#functions 검색 결과

#TansleyInsight: The evolution of RHO of plant (ROP) #proteins and their morphogenetic #functions Hugh Mulvey & Liam Dolan 👇 📖 nph.onlinelibrary.wiley.com/doi/10.1111/np… #LatestIssue @wileyplantsci

you may need to understand the heavy lifting ur app needs to do to get this data to appreciate #streams and #functions by @QuickNode
#JustNow | அரசு நிகழ்ச்சிக்கு பேருந்துகளா? #TNGovt | #Functions | #SchoolBus | #Annamalai | @annamalai_k | #NewsTamil24x7

How do you accurately analyze measurements with a minimal amount of data points? This is where time-weighted functions come in, newly added in Timeplus. These #functions consider how long each value lasted, like weighing each measurement by its duration. ⏳⚖️
Our Catering Services 📧 [email protected] 📲 0664480658 #Functions #Catering #Chef #fyp #delicious #MetGala2025 #NedbankCup2025
PLATTERS around Durban and Newcastle. For orders simply WHATSAPP 📲0664480658. #Functions #Events #Food #Catering #Chef #fyp #Durban #Newcastle #AskAMan #OrlandoPirates



It’s been about 5 sessions since I started learning #JavaScript, and I find myself getting more interested with each class. Today we started the topic of #Functions; it was really interesting and felt very new to me.😎 @E_Ehrari @CodeToInspire @f_forough
We made some changes with the Azure functions team to make the .NET APIs use the new builder API pattern. #dotnet #azure #functions

Sharpened my #JavaScript skills today by diving into #objects, built-in #functions, and #array operations. Building stronger foundations for clean, efficient code. @E_Ehrari @f_forough @CodeToInspire #Frontend #CodeNewbie #WebDevelopment #AfghanGirlsCode #SoftwareDevelopment




WTF. Just discussed some #activation #functions with #GPT41, and it randomly hallucin-invented a new one. 😂 #cursed #act #func

In today’s #JavaScript class, we explored built-in functions, writing custom #functions, increment expressions (#prefix & #postfix), and some string methods. Learning by doing one step closer to clean logic! 💻 @E_Ehrari @f_forough @CodeToInspire #AfganGirlsCode #Coding #WebDev




Reviewing Functions today with hands-on stations! 📚🔄 Using @IllustrateMath Check Your Readiness assessment to gauge our skills and boost confidence. Great practice for building a strong foundation in Algebra! #MathReview #Algebra #Functions @CrosbyMiddle #ThePlaceToBe


✨ Day 13 of 100 ✨ Today I learned about functions in Python. Functions are like mini-machines: you give them input, they do some work, and return output. They help make code cleaner, reusable, and easier to understand. #PythonZeroToHeroStudent #100DaysOfPython #Functions

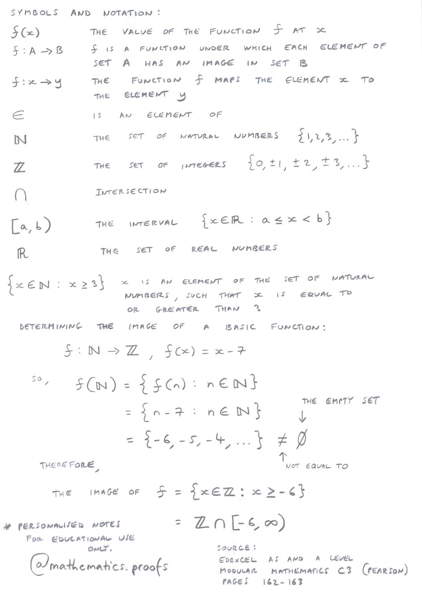
Introductions to university mathematics: Determining the image of a basic function. #functions #math

We know how much you love our scotch eggs🤩 Did you know when you hold an event with us you can choose them as part of your buffet choices? 🤯 Enquire about your upcoming events with us! Give us a call, email or head over to our website 📲 #youngspubs #events #functions

Learning about function declaration, function expressions, arrow functions, and hoisting in #JavaScript today. It’s amazing how subtle differences in syntax can change how #functions behave. @E_Ehrari @f_forough @CodeToInspire #WebDev #AfghanGirlsCode #Frontend #WebDeveloper




Global Business Services have been a proven lever to transform corporate support #functions towards benchmark performance across Finance, HR, and IT, and are now seeing a functional penetration in more high-value, expertise-based #services like marketing, sales, and #operations.

ICYMI: (07/10/2020): "Securing Azure Function Settings with Azure Key Vault." RTs and feedback are always appreciated! jjg.me/3eqbFCF #Azure #KeyVault #Functions
ICYMI: (07/10/2020): "Securing Azure Function Settings with Azure Key Vault." RTs and feedback are always appreciated! jjg.me/3eqbFCF #Azure #KeyVault #Functions
Day 5 / 90 Functions = code you can reuse 🔁 Declare → function greet() {} Call → greet() Return → send values back #JavaScript #Functions #LearnInPublic
#OCI_ReleaseNotes #Functions 2025年10月7日 "Support for longer running functions in Detached mode, and delivery destinations" デタッチドモードの関数呼び出しで、より長い実行タイムアウトを指定できるようになりました。 tinyurl.com/27fvs2s8
#OCI_ReleaseNotes #Functions 2025年10月7日 "Support for longer running functions in Detached mode, and delivery destinations" デタッチドモードでの関数呼び出しで、より長い実行タイムアウトを指定できるようになりました。 tinyurl.com/27fvs2s8
#OCI_ReleaseNotes #Functions 2025年10月7日 "Support for longer running functions in Detached mode, and delivery destinations" デタッチドモードで関数を呼び出す際、実行タイムアウトを長く設定できるようになりました。 tinyurl.com/27fvs2s8
YP Solutions Ltd | #EPOS with Book Keeping #Functions!!! #YpSolutions #Epos #TakeawayOnlineOrderingWebsite #CloudEpos #TakeawayCloudEpos Visit: y-p.uk Or Quick Call: 01254 664064

ICYMI: (09/07/2020): "Dependency Injection with Azure Functions." RTs and feedback are always appreciated! jjg.me/2QWZOCG #Azure #DependencyInjection #Functions
Little Mathematics Library – #Calculus of Rational Functions – G.E. Shilov discusses #graphs of #functions and the differential and integral calculi as applied to rational functions of one variable #lml #mathematics #soviet #books #mirtitles mirtitles.org/2012/09/05/lit…

Function and macro libraries are incredibly useful for handling multi-use situations in various structures. People can copy them into their mods or move the function and macro libraries into their mod file. #macros #functions

We have radishes! @Stewart_Creek @readygrowgarden @lsutiffanym @MontgomeryISD #rootvegetable #structures #functions



#TansleyInsight: The evolution of RHO of plant (ROP) #proteins and their morphogenetic #functions Hugh Mulvey & Liam Dolan 👇 📖 nph.onlinelibrary.wiley.com/doi/10.1111/np… #LatestIssue @wileyplantsci

✨ Day 13 of 100 ✨ Today I learned about functions in Python. Functions are like mini-machines: you give them input, they do some work, and return output. They help make code cleaner, reusable, and easier to understand. #PythonZeroToHeroStudent #100DaysOfPython #Functions

#JustNow | அரசு நிகழ்ச்சிக்கு பேருந்துகளா? #TNGovt | #Functions | #SchoolBus | #Annamalai | @annamalai_k | #NewsTamil24x7

In today’s #JavaScript class, we explored built-in functions, writing custom #functions, increment expressions (#prefix & #postfix), and some string methods. Learning by doing one step closer to clean logic! 💻 @E_Ehrari @f_forough @CodeToInspire #AfganGirlsCode #Coding #WebDev




I just realized that one of the primary #functions of #bureaucracy is to provide #BullshitJobs. Fortunately, all bullshit jobs would be rendered #obsolete in a resource based economy.


5 Simplified Tips For Software Functional Testing leanstartuplife.com/2025/01/tips-t… #Software #SaaS #Functions #Testing #SoftwareDevelopment

PLATTERS around Durban and Newcastle. For orders simply WHATSAPP 📲0664480658. #Functions #Events #Food #Catering #Chef #fyp #Durban #Newcastle #AskAMan #OrlandoPirates



शादी में खा पी के उंगलियाँ हट्टी कट्टी तंदुरुस्त हो गई है।अंगूठिया फंसने लगी है। लग रहा है, जरा इवनिंग वाॅक पे ले जाना पङेगा इनको 🖐🙄😬 आपको कोई finger walking track पता हो, तो बताना... #shaadi #functions #excercise

कल रात्रि मेरठ में आयोजित विभिन्न विवाह समारोह के निमंत्रण पर सम्मिलित होकर परिवार जनों को शुभकामनाएं एवं बधाई दी तथा वर वधु के उज्ज्वल भविष्य की कामना की! #marriage #functions #meerut




#Day1 of #100DaysOfJavaScript ✅How to write #functions ✅function keywords ✅arrow functions @JavaScriptDaily @JavaScript #programmer #coding #javascript 💯

ਅਨੰਤ ਰਾਧਿਕਾ ਦੀ ਹਲਦੀ ਦੀ ਰਸਮ ’ਚ ਪੁੱਜੇ ਫ਼ਿਲਮੀ ਸਿਤਾਰੇ #anantambani #marriage #functions #ambani #ajit #ajitnews #dailyajit #ajitnews




Using dart functions to display the area of a rectangle and two optional parameters, name and job🔛👩🏻💻 #functions #Dartpad #flutter #AfghanGirls @a_daneshyar @CodeToInspire



Introductions to university mathematics: Determining the image of a basic function. #functions #math

Reviewing Functions today with hands-on stations! 📚🔄 Using @IllustrateMath Check Your Readiness assessment to gauge our skills and boost confidence. Great practice for building a strong foundation in Algebra! #MathReview #Algebra #Functions @CrosbyMiddle #ThePlaceToBe


Beautiful canapés made by Chef Eoin for the Computer Science and DSI get together . 🍢🍡 #happyfriday #functions #events #canapé #goodfood

The Legacy Woodpile functions just like traditional ore piles but for wood! #functions #Legacy #Woodpile tinyurl.com/2ykagol3


Information about #injective #functions and the meaning of f:A→B. #alevelmaths Book source 1: amazon.co.uk/shop/mathemati… Book source 2: amazon.co.uk/shop/mathemati…


Something went wrong.
Something went wrong.
United States Trends
- 1. Cowboys 66.4K posts
- 2. Fred Warner 6,928 posts
- 3. Panthers 67K posts
- 4. Ravens 61.8K posts
- 5. Browns 60.1K posts
- 6. Zac Taylor 1,567 posts
- 7. Dolphins 44.3K posts
- 8. #KeepPounding 6,981 posts
- 9. Eberflus 9,038 posts
- 10. Colts 54K posts
- 11. Steelers 62.6K posts
- 12. Rico Dowdle 9,023 posts
- 13. #FTTB 3,004 posts
- 14. Drake Maye 20.1K posts
- 15. Penn State 65.7K posts
- 16. Chargers 51.6K posts
- 17. James Franklin 48.6K posts
- 18. Cam Ward 1,500 posts
- 19. Herbert 15.2K posts
- 20. Pickens 16.7K posts