#mathsresources search results

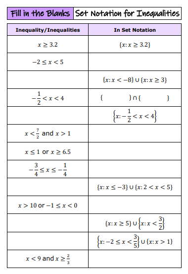
Some new Fill in the Blanks A-level resources used over the last week or so: ✨Solving Systems of Inequalities ✨Set Notation for Inequalities Turned out to be some really useful practice for my Year 12 Further Mathematicians. draustinmaths.com/a-level #MathsChat #MathsResources

draustinmaths's tweet image. Some new Fill in the Blanks A-level resources used over the last week or so:
✨Solving Systems of Inequalities
✨Set Notation for Inequalities
Turned out to be some really useful practice for my Year 12 Further Mathematicians.
draustinmaths.com/a-level
#MathsChat #MathsResources
draustinmaths's tweet image. Some new Fill in the Blanks A-level resources used over the last week or so:
✨Solving Systems of Inequalities
✨Set Notation for Inequalities
Turned out to be some really useful practice for my Year 12 Further Mathematicians.
draustinmaths.com/a-level
#MathsChat #MathsResources

Some new resources on straight lines ready for Year 9 lessons coming up this week: ✨Gradients of Straight Lines Match-Up ✨Drawing Line Segments with a Given Gradient ✨Plotting Straight Lines then finding Area and Perimeter draustinmaths.com #mathschat #mathsresources

draustinmaths's tweet image. Some new resources on straight lines ready for Year 9 lessons coming up this week:
✨Gradients of Straight Lines Match-Up 
✨Drawing Line Segments with a Given Gradient
✨Plotting Straight Lines then finding Area and Perimeter
draustinmaths.com
#mathschat #mathsresources
draustinmaths's tweet image. Some new resources on straight lines ready for Year 9 lessons coming up this week:
✨Gradients of Straight Lines Match-Up 
✨Drawing Line Segments with a Given Gradient
✨Plotting Straight Lines then finding Area and Perimeter
draustinmaths.com
#mathschat #mathsresources
draustinmaths's tweet image. Some new resources on straight lines ready for Year 9 lessons coming up this week:
✨Gradients of Straight Lines Match-Up 
✨Drawing Line Segments with a Given Gradient
✨Plotting Straight Lines then finding Area and Perimeter
draustinmaths.com
#mathschat #mathsresources

In between Y11 mocks next week, I want something fun to ease exam stress without losing focus. “Top That Maths” is my card game - students deal, answer all questions, pick a skill, and the highest number wins! mathswhiteboard.com/MWB/topthatboa… #maths #iteachmaths #mathsresources

MattTheApp's tweet image. In between Y11 mocks next week, I want something fun to ease exam stress without losing focus. “Top That Maths” is my card game - students deal, answer all questions, pick a skill, and the highest number wins!

mathswhiteboard.com/MWB/topthatboa…

#maths #iteachmaths #mathsresources

Working with fractions today and thinking about wording/literacy within questions. The smallest changes can cause so much difficulty #mathschat #mathsresources

Scott_Math83's tweet image. Working with fractions today and thinking about wording/literacy within questions. The smallest changes can cause so much difficulty #mathschat #mathsresources

Midweek update of some new practice grids on two-way tables and probability: ✨Constructing Two-Way Tables ✨Completing Two-Way Tables ✨Finding Probability from Two-Way Tables Available at draustinmaths.com/probability #mathsresources #mathschat

draustinmaths's tweet image. Midweek update of some new practice grids on two-way tables and probability:
✨Constructing Two-Way Tables
✨Completing Two-Way Tables
✨Finding Probability from Two-Way Tables
Available at draustinmaths.com/probability
#mathsresources #mathschat
draustinmaths's tweet image. Midweek update of some new practice grids on two-way tables and probability:
✨Constructing Two-Way Tables
✨Completing Two-Way Tables
✨Finding Probability from Two-Way Tables
Available at draustinmaths.com/probability
#mathsresources #mathschat
draustinmaths's tweet image. Midweek update of some new practice grids on two-way tables and probability:
✨Constructing Two-Way Tables
✨Completing Two-Way Tables
✨Finding Probability from Two-Way Tables
Available at draustinmaths.com/probability
#mathsresources #mathschat

✨New Resource✨ Finally getting around to uploading a few resources from the end of last term. This first one is from Year 10 converting units of area and volume, a fill in the blanks activity. Find it at draustinmaths.com/measures #mathschat #mathsresources

draustinmaths's tweet image. ✨New Resource✨ Finally getting around to uploading a few resources from the end of last term. This first one is from Year 10 converting units of area and volume, a fill in the blanks activity.
Find it at draustinmaths.com/measures 
#mathschat #mathsresources

New linear equations resources: ✨Forming and Solving Two-Step Equations Practice Strips ✨Solving Equations with Powers and Roots Practice Strips ✨Solving Linear Equations Sort It Out All can be found at draustinmaths.com/equations-and-… #mathsresources #mathschat #mathscpdchat

draustinmaths's tweet image. New linear equations resources:
✨Forming and Solving Two-Step Equations Practice Strips
✨Solving Equations with Powers and Roots Practice Strips
✨Solving Linear Equations Sort It Out
All can be found at draustinmaths.com/equations-and-…
#mathsresources #mathschat #mathscpdchat
draustinmaths's tweet image. New linear equations resources:
✨Forming and Solving Two-Step Equations Practice Strips
✨Solving Equations with Powers and Roots Practice Strips
✨Solving Linear Equations Sort It Out
All can be found at draustinmaths.com/equations-and-…
#mathsresources #mathschat #mathscpdchat
draustinmaths's tweet image. New linear equations resources:
✨Forming and Solving Two-Step Equations Practice Strips
✨Solving Equations with Powers and Roots Practice Strips
✨Solving Linear Equations Sort It Out
All can be found at draustinmaths.com/equations-and-…
#mathsresources #mathschat #mathscpdchat

Today's resource is a Working with Percentages practice grid. My plan is to upload a ✨new resource✨ every day until I'm back to school - hopefully! Find this one at draustinmaths.com/percentages #mathsresources #mathschat

draustinmaths's tweet image. Today's resource is a Working with Percentages practice grid. My plan is to upload a ✨new resource✨ every day until I'm back to school - hopefully! Find this one at draustinmaths.com/percentages
#mathsresources #mathschat

More ✨new✨ A-level resources used with Year 12 today, introducing them to the discriminant after a quick proof of the quadratic formula! Find these at draustinmaths.com/a-level #mathsresources #mathschat #mathscpdchat

draustinmaths's tweet image. More ✨new✨ A-level resources used with Year 12 today, introducing them to the discriminant after a quick proof of the quadratic formula! Find these at draustinmaths.com/a-level
#mathsresources #mathschat #mathscpdchat
draustinmaths's tweet image. More ✨new✨ A-level resources used with Year 12 today, introducing them to the discriminant after a quick proof of the quadratic formula! Find these at draustinmaths.com/a-level
#mathsresources #mathschat #mathscpdchat

Some resources on expanding and factorising to challenge my Year 9 class in today's lesson: ✨Mixed Expanding Single and Double Brackets Practice Strips ✨Harder Factorising with Common Factors Practice Strips #MathsResources #MathsChat #MathsCPDChat

draustinmaths's tweet image. Some resources on expanding and factorising to challenge my Year 9 class in today's lesson:
✨Mixed Expanding Single and Double Brackets Practice Strips
✨Harder Factorising with Common Factors Practice Strips
#MathsResources #MathsChat #MathsCPDChat
draustinmaths's tweet image. Some resources on expanding and factorising to challenge my Year 9 class in today's lesson:
✨Mixed Expanding Single and Double Brackets Practice Strips
✨Harder Factorising with Common Factors Practice Strips
#MathsResources #MathsChat #MathsCPDChat

In Year 12 Maths today, we were sketching quadratics and finding equations from graphs using these ✨new resources✨. Answers corrected after the students spotted a couple of mistakes! draustinmaths.com/a-level #mathsresources #mathschat #mathscpdchat

draustinmaths's tweet image. In Year 12 Maths today, we were sketching quadratics and finding equations from graphs using these ✨new resources✨. Answers corrected after the students spotted a couple of mistakes!
draustinmaths.com/a-level
#mathsresources #mathschat #mathscpdchat
draustinmaths's tweet image. In Year 12 Maths today, we were sketching quadratics and finding equations from graphs using these ✨new resources✨. Answers corrected after the students spotted a couple of mistakes!
draustinmaths.com/a-level
#mathsresources #mathschat #mathscpdchat

Random musings to keep my brain from going too mushy over Summer. #mathsresources

Scott_Math83's tweet image. Random musings to keep my brain from going too mushy over Summer. #mathsresources

With Year 11, I'm starting next term with a recap of laws of indices and standard form before some work on upper and lower bounds. Going to be using this Algebraic Laws of Indices practice grid with them next week... Find it at draustinmaths.com/powers-and-roo… #mathsresources #mathschat

draustinmaths's tweet image. With Year 11, I'm starting next term with a recap of laws of indices and standard form before some work on upper and lower bounds. Going to be using this Algebraic Laws of Indices practice grid with them next week...
Find it at draustinmaths.com/powers-and-roo…
#mathsresources #mathschat

In today's Year 12 lesson we looked at hidden quadratics using this fill in the blanks activity, before finishing off quadratics with a couple of activities from Underground Maths. Find the fill in the blanks at draustinmaths.com/a-level #mathsresources #mathschat

draustinmaths's tweet image. In today's Year 12 lesson we looked at hidden quadratics using this fill in the blanks activity, before finishing off quadratics with a couple of activities from Underground Maths.
Find the fill in the blanks at draustinmaths.com/a-level
#mathsresources #mathschat

I missed uploading yesterday as it was GCSE results day, but today I've added a practice strip for solving monic quadratics by factorising when the equation needs rearranging. Find it at draustinmaths.com/algebra #mathsresources #mathschat #mathscpdchat

draustinmaths's tweet image. I missed uploading yesterday as it was GCSE results day, but today I've added a practice strip for solving monic quadratics by factorising when the equation needs rearranging. Find it at draustinmaths.com/algebra
#mathsresources #mathschat #mathscpdchat

With Year 9 this week, we have been looking at expanding and factorising quadratics using grids and by splitting brackets. Made a few Fill in the Blanks activities for them, which can be found at draustinmaths.com/algebra #MathsResources #MathsChat

draustinmaths's tweet image. With Year 9 this week, we have been looking at expanding and factorising quadratics using grids and by splitting brackets. Made a few Fill in the Blanks activities for them, which can be found at draustinmaths.com/algebra
#MathsResources #MathsChat
draustinmaths's tweet image. With Year 9 this week, we have been looking at expanding and factorising quadratics using grids and by splitting brackets. Made a few Fill in the Blanks activities for them, which can be found at draustinmaths.com/algebra
#MathsResources #MathsChat
draustinmaths's tweet image. With Year 9 this week, we have been looking at expanding and factorising quadratics using grids and by splitting brackets. Made a few Fill in the Blanks activities for them, which can be found at draustinmaths.com/algebra
#MathsResources #MathsChat

A little bit late tonight, but here's today's ✨new resource✨ - a crack the code for solving monic quadratics. Enjoy! Find it at draustinmaths.com/algebra #mathschat #mathsresources #mathscpdchat

draustinmaths's tweet image. A little bit late tonight, but here's today's ✨new resource✨ - a crack the code for solving monic quadratics. Enjoy!
Find it at draustinmaths.com/algebra
#mathschat #mathsresources #mathscpdchat

Take a peek behind the scenes at Tables Stick Production HQ!   We’re really proud to work with amazing local businesses - here’s one of our manufacturing partners in action, working hard to get the large Tables Sticks classroom ready!🧮 #TimesTables #MathsResources #edutwitter


In between Y11 mocks next week, I want something fun to ease exam stress without losing focus. “Top That Maths” is my card game - students deal, answer all questions, pick a skill, and the highest number wins! mathswhiteboard.com/MWB/topthatboa… #maths #iteachmaths #mathsresources

MattTheApp's tweet image. In between Y11 mocks next week, I want something fun to ease exam stress without losing focus. “Top That Maths” is my card game - students deal, answer all questions, pick a skill, and the highest number wins!

mathswhiteboard.com/MWB/topthatboa…

#maths #iteachmaths #mathsresources

Primary Maths Hub is the G.O.A.T for maths resources. 🐐 🏠 This is where we live - primarymathshub.com 💝 And we have a £5.99 subscription to access all resources on the website. Pure G.O.A.T value #maths #primarymaths #mathsresources #primarymathshub #primaryteacher

PrimaryMathsHub's tweet image. Primary Maths Hub is the G.O.A.T for maths resources. 🐐

🏠 This is where we live - primarymathshub.com

💝 And we have a £5.99 subscription to access all resources on the website. Pure G.O.A.T value

#maths #primarymaths #mathsresources #primarymathshub #primaryteacher

Primary Maths Hub is the G.O.A.T for maths resources. 🐐 🏠 This is where we live - primarymathshub.com 💝 And we have a £5.99 subscription to access all resources on the website. Pure G.O.A.T value #maths #primarymaths #mathsresources #primarymathshub #primaryteacher

PrimaryMathsHub's tweet image. Primary Maths Hub is the G.O.A.T for maths resources. 🐐

🏠 This is where we live - primarymathshub.com

💝 And we have a £5.99 subscription to access all resources on the website. Pure G.O.A.T value

#maths #primarymaths #mathsresources #primarymathshub #primaryteacher

Who came second in the rock, paper, scissors competition? Clues are in the Nov '25 Transum Mathematics Newsletter and Podcast: 💥 Puzzle of the Month 💥 Digimoji 💥 Flash Cards 💥 Satisfaction 💥 Metric/Imperial 💥 Domain and Range buff.ly/TQHce7W #mathsresources

Transum's tweet image. Who came second in the rock, paper, scissors competition? Clues are in the Nov '25 Transum Mathematics Newsletter and Podcast:

💥 Puzzle of the Month
💥 Digimoji
💥 Flash Cards
💥 Satisfaction
💥 Metric/Imperial
💥 Domain and Range 

buff.ly/TQHce7W 

 #mathsresources

Primary Maths Hub is the G.O.A.T for maths resources. 🐐 🏠 This is where we live - primarymathshub.com 💝 And we have a £5.99 subscription to access all resources on the website. Pure G.O.A.T value #maths #primarymaths #mathsresources #primarymathshub #primaryteacher

PrimaryMathsHub's tweet image. Primary Maths Hub is the G.O.A.T for maths resources. 🐐

🏠 This is where we live - primarymathshub.com

💝 And we have a £5.99 subscription to access all resources on the website. Pure G.O.A.T value

#maths #primarymaths #mathsresources #primarymathshub #primaryteacher

Double Double quiz and puzzle; Fire burn and cauldron bubble. Spooky sums that have no fear; Halloween Maths is waiting here: buff.ly/JdV2QGA #mathsresources #mathschat #mathstoday #mathchat #lessonstarter

Transum's tweet image. Double Double quiz and puzzle;
Fire burn and cauldron bubble.
Spooky sums that have no fear;
Halloween Maths is waiting here:

buff.ly/JdV2QGA

#mathsresources #mathschat #mathstoday #mathchat  #lessonstarter

Primary Maths Hub is the G.O.A.T for maths resources. 🐐 🏠 This is where we live - primarymathshub.com 💝 And we have a £5.99 subscription to access all resources on the website. Pure G.O.A.T value #maths #primarymaths #mathsresources #primarymathshub #primaryteacher

PrimaryMathsHub's tweet image. Primary Maths Hub is the G.O.A.T for maths resources. 🐐

🏠 This is where we live - primarymathshub.com

💝 And we have a £5.99 subscription to access all resources on the website. Pure G.O.A.T value

#maths #primarymaths #mathsresources #primarymathshub #primaryteacher

Primary Maths Hub is the G.O.A.T for maths resources. 🐐 🏠 This is where we live - primarymathshub.com 💝 And we have a £5.99 subscription to access all resources on the website. Pure G.O.A.T value #maths #primarymaths #mathsresources #primarymathshub #primaryteacher

PrimaryMathsHub's tweet image. Primary Maths Hub is the G.O.A.T for maths resources. 🐐

🏠 This is where we live - primarymathshub.com

💝 And we have a £5.99 subscription to access all resources on the website. Pure G.O.A.T value

#maths #primarymaths #mathsresources #primarymathshub #primaryteacher

Primary Maths Hub is the G.O.A.T for maths resources. 🐐 🏠 This is where we live - primarymathshub.com 💝 And we have a £5.99 subscription to access all resources on the website. Pure G.O.A.T value #maths #primarymaths #mathsresources #primarymathshub #primaryteacher

PrimaryMathsHub's tweet image. Primary Maths Hub is the G.O.A.T for maths resources. 🐐

🏠 This is where we live - primarymathshub.com

💝 And we have a £5.99 subscription to access all resources on the website. Pure G.O.A.T value

#maths #primarymaths #mathsresources #primarymathshub #primaryteacher

Primary Maths Hub is the G.O.A.T for maths resources. 🐐 🏠 This is where we live - primarymathshub.com 💝 And we have a £5.99 subscription to access all resources on the website. Pure G.O.A.T value #maths #primarymaths #mathsresources #primarymathshub #primaryteacher

PrimaryMathsHub's tweet image. Primary Maths Hub is the G.O.A.T for maths resources. 🐐

🏠 This is where we live - primarymathshub.com

💝 And we have a £5.99 subscription to access all resources on the website. Pure G.O.A.T value

#maths #primarymaths #mathsresources #primarymathshub #primaryteacher

I’ve updated the Maths Mystery Generator this morning: 💠Refined topic selection 💠Improved fraction handling mathswhiteboard.com/MWB/mathsmyste… Feedback on this has made it smoother and better than ever. #maths #iteachmaths #mathsresources

MattTheApp's tweet image. I’ve updated the Maths Mystery Generator this morning:

💠Refined topic selection
💠Improved fraction handling

mathswhiteboard.com/MWB/mathsmyste…

Feedback on this has made it smoother and better than ever.

#maths #iteachmaths #mathsresources

Some new Fill in the Blanks A-level resources used over the last week or so: ✨Solving Systems of Inequalities ✨Set Notation for Inequalities Turned out to be some really useful practice for my Year 12 Further Mathematicians. draustinmaths.com/a-level #MathsChat #MathsResources

draustinmaths's tweet image. Some new Fill in the Blanks A-level resources used over the last week or so:
✨Solving Systems of Inequalities
✨Set Notation for Inequalities
Turned out to be some really useful practice for my Year 12 Further Mathematicians.
draustinmaths.com/a-level
#MathsChat #MathsResources
draustinmaths's tweet image. Some new Fill in the Blanks A-level resources used over the last week or so:
✨Solving Systems of Inequalities
✨Set Notation for Inequalities
Turned out to be some really useful practice for my Year 12 Further Mathematicians.
draustinmaths.com/a-level
#MathsChat #MathsResources

Working with fractions today and thinking about wording/literacy within questions. The smallest changes can cause so much difficulty #mathschat #mathsresources

Scott_Math83's tweet image. Working with fractions today and thinking about wording/literacy within questions. The smallest changes can cause so much difficulty #mathschat #mathsresources

Some new resources on straight lines ready for Year 9 lessons coming up this week: ✨Gradients of Straight Lines Match-Up ✨Drawing Line Segments with a Given Gradient ✨Plotting Straight Lines then finding Area and Perimeter draustinmaths.com #mathschat #mathsresources

draustinmaths's tweet image. Some new resources on straight lines ready for Year 9 lessons coming up this week:
✨Gradients of Straight Lines Match-Up 
✨Drawing Line Segments with a Given Gradient
✨Plotting Straight Lines then finding Area and Perimeter
draustinmaths.com
#mathschat #mathsresources
draustinmaths's tweet image. Some new resources on straight lines ready for Year 9 lessons coming up this week:
✨Gradients of Straight Lines Match-Up 
✨Drawing Line Segments with a Given Gradient
✨Plotting Straight Lines then finding Area and Perimeter
draustinmaths.com
#mathschat #mathsresources
draustinmaths's tweet image. Some new resources on straight lines ready for Year 9 lessons coming up this week:
✨Gradients of Straight Lines Match-Up 
✨Drawing Line Segments with a Given Gradient
✨Plotting Straight Lines then finding Area and Perimeter
draustinmaths.com
#mathschat #mathsresources

Hi, I’m a primary maths specialist who believes maths doesn’t have to bite. I share ideas to help every pupil, teacher & parent feel happier & more confident about maths. Resources, tips & positivity to make maths feel good for everyone💛 #PrimaryMaths #MathsResources #MathsCPD

MathsDoesntBite's tweet image. Hi, I’m a primary maths specialist who believes maths doesn’t have to bite.
I share ideas to help every pupil, teacher & parent feel happier & more confident about maths.
Resources, tips & positivity to make maths feel good for everyone💛
#PrimaryMaths #MathsResources #MathsCPD

New linear equations resources: ✨Forming and Solving Two-Step Equations Practice Strips ✨Solving Equations with Powers and Roots Practice Strips ✨Solving Linear Equations Sort It Out All can be found at draustinmaths.com/equations-and-… #mathsresources #mathschat #mathscpdchat

draustinmaths's tweet image. New linear equations resources:
✨Forming and Solving Two-Step Equations Practice Strips
✨Solving Equations with Powers and Roots Practice Strips
✨Solving Linear Equations Sort It Out
All can be found at draustinmaths.com/equations-and-…
#mathsresources #mathschat #mathscpdchat
draustinmaths's tweet image. New linear equations resources:
✨Forming and Solving Two-Step Equations Practice Strips
✨Solving Equations with Powers and Roots Practice Strips
✨Solving Linear Equations Sort It Out
All can be found at draustinmaths.com/equations-and-…
#mathsresources #mathschat #mathscpdchat
draustinmaths's tweet image. New linear equations resources:
✨Forming and Solving Two-Step Equations Practice Strips
✨Solving Equations with Powers and Roots Practice Strips
✨Solving Linear Equations Sort It Out
All can be found at draustinmaths.com/equations-and-…
#mathsresources #mathschat #mathscpdchat

In Year 12 Maths today, we were sketching quadratics and finding equations from graphs using these ✨new resources✨. Answers corrected after the students spotted a couple of mistakes! draustinmaths.com/a-level #mathsresources #mathschat #mathscpdchat

draustinmaths's tweet image. In Year 12 Maths today, we were sketching quadratics and finding equations from graphs using these ✨new resources✨. Answers corrected after the students spotted a couple of mistakes!
draustinmaths.com/a-level
#mathsresources #mathschat #mathscpdchat
draustinmaths's tweet image. In Year 12 Maths today, we were sketching quadratics and finding equations from graphs using these ✨new resources✨. Answers corrected after the students spotted a couple of mistakes!
draustinmaths.com/a-level
#mathsresources #mathschat #mathscpdchat

Prepare to beat last year's results... We're putting the final touches on a set of resources that will take your Year 11 teaching to the next level. Stay tuned for the reveal next week. #MathsChat #MathsTeachers #MathsResources

mathsplanner's tweet image. Prepare to beat last year's results...

We're putting the final touches on a set of resources that will take your Year 11 teaching to the next level. Stay tuned for the reveal next week. 

#MathsChat #MathsTeachers #MathsResources

With Year 11, I'm starting next term with a recap of laws of indices and standard form before some work on upper and lower bounds. Going to be using this Algebraic Laws of Indices practice grid with them next week... Find it at draustinmaths.com/powers-and-roo… #mathsresources #mathschat

draustinmaths's tweet image. With Year 11, I'm starting next term with a recap of laws of indices and standard form before some work on upper and lower bounds. Going to be using this Algebraic Laws of Indices practice grid with them next week...
Find it at draustinmaths.com/powers-and-roo…
#mathsresources #mathschat

A little bit late tonight, but here's today's ✨new resource✨ - a crack the code for solving monic quadratics. Enjoy! Find it at draustinmaths.com/algebra #mathschat #mathsresources #mathscpdchat

draustinmaths's tweet image. A little bit late tonight, but here's today's ✨new resource✨ - a crack the code for solving monic quadratics. Enjoy!
Find it at draustinmaths.com/algebra
#mathschat #mathsresources #mathscpdchat

Our Maths Hub Developing A Level Pedagogy Work Group with @robotmaths led discussions around Modelling in Pure and Applied Maths, Data Handling, Mechanics and some great resources to use. @Advanced_Maths @NCETM @mathshubs #mathscpd #mathsresources

NEHS_MathsHub's tweet image. Our Maths Hub Developing A Level Pedagogy Work Group with @robotmaths led discussions around Modelling in Pure and Applied Maths, Data Handling, Mechanics and some great resources to use.  
@Advanced_Maths @NCETM @mathshubs
#mathscpd #mathsresources
NEHS_MathsHub's tweet image. Our Maths Hub Developing A Level Pedagogy Work Group with @robotmaths led discussions around Modelling in Pure and Applied Maths, Data Handling, Mechanics and some great resources to use.  
@Advanced_Maths @NCETM @mathshubs
#mathscpd #mathsresources

... because seven eight nine! 😆 Ok, terrible joke! Happy #MathsWeekEngland For Maths resources, lesson plans & more, check out Pango 💙 hubs.li/Q02VWSrv0 #MathsResources #MathsWeek #PrimaryMaths #PrimaryResources s #MathsLessons #MathsWeekEngland24 #edutwitter

pango_education's tweet image. ... because seven eight nine! 😆

Ok, terrible joke! 
Happy #MathsWeekEngland

For Maths resources, lesson plans & more, check out Pango 💙 hubs.li/Q02VWSrv0

#MathsResources #MathsWeek #PrimaryMaths #PrimaryResources s #MathsLessons  #MathsWeekEngland24 #edutwitter

✨New Resource✨ Finally getting around to uploading a few resources from the end of last term. This first one is from Year 10 converting units of area and volume, a fill in the blanks activity. Find it at draustinmaths.com/measures #mathschat #mathsresources

draustinmaths's tweet image. ✨New Resource✨ Finally getting around to uploading a few resources from the end of last term. This first one is from Year 10 converting units of area and volume, a fill in the blanks activity.
Find it at draustinmaths.com/measures 
#mathschat #mathsresources

Midweek update of some new practice grids on two-way tables and probability: ✨Constructing Two-Way Tables ✨Completing Two-Way Tables ✨Finding Probability from Two-Way Tables Available at draustinmaths.com/probability #mathsresources #mathschat

draustinmaths's tweet image. Midweek update of some new practice grids on two-way tables and probability:
✨Constructing Two-Way Tables
✨Completing Two-Way Tables
✨Finding Probability from Two-Way Tables
Available at draustinmaths.com/probability
#mathsresources #mathschat
draustinmaths's tweet image. Midweek update of some new practice grids on two-way tables and probability:
✨Constructing Two-Way Tables
✨Completing Two-Way Tables
✨Finding Probability from Two-Way Tables
Available at draustinmaths.com/probability
#mathsresources #mathschat
draustinmaths's tweet image. Midweek update of some new practice grids on two-way tables and probability:
✨Constructing Two-Way Tables
✨Completing Two-Way Tables
✨Finding Probability from Two-Way Tables
Available at draustinmaths.com/probability
#mathsresources #mathschat

📚 We're starting to build up our LLME library and are looking to expand on what we have so far! 👇 Drop your recs below 👇 #MathsReading #EduTwitter #MathsResources

SYMathsHub's tweet image. 📚 We're starting to build up our LLME library and are looking to expand on what we have so far! 

👇 Drop your recs below 👇

#MathsReading #EduTwitter #MathsResources

More A-Level Maths resources from last week's Year 12 lessons: ✨Mixed Simultaneous Equations Crack the Code ✨Graphical Inequalities and Regions Fill in the Blanks Find them at draustinmaths.com/a-level #MathsChat #MathsResources

draustinmaths's tweet image. More A-Level Maths resources from last week's Year 12 lessons:
✨Mixed Simultaneous Equations Crack the Code
✨Graphical Inequalities and Regions Fill in the Blanks
Find them at draustinmaths.com/a-level
#MathsChat #MathsResources
draustinmaths's tweet image. More A-Level Maths resources from last week's Year 12 lessons:
✨Mixed Simultaneous Equations Crack the Code
✨Graphical Inequalities and Regions Fill in the Blanks
Find them at draustinmaths.com/a-level
#MathsChat #MathsResources

More ✨new✨ A-level resources used with Year 12 today, introducing them to the discriminant after a quick proof of the quadratic formula! Find these at draustinmaths.com/a-level #mathsresources #mathschat #mathscpdchat

draustinmaths's tweet image. More ✨new✨ A-level resources used with Year 12 today, introducing them to the discriminant after a quick proof of the quadratic formula! Find these at draustinmaths.com/a-level
#mathsresources #mathschat #mathscpdchat
draustinmaths's tweet image. More ✨new✨ A-level resources used with Year 12 today, introducing them to the discriminant after a quick proof of the quadratic formula! Find these at draustinmaths.com/a-level
#mathsresources #mathschat #mathscpdchat

Loading...

Something went wrong.


Something went wrong.


United States Trends