increase efficiency and reshape substantive conclusions cambridge.org/core/journals/… #FirstView
PSRMJournal's tweet image. 📋 How can we improve estimates from list experiments?

➡️X. Lu & R Traunmüller introduce a Bayesian approach that uses informative priors to increase efficiency and reshape substantive conclusions cambridge.org/core/journals/… #FirstView

#OpenAccess from @polanalysis - Extractive versus Generative Language Models for Political Conflict Text Classification - cup.org/49EktDB - @PatrickTBrandt, S.Alsarra, Vito D’Orazio, @DagmarHeintze, L.Khan, S.Meher, J.Osorio & M.Sianan #FirstView

CUP_PoliSci's tweet image. #OpenAccess from @polanalysis -

Extractive versus Generative Language Models for Political Conflict Text Classification - cup.org/49EktDB

- @PatrickTBrandt, S.Alsarra, Vito D’Orazio, @DagmarHeintze, L.Khan, S.Meher, J.Osorio & M.Sianan 

#FirstView

New #FirstView #OpenAccess in @ps_polisci: "Who Participates in Focus Groups? Diagnosing Self-Selection." Analyzing several focus groups recruited from a pool of large-N survey respondents, I assess what variables drive the decision to participate. doi.org/10.1017/S10490…

TaylorBoas's tweet image. New #FirstView #OpenAccess in @ps_polisci: "Who Participates in Focus Groups? Diagnosing Self-Selection." Analyzing several focus groups recruited from a pool of large-N survey respondents, I assess what variables drive the decision to participate. doi.org/10.1017/S10490…

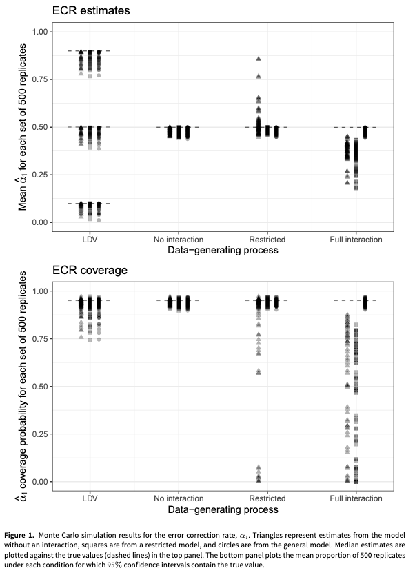
📈 How should scholars model conditional relationships in time series data? ➡️ Z Warner, G N Vande Kamp & S Jordan provide guidance on interaction terms in dynamic models, showing how to flexibly model and interpret moderation over time cambridge.org/core/journals/… #FirstView

PSRMJournal's tweet image. 📈 How should scholars model conditional relationships in time series data?

➡️ Z Warner, G N Vande Kamp & S Jordan provide guidance on interaction terms in dynamic models, showing how to flexibly model and interpret moderation over time cambridge.org/core/journals/… #FirstView
PSRMJournal's tweet image. 📈 How should scholars model conditional relationships in time series data?

➡️ Z Warner, G N Vande Kamp & S Jordan provide guidance on interaction terms in dynamic models, showing how to flexibly model and interpret moderation over time cambridge.org/core/journals/… #FirstView

🗳️ How can we better study the impact of major events with surveys? ➡A bertoli, @laurajakli & H Pascoe clarify the strengths and weaknesses of pre and post survey designs and introduce a dual randomised survey to reduce bias cambridge.org/core/journals/… #FirstView

PSRMJournal's tweet image. 🗳️ How can we better study the impact of major events with surveys?

➡A bertoli, @laurajakli & H Pascoe clarify the strengths and weaknesses of pre and post survey designs and introduce a dual randomised survey to reduce bias cambridge.org/core/journals/… #FirstView
PSRMJournal's tweet image. 🗳️ How can we better study the impact of major events with surveys?

➡A bertoli, @laurajakli & H Pascoe clarify the strengths and weaknesses of pre and post survey designs and introduce a dual randomised survey to reduce bias cambridge.org/core/journals/… #FirstView

#OpenAccess from The Review of Politics - Beyond Confucian Perfectionism and Democracy: The Cultural Knowledge Problem and Liberal Polycentrism in East Asia - cup.org/4piLuBW - @bryancheang_ & Daniel Ho #FirstView

CUP_PoliSci's tweet image. #OpenAccess from The Review of Politics -

Beyond Confucian Perfectionism and Democracy: The Cultural Knowledge Problem and Liberal Polycentrism in East Asia - cup.org/4piLuBW

- @bryancheang_ & Daniel Ho 

#FirstView

Jacob stopped by @ruskin_the on his way to work at #Brantwood. He's convinced his visit was the #FirstView of #Bluebird #Today. Gorgeous and sparkling!

RuskinsFriends's tweet image. Jacob stopped by @ruskin_the  on his way to work at #Brantwood.  He's convinced his visit was the #FirstView of #Bluebird #Today.  Gorgeous and sparkling!

#OpenAccess from @ejintsec - Strategic autonomy: A ‘quantum leap forward on’ European total defence? - cup.org/3MZi8vc - Jana Wrange #FirstView

CUP_PoliSci's tweet image. #OpenAccess from @ejintsec -

Strategic autonomy: A ‘quantum leap forward on’ European total defence? - cup.org/3MZi8vc

- Jana Wrange 

#FirstView

Very happy to share that my article "Resistance, Law, and the Limits of the Disobedience Framework" is now out #FirstView from @apsrjournal!

CidamCigdem's tweet image. Very happy to share that my article "Resistance, Law, and the Limits of the Disobedience Framework" is now out #FirstView from @apsrjournal!

#FirstView from @apsrjournal - Resistance, Law, and the Limits of the Disobedience Framework - cup.org/452m5EH - @CidamCigdem

CUP_PoliSci's tweet image. #FirstView from @apsrjournal -

Resistance, Law, and the Limits of the Disobedience Framework - cup.org/452m5EH 

- @CidamCigdem


📣Out on #FirstView📣 In "Perceptions of Feminism as a Threat", @Evaanduiza & @GefjonOff focus on the case of 🇪🇸 to understand resistance to feminism and measure perceptions of feminism as a threat. 🌟 Available #OpenAccess 🌟 buff.ly/9fHnTSI

PoliticsGenderJ's tweet image. 📣Out on #FirstView📣 

In "Perceptions of Feminism as a Threat", @Evaanduiza & @GefjonOff  focus on the case of 🇪🇸 to understand resistance to feminism and measure perceptions of feminism as a threat. 

🌟 Available #OpenAccess 🌟

buff.ly/9fHnTSI

🧑‍🤝‍🧑Do politicians consider the gender of leaders when selecting coalition partners? ➡️Using a conjoint on 979 Spanish mayors, @albahuidobro finds that mayors, especially those on the center and left, prefer coalitions with parties led by women cambridge.org/core/journals/… #FirstView

PSRMJournal's tweet image. 🧑‍🤝‍🧑Do politicians consider the gender of leaders when selecting coalition partners?

➡️Using a conjoint on 979 Spanish mayors, @albahuidobro finds that mayors, especially those on the center and left, prefer coalitions with parties led by women cambridge.org/core/journals/… #FirstView
PSRMJournal's tweet image. 🧑‍🤝‍🧑Do politicians consider the gender of leaders when selecting coalition partners?

➡️Using a conjoint on 979 Spanish mayors, @albahuidobro finds that mayors, especially those on the center and left, prefer coalitions with parties led by women cambridge.org/core/journals/… #FirstView

Tata Sierra Patent Design Leaked On Internet, Shows Significant Details From Outside #TataSierra #leaked #FirstView #TATA news18.com/auto/tata-sier…

CNNnews18's tweet image. Tata Sierra Patent Design Leaked On Internet, Shows Significant Details From Outside

#TataSierra #leaked #FirstView #TATA 

news18.com/auto/tata-sier…

🗳️ How can we better measure party loyalty? ➡️ Using US congressional party leader speeches, @adamramey introduce a new model that disentangles legislator ideology from party loyalty and allows party influence to vary across members & over time cambridge.org/core/journals/… #FirstView

PSRMJournal's tweet image. 🗳️ How can we better measure party loyalty?

➡️ Using US congressional party leader speeches, @adamramey introduce a new model that disentangles legislator ideology from party loyalty and allows party influence to vary across members & over time cambridge.org/core/journals/… #FirstView
PSRMJournal's tweet image. 🗳️ How can we better measure party loyalty?

➡️ Using US congressional party leader speeches, @adamramey introduce a new model that disentangles legislator ideology from party loyalty and allows party influence to vary across members & over time cambridge.org/core/journals/… #FirstView

📣Out now on #firstview! James Fox (@UofGlasgow) on 'Numeracy, Otherness, and the Invention of ‘Civilization’ in Seventeenth- and Eighteenth-Century Anglo-European Travel Writing' #Science #China #Americas #Education #17thc #18thc 🔢 👉Open access: cambridge.org/core/journals/…

HistoricalJnl's tweet image. 📣Out now on #firstview!

James Fox (@UofGlasgow) on 'Numeracy, Otherness, and the Invention of ‘Civilization’ in Seventeenth- and Eighteenth-Century Anglo-European Travel Writing'

#Science #China #Americas #Education #17thc #18thc 🔢

👉Open access: cambridge.org/core/journals/…

📣 Out on #FirstView 📣 For our upcoming issue on feminist foreign policy, Daniela Sepúlveda overviews the work of the Platform for Feminist Foreign Policy in Latin America and the role of civil society in advancing FFP. buff.ly/6KMiKCi

PoliticsGenderJ's tweet image. 📣 Out on #FirstView 📣 

For our upcoming issue on feminist foreign policy, Daniela Sepúlveda overviews the work of the Platform for Feminist Foreign Policy in Latin America and the role of civil society in advancing FFP.

buff.ly/6KMiKCi

Loading...

Something went wrong.


Something went wrong.