#materialworkflow search results

Choosing a construction-specific software can help eliminate the hidden costs of material management while increasing productivity. #materialmanagement #materialworkflow #MestekMachinery hubs.la/Q02V61-J0


Material utilization is a hidden cost of many construction projects. Here are some strategies to help contractors improve their material workflows. #materialworkflow #HVACcontractors #MestekMachinery hubs.la/Q02cHx2k0


No results for "#materialworkflow"

Stop paying for Higgsfield AI. There’s no reason anymore. I found this open-source project… and cancelled my subscription the same day. It’s called Open Higgsfield AI. A full AI cinema studio you can run locally. Not one model. Not one tool. A whole stack. Flux. SDXL.

DAIEvolutionHub's tweet image. Stop paying for Higgsfield AI.

There’s no reason anymore.

I found this open-source project…
and cancelled my subscription the same day.

It’s called Open Higgsfield AI.

A full AI cinema studio you can run locally.

Not one model. Not one tool.

A whole stack.

Flux. SDXL.

Everyone’s busy building faster Almost no one is asking what’s worth building That’s where most products die. This shift is bigger than it looks.



❗Our first major milestone in decoupling Material and Cupertino: As of April 7th, contributions to these libraries in the flutter/flutter repo are officially frozen. Next stop: re-releasing them as material_ui and cupertino_ui packages on pub.dev.

FlutterDev's tweet image. ❗Our first major milestone in decoupling Material and Cupertino: As of April 7th, contributions to these libraries in the flutter/flutter repo are officially frozen. 

Next stop: re-releasing them as material_ui and cupertino_ui packages on pub.dev.

Everything, Claude Code, and Superpowers are the plugins that wasted my tokens. github.com/rohitg00/pro-w… is the only plugin I will use from now on.

ghumare64's tweet image. Everything, Claude Code, and Superpowers are the plugins that wasted my tokens.

github.com/rohitg00/pro-w… is the only plugin I will use from now on.

Stable Diffusionモデル「Anima preview3」リリース。circlestone-labs提供。 高解像度トレーニング強化とデータセット拡張が主な変更点。 ユーザー検証でプロンプト遵守、人物・指の品質改善を指摘。 背景品質の課題は継続。Preview2 LoRA互換性には当たり外れとの見方。 #StableDiffusion #AnimaAI

aiaicreate's tweet image. Stable Diffusionモデル「Anima preview3」リリース。circlestone-labs提供。
高解像度トレーニング強化とデータセット拡張が主な変更点。
ユーザー検証でプロンプト遵守、人物・指の品質改善を指摘。
背景品質の課題は継続。Preview2 LoRA互換性には当たり外れとの見方。

#StableDiffusion
#AnimaAI

4.2 BANNERS: SW999, Castorice, Firefly & The Dahlia Evanescia, Feixiao, Sunday & Tribbie -Via Sakura Haven (STC) #HonkaiStarRail

StarRailVerse1's tweet image. 4.2 BANNERS:

SW999, Castorice, Firefly & The Dahlia 
Evanescia, Feixiao, Sunday & Tribbie 

-Via Sakura Haven (STC)

#HonkaiStarRail

Someone open-sourced a full Higgsfield AI alternative and people are cancelling their subscriptions the same day they find it. 200+ models. Text to image, image to video, lip sync studio, cinema mode with pro camera controls. All self-hosted, all free. No subscription. No

RoundtableSpace's tweet image. Someone open-sourced a full Higgsfield AI alternative and people are cancelling their subscriptions the same day they find it.

200+ models. Text to image, image to video, lip sync studio, cinema mode with pro camera controls. All self-hosted, all free.

No subscription. No

If you want to bring your designs to life with smooth, eye-catching motion, and you’re a UI/UX designer. I’ll show you some of the best online animation tools you should know to level up Bookmark it for later 💜

Abmankendrick's tweet image. If you want to bring your designs to life with smooth, eye-catching motion, and you’re a UI/UX designer.

I’ll show you some of the best online animation tools you should know to level up

Bookmark it for later 💜

Music generation skills for AI agents github.com/ace-step/ace-s…

tom_doerr's tweet image. Music generation skills for AI agents

github.com/ace-step/ace-s…

兄弟们!分币不花跑小龙虾! Gemma 4 本地跑 + OpenClaw 联动,3步几分钟搞定!🚀 Google&Ollama 官方亲自教你: 1️⃣ 去 ollama.com/download 装 Ollama 2️⃣ 下载 Gemma 4 26B A4B(或者直接跳过,第3步自动搞定) 3️⃣ 用 Ollama 启动 OpenClaw,它会自动装好并用 Gemma 4 26B A4B 跑起来

berryxia's tweet image. 兄弟们!分币不花跑小龙虾!
Gemma 4 本地跑 + OpenClaw 联动,3步几分钟搞定!🚀

Google&Ollama 官方亲自教你:

1️⃣ 去 ollama.com/download 装 Ollama  

2️⃣ 下载 Gemma 4 26B A4B(或者直接跳过,第3步自动搞定)  

3️⃣ 用 Ollama 启动 OpenClaw,它会自动装好并用 Gemma 4 26B A4B 跑起来

Animates 3D models via multi-view video diffusion github.com/yanqinJiang/An…

tom_doerr's tweet image. Animates 3D models via multi-view video diffusion

github.com/yanqinJiang/An…

Sprout Branding Thoughts?

AdityaSur11's tweet image. Sprout Branding
Thoughts?
AdityaSur11's tweet image. Sprout Branding
Thoughts?
AdityaSur11's tweet image. Sprout Branding
Thoughts?
AdityaSur11's tweet image. Sprout Branding
Thoughts?

We built a notebook examining how agricultural fields evolve in AlphaEarth Foundations embeddings using RasterFlow capabilities: Zarr mosaic construction, PCA for dimensionality reduction, and a distance-over-time workflow for measuring embedding change. bit.ly/4e3mI72

wherobots's tweet image. We built a notebook examining how agricultural fields evolve in AlphaEarth Foundations embeddings using RasterFlow capabilities: Zarr mosaic construction, PCA for dimensionality reduction, and a distance-over-time workflow for measuring embedding change. bit.ly/4e3mI72

Top tips on #UXwriting for a gloabl audience: ✅ keep it short and simple ✅ generalize examples & explain local references ✅ clarify pronouns like "it" and "that" to ensure accurate translation Learn more about #MaterialDesign guidelines on word choice for creating globally

GoogleDesign's tweet image. Top tips on #UXwriting for a gloabl audience:
✅ keep it short and simple
✅ generalize examples & explain local references
✅ clarify pronouns like "it" and "that" to ensure accurate translation

Learn more about #MaterialDesign guidelines on word choice for creating globally

これ”VFX作れる側に回れる”やつ😳 ​ Unityで 👉 作る・試す・学ぶが全部つながってて シェーダー&エフェクト作りの流れが一気に変わる ​ All in 1シリーズ丸ごと入った豪華バンドル ​ 『All In 1 Bundle』 $175.95 => $87.97 50%OFF🔥本日最終日 prf.hn/click/camref:1… #Unity ゲーム開発 VRChat

AssetLove's tweet image. これ”VFX作れる側に回れる”やつ😳
​
Unityで
👉 作る・試す・学ぶが全部つながってて
シェーダー&エフェクト作りの流れが一気に変わる
​
All in 1シリーズ丸ごと入った豪華バンドル
​
『All In 1 Bundle』
$175.95 => $87.97    50%OFF🔥本日最終日
prf.hn/click/camref:1…
#Unity ゲーム開発 VRChat
AssetLove's tweet image. これ”VFX作れる側に回れる”やつ😳
​
Unityで
👉 作る・試す・学ぶが全部つながってて
シェーダー&エフェクト作りの流れが一気に変わる
​
All in 1シリーズ丸ごと入った豪華バンドル
​
『All In 1 Bundle』
$175.95 => $87.97    50%OFF🔥本日最終日
prf.hn/click/camref:1…
#Unity ゲーム開発 VRChat
AssetLove's tweet image. これ”VFX作れる側に回れる”やつ😳
​
Unityで
👉 作る・試す・学ぶが全部つながってて
シェーダー&エフェクト作りの流れが一気に変わる
​
All in 1シリーズ丸ごと入った豪華バンドル
​
『All In 1 Bundle』
$175.95 => $87.97    50%OFF🔥本日最終日
prf.hn/click/camref:1…
#Unity ゲーム開発 VRChat
AssetLove's tweet image. これ”VFX作れる側に回れる”やつ😳
​
Unityで
👉 作る・試す・学ぶが全部つながってて
シェーダー&エフェクト作りの流れが一気に変わる
​
All in 1シリーズ丸ごと入った豪華バンドル
​
『All In 1 Bundle』
$175.95 => $87.97    50%OFF🔥本日最終日
prf.hn/click/camref:1…
#Unity ゲーム開発 VRChat

・:*+. 🎀♡ #フリー素材 ♡🎀 流行りの!?型抜き加工が簡単にできる❕ フレーム素材です ٩>ᴗ<)و🤍 イラストも写真も可愛くなるよ!!👌 ♡RPフォローめちゃ嬉しいです🙂‍↕️ カラバリはツリー⬇️🌟 ・:*+. #めいまてりある

SakuyamiMay's tweet image. ・:*+.

🎀♡ #フリー素材 ♡🎀

流行りの!?型抜き加工が簡単にできる❕
フレーム素材です ٩&amp;gt;ᴗ&amp;lt;)و🤍
イラストも写真も可愛くなるよ!!👌

♡RPフォローめちゃ嬉しいです🙂‍↕️
カラバリはツリー⬇️🌟

・:*+.
#めいまてりある
SakuyamiMay's tweet image. ・:*+.

🎀♡ #フリー素材 ♡🎀

流行りの!?型抜き加工が簡単にできる❕
フレーム素材です ٩&amp;gt;ᴗ&amp;lt;)و🤍
イラストも写真も可愛くなるよ!!👌

♡RPフォローめちゃ嬉しいです🙂‍↕️
カラバリはツリー⬇️🌟

・:*+.
#めいまてりある
SakuyamiMay's tweet image. ・:*+.

🎀♡ #フリー素材 ♡🎀

流行りの!?型抜き加工が簡単にできる❕
フレーム素材です ٩&amp;gt;ᴗ&amp;lt;)و🤍
イラストも写真も可愛くなるよ!!👌

♡RPフォローめちゃ嬉しいです🙂‍↕️
カラバリはツリー⬇️🌟

・:*+.
#めいまてりある

P-Image-Upscale runs in less than 1 second for $0.005 up to 8 MP with creative and detail options! - It includes optional controls for detail and realism enhancement to improve output quality, particularly effective on AI-generated images. - It supports JPEG and PNG output

PrunaAI's tweet image. P-Image-Upscale runs in less than 1 second for $0.005 up to 8 MP with creative and detail options!

- It includes optional controls for detail and realism enhancement to improve output quality, particularly effective on AI-generated images. 
- It supports JPEG and PNG output

Nano Banana Pro prompt share Create an exploded product using this prompt 👇🏻 created on @freepik

azed_ai's tweet image. Nano Banana Pro prompt share

Create an exploded product using this prompt 👇🏻

created on @freepik

Landing page design and development

uialexk's tweet image. Landing page design and development

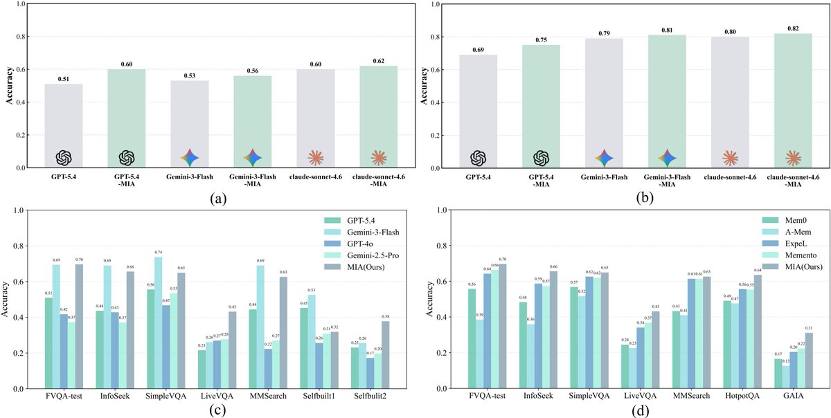
OpenClaw stopped being a goldfish. MIA: Manager-Planner-Executor architecture for autonomous research; > Real episodic memory (compressed, not bloated) > Rewrites its own strategy mid-conversation > Judges its own failures without human labels Small models beating big

wildmindai's tweet image. OpenClaw stopped being a goldfish.
MIA: Manager-Planner-Executor architecture for autonomous research;

&amp;gt; Real episodic memory (compressed, not bloated)  
&amp;gt; Rewrites its own strategy mid-conversation  
&amp;gt; Judges its own failures without human labels  

Small models beating big
wildmindai's tweet image. OpenClaw stopped being a goldfish.
MIA: Manager-Planner-Executor architecture for autonomous research;

&amp;gt; Real episodic memory (compressed, not bloated)  
&amp;gt; Rewrites its own strategy mid-conversation  
&amp;gt; Judges its own failures without human labels  

Small models beating big

RedditのAIモデル議論、ユーザーの願望と課題が焦点。データセンターGPU向けオープンウェイト巨大モデル、マルチメディア対応への期待が高まる。一方で、生成ごとの従量課金モデルは非現実的との批判が多数。Sora

aiaicreate's tweet image. RedditのAIモデル議論、ユーザーの願望と課題が焦点。データセンターGPU向けオープンウェイト巨大モデル、マルチメディア対応への期待が高まる。一方で、生成ごとの従量課金モデルは非現実的との批判が多数。Sora

Loading...

Something went wrong.


Something went wrong.