Cantor’s Paradise
@Cantor_Paradise
The #1 Math Publication on @Medium
おすすめツイート
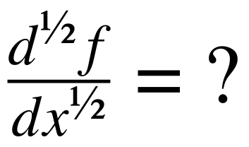
In a 1695 letter, l’Hopital asked Leibniz about the possibility that n could be something other than an integer, such as n=1/2. Leibniz responded that “It will lead to a paradox, from which one day useful consequences will be drawn.” ift.tt/xXta0AF
Popularized in the Academy Award-winning movie A Beautiful Mind, the Nash equilibrium is a solution concept for n-person games ift.tt/0GTwzZy
From GPS navigation to network-layer link-state routing, Dijkstra’s Algorithm powers some of the most taken-for-granted modern services ift.tt/A1UFQP8
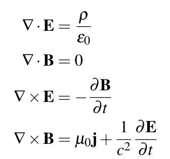
Maxwell's equations are a set of partial differential equations at the foundation of classical electromagnetism, optics, and electric circuits. ift.tt/73wTbpR
"There’s a certain importance to prime numbers’ status as the most fundamental building blocks of all numbers, which are themselves the building blocks of our understanding of the universe." - @setzeus ift.tt/eiTjfoL
If asset prices in the short term show an identifiable pattern, won’t speculators find this pattern and exploit it, thereby eliminating it? ift.tt/AY27jPa
"How to differentiate parameters under the integral sign — it’s a certain operation. It turns out that’s not taught very much in the universities; they don’t emphasize it." - @ProfFeynman ift.tt/pvTiSUB
«You don’t understand “ordinary people”. To you they are “stupid fools”. » - @ProfFeynman ift.tt/5emE1BG
How could adding integers equal not only a negative number, but a negative fraction? ift.tt/9GiprdH
"I remember once going to see him when he was ill at Putney. I had ridden in taxi cab number 1729 and remarked that the number seemed to me rather a dull one, and that I hoped it was not an unfavorable omen. “No,” Ramanujan replied" ift.tt/NArRexo
The mathematics of that infamous scene from HBO's hit TV-show "Silicon Valley": ift.tt/8eWhzk5 @SiliconHBO
United States トレンド
- 1. Caleb Love 2,764 posts
- 2. Mamdani 461K posts
- 3. Sengun 8,639 posts
- 4. Marjorie Taylor Greene 69.9K posts
- 5. Reed Sheppard 3,779 posts
- 6. Norvell 3,535 posts
- 7. Suns 20.1K posts
- 8. Collin Gillespie 3,937 posts
- 9. Lando 46.6K posts
- 10. Morgan Geekie N/A
- 11. UNLV 2,222 posts
- 12. #SmackDown 46.7K posts
- 13. Rockets 16.8K posts
- 14. Blazers 3,977 posts
- 15. Florida State 10.9K posts
- 16. Kerr 5,051 posts
- 17. Wolves 16.7K posts
- 18. #LasVegasGP 72K posts
- 19. The View 98.3K posts
- 20. NC State 5,915 posts
おすすめツイート
-
Physics In History
@PhysInHistory -
Fermat's Library
@fermatslibrary -
Privatdozent
@dozentprivat -
Quanta Magazine
@QuantaMagazine -
Analysis Fact
@AnalysisFact -
Superconformal Hassaan
@Hassaan_PHY -
Algebra Etc.
@AlgebraFact -
Differential Eqns
@diff_eq -
Isaac Newton Institute
@NewtonInstitute -
Steven Strogatz
@stevenstrogatz -
Quantum Physics Corner
@quant_phys -
Topology Fact
@TopologyFact -
MathType
@MathType -
Oxford Mathematics
@OxUniMaths -
Some theorems
@CihanPostsThms
Something went wrong.
Something went wrong.