#biostatsmadeeasy ผลการค้นหา

#BiostatsMadeEasy Difference between Type I error and Type II error.

oelkhateeb's tweet image. #BiostatsMadeEasy

Difference between Type I error and Type II error.

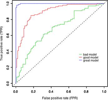
#BiostatsMadeEasy Here is how you interpret the measured AREA under #ROC curve.

oelkhateeb's tweet image. #BiostatsMadeEasy

Here is how you interpret the measured AREA under #ROC curve.
oelkhateeb's tweet image. #BiostatsMadeEasy

Here is how you interpret the measured AREA under #ROC curve.

#BiostatsMadeEasy The t-test assesses whether the means of two groups are statistically different from each other.

oelkhateeb's tweet image. #BiostatsMadeEasy

The t-test assesses whether the means of two groups are statistically different from each other.
oelkhateeb's tweet image. #BiostatsMadeEasy

The t-test assesses whether the means of two groups are statistically different from each other.
oelkhateeb's tweet image. #BiostatsMadeEasy

The t-test assesses whether the means of two groups are statistically different from each other.

#BiostatsMadeEasy Correlation coefficient r a number that describes the degree of relationship between two variables

oelkhateeb's tweet image. #BiostatsMadeEasy

Correlation coefficient r
a number that describes the degree of relationship between two variables

#BiostatsMadeEasy AREA under #ROC curve measures the ABILITY of a test to correctly CLASSIFY those with & without the disease.


#NPV If the test result is negative what is the probability that the patient does not have disease? #BiostatsMadeEasy


#PPV: If the test result is positive what is the probability that the patient actually has the disease? #BiostatsMadeEasy


#BiostatsMadeEasy If the Confidence Interval (CI) of r crosses Zero then we are not certain there is any meaningful correlation.


This article debunks what we have been taught on how to use P values. #BiostatsMadeEasy #ClassicRead

A classic: P values, the 'gold standard' of statistical validity. Or not... ow.ly/OL92j

Nature's tweet image. A classic: P values, the 'gold standard' of statistical validity. Or not... ow.ly/OL92j


This article debunks what we have been taught on how to use P values. #BiostatsMadeEasy #ClassicRead

A classic: P values, the 'gold standard' of statistical validity. Or not... ow.ly/OL92j

Nature's tweet image. A classic: P values, the 'gold standard' of statistical validity. Or not... ow.ly/OL92j


#BiostatsMadeEasy If the Confidence Interval (CI) of r crosses Zero then we are not certain there is any meaningful correlation.


#BiostatsMadeEasy Correlation coefficient r a number that describes the degree of relationship between two variables

oelkhateeb's tweet image. #BiostatsMadeEasy

Correlation coefficient r
a number that describes the degree of relationship between two variables

#BiostatsMadeEasy The t-test assesses whether the means of two groups are statistically different from each other.

oelkhateeb's tweet image. #BiostatsMadeEasy

The t-test assesses whether the means of two groups are statistically different from each other.
oelkhateeb's tweet image. #BiostatsMadeEasy

The t-test assesses whether the means of two groups are statistically different from each other.
oelkhateeb's tweet image. #BiostatsMadeEasy

The t-test assesses whether the means of two groups are statistically different from each other.

#BiostatsMadeEasy Here is how you interpret the measured AREA under #ROC curve.

oelkhateeb's tweet image. #BiostatsMadeEasy

Here is how you interpret the measured AREA under #ROC curve.
oelkhateeb's tweet image. #BiostatsMadeEasy

Here is how you interpret the measured AREA under #ROC curve.

#BiostatsMadeEasy AREA under #ROC curve measures the ABILITY of a test to correctly CLASSIFY those with & without the disease.


#BiostatsMadeEasy Difference between Type I error and Type II error.

oelkhateeb's tweet image. #BiostatsMadeEasy

Difference between Type I error and Type II error.

#NPV If the test result is negative what is the probability that the patient does not have disease? #BiostatsMadeEasy


#PPV: If the test result is positive what is the probability that the patient actually has the disease? #BiostatsMadeEasy


ไม่พบผลลัพธ์สำหรับ "#biostatsmadeeasy"
ไม่พบผลลัพธ์สำหรับ "#biostatsmadeeasy"
Loading...

Something went wrong.


Something went wrong.


United States Trends