
BJS Open
@BjsOpen
BJS Open is an #openaccess journal from @bjsurgery foundation and @BJSAcademy, featuring high-quality #surgicalresearch, Impact Factor of 4.5 (2024)
Vous pourriez aimer
Clinical impact of double-faecal immunochemical testing following implementation into standard triage and investigation of primary care referrals in patients with lower gastrointestinal symptoms ➡️doi.org/10.1093/bjsope… A double-faecal immunochemical testing pathway was…

😷#RCT:Comparison of postoperative analgesic effects of ultrasound-guided intercostal nerve block and transversus abdominis plane block in patients undergoing laparoscopic cholecystectomy: randomized clinical trial ➡️ buff.ly/wCJFR94 🏥Analgesia requirement was lower…
Task sharing in elective inguinal hernia surgery in Ghana: a workforcemodel comparing surgeons and physicians ➡️doi.org/10.1093/bjs/zn… 🇬🇭 Over one million inguinal hernias in Ghana went untreated between 2012–2022 due to limited surgical capacity. 👨🏾⚕️ A decision-analytic model…

😷#RCT: Immediate versus early urinary catheter removal after gastrectomy under enhanced recovery after surgery protocols: randomized clinical trial ➡️buff.ly/NpXVEi7 🏥In this study that included 181 procedures, immediate catheter removal improved postoperative comfort…
Single and double faecal immunochemical test strategies are effective in risk stratification for patients with symptoms of per rectal bleeding suggestive of colorectal cancer ➡️doi.org/10.1093/bjsope… Faecal immunochemical testing (FIT) is effective in detecting colorectal…

🏥 Perineal reconstruction for advanced pelvic malignancies ➡️ buff.ly/nFGpgNU 🗨️ Different flaps have different advantages and complication profiles; tailor reconstructions according to individual patient needs and wishes. - @GormsenJohanne @bjsurgery…

Oncological impact of unexpected horizontal tumour spread in oesophagogastric junction cancer ➡️doi.org/10.1093/bjsope… Unexpected horizontal tumour spread, proximally and distally, significantly predicts poor survival and recurrence in oesophagogastric junction cancer.…

Prophylactic antibiotics in hand trauma surgery: a network meta-analysis ➡️ doi.org/10.1093/bjs/zn… Across 13 RCTs, 2 non-randomized studies, and 3898 participants, prophylactic antibiotics did not significantly reduce surgical site infection risk in hand and wrist trauma…

🏥 Ethicolegal issues of innovation in endocrine surgery 📽️buff.ly/gfYDVfd Quan-Yang Duh presents his BJS Lecture from the 2025 European Society of Endocrine Surgeons 11th Biennial Congress. #endocrine @BJSurgery @BJSOpen #surgery

Postoperative complications in Hartmann’s procedure versus intersphincteric abdominoperineal excision in rectal cancer: randomized clinical trial (HAPIrect) ➡️doi.org/10.1093/bjsope… Both Hartmann’s procedure and intersphincteric abdominoperineal excision are viable surgical…

😷#RCT:Comparison of catheter wound infusion, intrathecal morphine, and intravenous analgesia for postoperative pain management in open liver resection: randomized clinical trial ➡️ buff.ly/YWxLn0K 🏥In this study of 186 patients where thoracic epidural was not used,…

Evaluating normothermic artery bypass and visceral-anastomosis-first strategy in thoracoabdominal aortic aneurysm repair: propensity-weighted analysis ➡️doi.org/10.1093/bjsope… The treatment of thoracoabdominal aortic aneurysm through open surgery is still an important method…

Impact of postoperative complications and type 2 diabetes on #BreastCancer recurrence and mortality ➡️ doi.org/10.1093/bjs/zn… 📊 Population-based cohort study (58,198 women, Denmark, 1996–2017) 🎯 Objective: Assess if postoperative complications after breast cancer surgery…

Advancing hepatic augmentation for safer hepatic surgery: insights into portal and hepatic vein embolization strategies ➡️doi.org/10.1093/bjs/zn… 🏥 Evolution from PVL → combined embolization marks major progress in liver surgery & understanding of regeneration - Goal of…
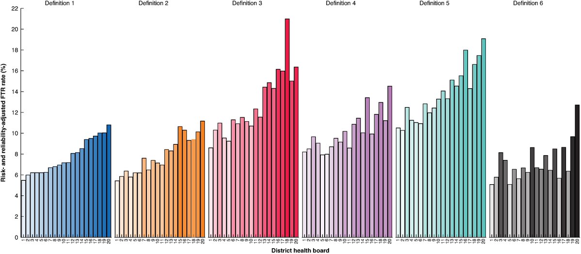
Definition of failure to rescue in gastrointestinal and hepatobiliary cancer surgery: national cohort study ➡️doi.org/10.1093/bjsope… This national cohort study examined how different definitions of failure to rescue (FTR) affect reported rates and hospital rankings after major…

🏆ARTICLE OF THE MONTH: Decision paralysis ➡️bjsacademy.com/bjs-academy/su… "Yet there is a paradox. We know so much about how doctors make decisions. And we know how crucial decision-making is in successful clinical practice. But decision-making is at an all-time low. Decision…

Management and risk factors for colonic volvulus: retrospective national cohort study ➡️doi.org/10.1093/bjsope… Surgery should be recommended for colonic volvulus where co-morbidity, patient preference, and functional status allows. Surgically unfit patients have poorer…

Recurrence rate and mesh bulging are reduced with primary fascial closure in ventral hernia repair: the PROSECO randomized clinical trial ➡️doi.org/10.1093/bjs/zn… 🔍 RCT in midline hernia repair: Fascial closure vs bridging during laparoscopic IPOM 📊 No overall difference in…

Implementation of guideline recommendations in coloanal anastomosis: results from the Tender Loving Care in Coloanal Anastomosis survey ➡️doi.org/10.1093/bjsope… The authors performed a survey to assess how well published guideline recommendations for coloanal anastomosis are…

🔖 Cultivating excellence: a fireside chat ➡️ buff.ly/v3TjtiH Ellen Petry Leanse in conversation with Dr Rebecca Kraus for the BJS Lecture at the 2025 Swiss Society of Surgery's annual meeting. @bjsurgery @bjsopen #surgery #career

United States Tendances
- 1. Auburn 46K posts
- 2. Brewers 65.4K posts
- 3. At GiveRep N/A
- 4. Cubs 56.5K posts
- 5. Georgia 68.1K posts
- 6. Gilligan 6,135 posts
- 7. Utah 25.3K posts
- 8. #byucpl N/A
- 9. #SEVENTEEN_NEW_IN_TACOMA 32.5K posts
- 10. Kirby 24.2K posts
- 11. Arizona 41.8K posts
- 12. Wordle 1,576 X N/A
- 13. MACROHARD 3,585 posts
- 14. #AcexRedbull 4,200 posts
- 15. Michigan 63K posts
- 16. #Toonami 2,988 posts
- 17. #BYUFootball 1,019 posts
- 18. Boots 50.7K posts
- 19. Hugh Freeze 3,276 posts
- 20. mingyu 88.3K posts
Vous pourriez aimer
-
JAMA Surgery
@JAMASurgery -
World Journal of Surgery
@WorldJSurg -
BJS
@BJSurgery -
SURGERY Journal
@SurgJournal -
AmJSurgery
@AmJSurgery -
Journal of the American College of Surgeons (JACS)
@acsJACS -
JOGS
@JournalofGISurg -
Annals of Surgery
@AnnalsofSurgery -
Colorectal Disease
@ColorectalDis -
SoMe4Surgery
@me4_so -
Steven D Wexner MD, PhD
@SWexner -
Techniques in Coloproctology Journal
@TechColoproctol -
BJS Academy
@BJSAcademy -
Journal of Surgical Research
@JSurgRes -
Annals of Surgical Oncology
@AnnSurgOncol
Something went wrong.
Something went wrong.