#irad search results

No results for "#irad"

5 horse Ontario R7 at Keeneland. Give me Irad and Joe to get this done. Big unit play here #Keeneland #Lexington #Irad #Keenelandselect


📢 Join us for a FREE CIRSE webinar on coil embolisation with Boston Scientific! 🗓️ May 7, 2026 | 17:00-18:30 CEST ✅ Register: t.ly/eePjK Explore key techniques & the EMBOLD™ Detachable Coil System! #CIRSEwebinar #InterventionalRadiology #IRad

cirsesociety's tweet image. 📢 Join us for a FREE CIRSE webinar on coil embolisation with Boston Scientific! 

🗓️ May 7, 2026 | 17:00-18:30 CEST  
✅ Register: t.ly/eePjK  

Explore key techniques & the EMBOLD™ Detachable Coil System!  

#CIRSEwebinar #InterventionalRadiology #IRad

#throwbackthursday This paper analyses ultrasound (US)-guided percutaneous thrombin injection for stoma-site bleeding after PEG tube insertion: a case series and review of the literature link.springer.com/article/10.118… #IRad #interventionalradiology

cvirendo's tweet image. #throwbackthursday

This paper analyses ultrasound (US)-guided percutaneous thrombin injection for stoma-site bleeding after PEG tube insertion: a case series and review of the literature

link.springer.com/article/10.118…

#IRad #interventionalradiology

Congratulations! I hope you are able to refer your patient with a compression fracture to someone skilled in vertebral augmentation. One of the most satisfying procedures I perform. #irad


2 min overview of how we access and perform thrombectomy in the TA / Right upper lobe #iRad


This article explores endovascular management of acquired uterine vascular anomalies link.springer.com/article/10.118… #IRad #interventionalradiology

cvirendo's tweet image. This article explores endovascular management of acquired uterine vascular anomalies

link.springer.com/article/10.118…

#IRad #interventionalradiology

IVC Filter Placement youtu.be/HiIyAKw0Ho8?si… What Inferior Vena Cava (IVC) filter placement looks like start to finish on live fluoroscopy👩🏻‍⚕️🩻. This video was created and narrated for our trainees at @WashUMedMIR by Jim Duncan, MD, PhD! #interventionalradiology #radiology #irad

stephkimMD's tweet card. James Duncan

youtube.com

YouTube

James Duncan


What an incredible time at #SIR26TOR! Wonderful seeing colleagues, collaborators, mentors/mentees, and friends. Amazing sessions, teaching lessons, and inspiring innovations. A bright future for #IRAD. Huge honor to have the opportunity to speak and moderate. All in a beautiful

MinaMakaryMD's tweet image. What an incredible time at #SIR26TOR! Wonderful seeing colleagues, collaborators, mentors/mentees, and friends. Amazing sessions, teaching lessons, and inspiring innovations. A bright future for #IRAD. Huge honor to have the opportunity to speak and moderate. All in a beautiful
MinaMakaryMD's tweet image. What an incredible time at #SIR26TOR! Wonderful seeing colleagues, collaborators, mentors/mentees, and friends. Amazing sessions, teaching lessons, and inspiring innovations. A bright future for #IRAD. Huge honor to have the opportunity to speak and moderate. All in a beautiful
MinaMakaryMD's tweet image. What an incredible time at #SIR26TOR! Wonderful seeing colleagues, collaborators, mentors/mentees, and friends. Amazing sessions, teaching lessons, and inspiring innovations. A bright future for #IRAD. Huge honor to have the opportunity to speak and moderate. All in a beautiful
MinaMakaryMD's tweet image. What an incredible time at #SIR26TOR! Wonderful seeing colleagues, collaborators, mentors/mentees, and friends. Amazing sessions, teaching lessons, and inspiring innovations. A bright future for #IRAD. Huge honor to have the opportunity to speak and moderate. All in a beautiful

An outstanding #SIR26TOR meeting! Congratulations to our trainees & faculty on their presentations, research, and awards 👏👏👏 @SIRspecialists @SIRRFS #IRad #VIR #interventional #symposium #medical @RushMedical


Podcast: @NIH Supported #IRad Study Shows Benefits of Endovascular Therapy for Reducing Severity of Post-Thrombotic Syndrome diagnosticimaging.com/view/reading-r… @RadiologyACR @SIRspecialists @RSNA @UCSF_IR @uclaVIR @RadiologyUSC @Stanford_IR @UWRadiology @UofUIR @OHSURadiology #radiology

Dx_imaging's tweet image. Podcast: @NIH Supported #IRad Study Shows Benefits of Endovascular Therapy for Reducing Severity of Post-Thrombotic Syndrome
diagnosticimaging.com/view/reading-r…
@RadiologyACR @SIRspecialists @RSNA @UCSF_IR @uclaVIR @RadiologyUSC @Stanford_IR @UWRadiology @UofUIR @OHSURadiology 
#radiology

Type II end-leak with expanding, 6.8cm sac. IMA had previously been embolized. Lumbar inflow-outflow confirmed with CTA and treated with selective bilateral embolization using Obsidio liquid. #iRad

AustinBourgeois's tweet image. Type II end-leak with expanding, 6.8cm sac.  IMA had previously been embolized.   Lumbar inflow-outflow confirmed with CTA and treated with selective bilateral embolization using Obsidio liquid.   #iRad
AustinBourgeois's tweet image. Type II end-leak with expanding, 6.8cm sac.  IMA had previously been embolized.   Lumbar inflow-outflow confirmed with CTA and treated with selective bilateral embolization using Obsidio liquid.   #iRad
AustinBourgeois's tweet image. Type II end-leak with expanding, 6.8cm sac.  IMA had previously been embolized.   Lumbar inflow-outflow confirmed with CTA and treated with selective bilateral embolization using Obsidio liquid.   #iRad
AustinBourgeois's tweet image. Type II end-leak with expanding, 6.8cm sac.  IMA had previously been embolized.   Lumbar inflow-outflow confirmed with CTA and treated with selective bilateral embolization using Obsidio liquid.   #iRad

On #WorldLiverDay, we’re highlighting a selection of articles from CVIR Oncology that dive into the topic of image-guided and minimally invasive interventional techniques for cancer treatment. Explore the collection: cvironcology.org/for-readers/li… #InterventionalOncology #IRad

cvironco's tweet image. On #WorldLiverDay, we’re highlighting a selection of articles from CVIR Oncology that dive into the topic of image-guided and minimally invasive interventional techniques for cancer treatment.

Explore the collection: cvironcology.org/for-readers/li…

#InterventionalOncology #IRad

#sundayread This paper dives deep into real-world clinical experience with Obsidio Conformable Embolic link.springer.com/article/10.118… #IRad #interventionalradiology

cvirendo's tweet image. #sundayread

This paper dives deep into real-world clinical experience with Obsidio Conformable Embolic

link.springer.com/article/10.118…

#IRad #interventionalradiology

Let’s go #Irad didn’t go there for nothing ⁦@OaklawnRacing⁩ ⁦@SaffieJosephJr#monmouthpark

drepayday75's tweet image. Let’s go #Irad didn’t go there for nothing ⁦@OaklawnRacing⁩ ⁦@SaffieJosephJr⁩ #monmouthpark

Podcast: @NIH Supported #IRad Study Shows Benefits of Endovascular Therapy for Reducing Severity of Post-Thrombotic Syndrome diagnosticimaging.com/view/reading-r… @RadiologyACR @ARRS_Radiology @RSNA @SIRspecialists @DukeIR @EmoryIRad @UVA_IR @Penn_IR @OSURadiology @WashUMedMIR #radiology

Dx_imaging's tweet image. Podcast: @NIH Supported #IRad Study Shows Benefits of Endovascular Therapy for Reducing Severity of Post-Thrombotic Syndrome
diagnosticimaging.com/view/reading-r…
@RadiologyACR @ARRS_Radiology @RSNA @SIRspecialists @DukeIR @EmoryIRad @UVA_IR @Penn_IR @OSURadiology @WashUMedMIR 
#radiology

How to remove stuck perclose, must watch for 1:2-3000 scenarios #Cardiotwitter #IRAD Outstanding video by Mike!

A back table illustration of the technique published by @PCRonline to remove a stuck perclose footplate in the vessel! Simple and I believe can get us out of trouble! pcronline.com/Cases-resource… #CardioX peeps, comments welcome



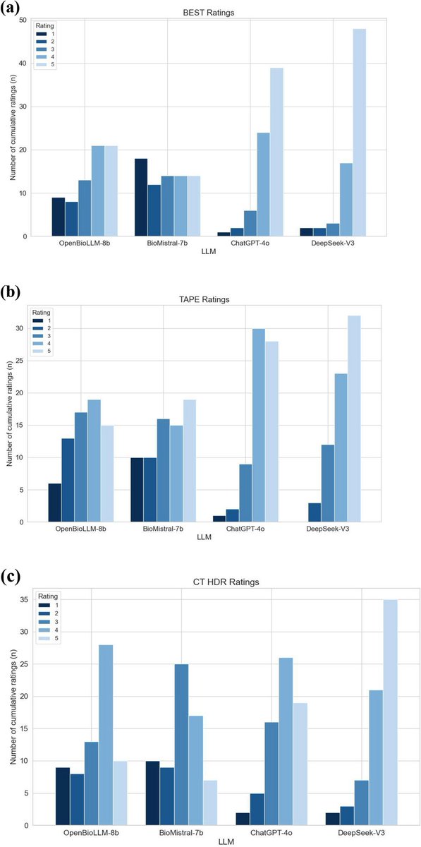
This article focuses on large language models for patient education prior to interventional radiology procedures: a comparative study link.springer.com/article/10.118… #IRad #interventionalradiology

cvirendo's tweet image. This article focuses on large language models for patient education prior to interventional radiology procedures: a comparative study

link.springer.com/article/10.118…

#IRad #interventionalradiology

No results for "#irad"
Loading...

Something went wrong.


Something went wrong.