#gist 검색 결과
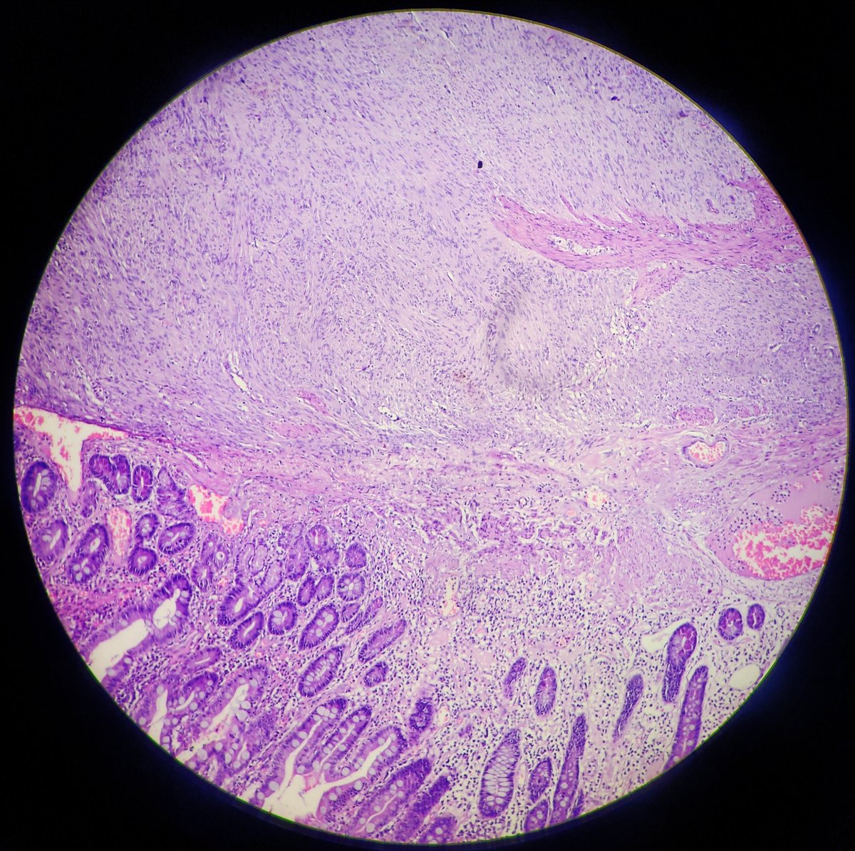
#histopathology #GIT #GIST #pathX #pathTwitter #cellphonephotograph Dx: Gastrointestinal stromal tumor (GIST).

In honor of Gastrointestinal Stromal Tumor #GISTAwarenessDay, we spoke to Mark Antkowiak, M.D., general surgery resident and GIST researcher, about his work and the importance of #GIST research. #UCSDSurgery

GIST(がん)は遺伝子変異で発症します。10万人あたり1〜2人程度です。私はkit117という型で、抗がん剤(イマニチブ)がかなり有効のようです。腹膜播種を併発していますが、抗がん剤の効果で肥大化、ほかへの転移は3年経過して、発生していません。 #ITエンジニア #GIST #がん
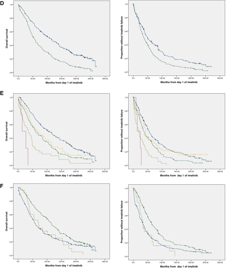
💥 Closing the week…20 years of follow-up from the BFR14 trial show >10% of advanced #GIST patients on imatinib made it to the two-decade survival mark! annalsofoncology.org/article/S0923-… 🎯Median OS: 75.3 mo ▪️20-year survival: 13% ▪️KIT exon 11, female sex, smaller tumors = better odds…


Inspiring Presidential Address by @pennsurgery Chair Ronald de Matteo on his journey becoming a physician-scientist on #GIST and immunology. 😃 to learn he is a fellow @JohnsHopkins alumni as well as my @MSKCancerCenter fellowship PD @SocSurgOnc #SSO2025




#RareDiseaseDay Samantha my very dear friend from Montreal was the face of #GIST for almost all of her young adult life. A patient advocate who was the most powerful voice of so many others. What the feisty Sam did was, share with the GIST community of survivors & caregivers …

抗がん剤(イマニチブ)は、毛は抜けない治療薬と言われています。しかし、3年服用し続けた最近、抜け毛が多く、薄毛が気になってきました。 亜鉛、ビタミンB1、B6、D3をサプリで服用して様子をみています。 (;'-' ) #GIST #がん #抗がん剤 #抜け毛
造影CT検査の結果と診察で今朝は病院。 CT検査結果は、変わりなし、でした。 このところお腹が張って朝起き上がるのがつらいことなど数回あって、腹膜播種が悪さしてるんではなどと気になってからひとまず安心。週末は心の栄養と、身体の栄養、美味しいものを食べる✊✨ #GIST #消化管間質腫瘍 #肉腫

In this life fear female friends ooo cause how can talk this trash about someone you call best friend #gist




Davido shares a screenshot of him on a call with Lamine Yamal via IG. #UskelemePlug #Gist #Davido #LamineYamal

Gastrointestinal Stromal Tumors or #GIST are the most common sarcomas of the gastrointestinal tract. While the exact cause of GIST is unknown, most people with GIST do have a gene mutation, which can drive tumor development. Learn more about our work in this disease:…

診察終わり、午後から仕事です。 今日は主治医が同じGIST患者さんが3人集まり、これまでのGIST治療の経緯や副作用の悩み、主治医とのコミュニケーションのコツなどもご指南いただき🙏楽しいひとときでした。 次回は日程バラバラだけど、また会えるといいな。 #GIST #消化管間質腫瘍 #イマチニブ

おひるは酸辣麺🌶️体が酸っぱいのや辛いのを求めている様子。疲労か、一昨日も昨晩も悪夢見ちゃって自分の叫び声で目が覚めてしまっている、ストレスか。 イマチニブ持って出るの忘れて焦ったが無事食後に服用。今日は吐き気の日みたいで、午後から少し心配。 #GIST #イマチニブ #副作用

飲んだ 125/1095 #ブタカク日和 #GIST #消化管間質腫瘍 #イマチニブ #分子標的薬 #ブタカクのイマチニブ服用日記 #GISTと診断された方と繋がりたい
A great time to be had on #DrivetimeDiscussion981 tonight ! 🎤 Join @JoyUrueye as we hang out with the trio @Thegbubemiejeye @lindaosifo_LAO @realmercyaigbe Tune in - Smooth981 FM 📻 Or listen live smoothlive.smooth981.fm:8000/smoothlivefm128 ❤️💙🤍 #Smooth981 #Gist #evening #Radio #LagosRadio

Additive value of inflammatory markers in predicting outcomes in resectable gastrointestinal stromal tumor patients @OnkologiaPolska @NIO_PIB #gist gist.amegroups.org/article/view/1…
おひるは酸辣麺🌶️体が酸っぱいのや辛いのを求めている様子。疲労か、一昨日も昨晩も悪夢見ちゃって自分の叫び声で目が覚めてしまっている、ストレスか。 イマチニブ持って出るの忘れて焦ったが無事食後に服用。今日は吐き気の日みたいで、午後から少し心配。 #GIST #イマチニブ #副作用

飲んだ 124/1095 #ブタカク日和 #GIST #消化管間質腫瘍 #イマチニブ #分子標的薬 #ブタカクのイマチニブ服用日記 #GISTと診断された方と繋がりたい
飲んだ 123/1095 #ブタカク日和 #GIST #消化管間質腫瘍 #イマチニブ #分子標的薬 #ブタカクのイマチニブ服用日記 #GISTと診断された方と繋がりたい
“Why is it called menstruation and menopause?” — A Man sparks hilarious gender debate online 😂🤣🤣 #women #gist _ #drgodwinibe #drgodwin #godwinibe

GIST 무한도전 프로젝트, 10주년 성과와 의미 - GIST 기계로봇공학과 이창현 학생 | 이슈 '판' | 함께하는 세상, 오늘 (2025.10.13.월) youtube.com/live/ddfiHzi7c… #이슈판 #이창현 #gist #광주과학기술원 #무한도전프로젝트 #함께하는세상오늘 #광주가톨릭평화방송 #김선균국장 #가톨릭 #천주교
youtube.com
YouTube
GIST 무한도전 프로젝트, 10주년 성과와 의미 - GIST 기계로봇공학과 이창현 학생 | 이슈 '판' | 함께하는 세상,...
飲んだ 122/1095 #ブタカク日和 #GIST #消化管間質腫瘍 #イマチニブ #分子標的薬 #ブタカクのイマチニブ服用日記 #GISTと診断された方と繋がりたい
飲んだ 121/1095 #ブタカク日和 #GIST #消化管間質腫瘍 #イマチニブ #分子標的薬 #ブタカクのイマチニブ服用日記 #GISTと診断された方と繋がりたい
Jamilla’s name is not in my dad’s obituary……Triumph…..Trump ?????!!!!!!!….#Gist #paternity
飲んだ 120/1095 #ブタカク日和 #GIST #消化管間質腫瘍 #イマチニブ #分子標的薬 #ブタカクのイマチニブ服用日記 #GISTと診断された方と繋がりたい
People really do notice everything. Stepped out of my apartment this morning and this random co-tenant from one of the 181 flats goes, “I haven’t been seeing your car lately.” I’m like damn 😂 #random #gist #story
飲んだ 119/1095 #ブタカク日和 #GIST #消化管間質腫瘍 #イマチニブ #分子標的薬 #ブタカクのイマチニブ服用日記 #GISTと診断された方と繋がりたい
Davido shares a screenshot of him on a call with Lamine Yamal via IG. #UskelemePlug #Gist #Davido #LamineYamal

#histopathology #GIT #GIST #pathX #pathTwitter #cellphonephotograph Dx: Gastrointestinal stromal tumor (GIST).

長年の分子標的治療で皮膚よわよわで生傷がたえないので、複雑箇所の絆創膏加工がどんどん上手くなってゆく 今回の指の股付け根バージョンはいつもより角度と丸みが上手くできた #GIST #グリベック #イマチニブ


診察終わり 造影CT検査の結果、変化なしでした。 2012年にGIST確定診断、2014年再発、2015年腹膜播種と遠隔転移して分子標的治療を開始して今年で10年。腫瘍の増殖をコントロールできていることに感謝。 一日ずつ重ねていけますよう。 病院の中庭は息吹があふれ出ていた🌱春です🌿 #GIST #希少がん

#AIIA, New Delhi is hosting the Aahaar Kranti National Meet 2024 in collaboration with the Global Indian Scientists & Technocrats Forum (#GIST) on July 20-21, 2024. 1/3

#Gist: Bobrisky has been arrezted this morning at the seme border while trying to flee to Benin Republic, he is currently with immigration - VDM Gowon Monday Motivation Happy New Week EndSARS Peter Obi gistlover




造影CT検査の結果と診察で今朝は病院。 CT検査結果は、変わりなし、でした。 このところお腹が張って朝起き上がるのがつらいことなど数回あって、腹膜播種が悪さしてるんではなどと気になってからひとまず安心。週末は心の栄養と、身体の栄養、美味しいものを食べる✊✨ #GIST #消化管間質腫瘍 #肉腫

Inspiring Presidential Address by @pennsurgery Chair Ronald de Matteo on his journey becoming a physician-scientist on #GIST and immunology. 😃 to learn he is a fellow @JohnsHopkins alumni as well as my @MSKCancerCenter fellowship PD @SocSurgOnc #SSO2025




In honor of Gastrointestinal Stromal Tumor #GISTAwarenessDay, we spoke to Mark Antkowiak, M.D., general surgery resident and GIST researcher, about his work and the importance of #GIST research. #UCSDSurgery

#RareDiseaseDay Samantha my very dear friend from Montreal was the face of #GIST for almost all of her young adult life. A patient advocate who was the most powerful voice of so many others. What the feisty Sam did was, share with the GIST community of survivors & caregivers …

Interesting data for IDRX-42, new KIT inhibitor, in #GIST, just presented at #ASCO24 by Patrick Schöffski 🚨phase I, multiple dose levels, heterogenous population but... 📈high rate of responses across different dose levels, especially in 2nd line

Mick Sinclair’s at the Electric Ballroom for #TheMeteors, Robin Gibson’s at the Rock Garden for #Gist, Edwin Pouncey’s at the Fridge for #ChampionDougVeitch, Luaka Bop’s at the Fridge too for #TheSinatras & John Dingwall’s in Dundee for #DeathCult @boldrex Sounds Aug 13th 1983

Something went wrong.
Something went wrong.
United States Trends
- 1. Gabe Vincent 3,691 posts
- 2. Deport Harry Sisson 8,032 posts
- 3. #PokemonZA 1,484 posts
- 4. Angel Reese 50.9K posts
- 5. DuPont 1,683 posts
- 6. #Blackhawks 2,123 posts
- 7. Deloitte 6,302 posts
- 8. Blues 21.3K posts
- 9. Mavs 5,715 posts
- 10. tzuyu 236K posts
- 11. Lakers 18.1K posts
- 12. #PokemonLegendZA 1,333 posts
- 13. #AEWDynamite 18.5K posts
- 14. #TusksUp 1,649 posts
- 15. Tusky 2,349 posts
- 16. Birdman 5,239 posts
- 17. Mad Max 3,540 posts
- 18. jihyo 186K posts
- 19. Nazar 6,792 posts
- 20. Hofer 1,706 posts