DanWestervelt's profile picture. On an investment team allocating to absolute return strategies across the liquidity spectrum. Previously family office for legendary investor. Views are my own.

Dan Westervelt

@DanWestervelt

On an investment team allocating to absolute return strategies across the liquidity spectrum. Previously family office for legendary investor. Views are my own.

Dan Westervelt reposted

Apparently there were cuneiform spreadsheets Truly nothing new under the sun lol

mattparlmer's tweet image. Apparently there were cuneiform spreadsheets

Truly nothing new under the sun lol

That wonderful feeling when the hotel’s direct currency conversion rate is far and favorably out of date. 👌


Dan Westervelt reposted

Some final points: 1. There is value in Tail Risk Hedging. It increases the growth rate of a fund, and limits the damage of its worst-case scenario. 2. ...and it can increase its Sharpe as well, although that is not an essential feature. 19/


Dan Westervelt reposted

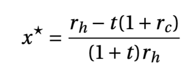
And the solution is below. Let us consider monthly rollovers. And let us assume that a r_c=-40% drawdown occurs about every 10 years, to t = 120. We buy 10% OOM puts. The optimal hedging is x^*=0.38%. 12/

__paleologo's tweet image. And the solution is below. Let us consider monthly rollovers. And let us assume that a r_c=-40% drawdown occurs about every 10 years, to t = 120. We buy 10% OOM puts.  The optimal hedging is x^*=0.38%.

12/

Dan Westervelt reposted

Happy 88th birthday, Thomas Pynchon! Looking forward to adding Shadow Ticket to this shelf.

TheUntranslated's tweet image. Happy 88th birthday, Thomas Pynchon! 

Looking forward to adding Shadow Ticket to this shelf.

Dan Westervelt reposted

The joy of reading fiction is finding out that your most personal feelings and fears aren't personal at all, but universal. Many have walked this road. It's like how C. S. Lewis described the beginning of true friendship, a feeling of "What? You too? I thought I was the only one"


Dan Westervelt reposted

Yes solar, but 👀 storage

skorusARK's tweet image. Yes solar, but 👀 storage

Dan Westervelt reposted

In investing, one has to be able to endure the reds to enjoy the greens.

EugeneNg's tweet image. In investing, one has to be able to endure the reds to enjoy the greens.

Dan Westervelt reposted

I think about this daily. Life’s work. Ikigai.

harleyf's tweet image. I think about this daily. 

Life’s work. Ikigai.

Dan Westervelt reposted

Inflation came in below expectations but still a touch on the high side. Core CPI annual rate: 1 month: 2.7% 3 months: 3.3% 6 months: 3.2% 12 months: 3.2%

jasonfurman's tweet image. Inflation came in below expectations but still a touch on the high side.

Core CPI annual rate:
1 month: 2.7%
3 months: 3.3%
6 months: 3.2%
12 months: 3.2%

Charlie Munger in 1996:

DanWestervelt's tweet image. Charlie Munger in 1996:

Dan Westervelt reposted

Some misinformation in today's US presidential debate about who bears the cost of tariffs. So let's talk about how tariffs affect what you pay for a suit. 🧵

dieworkwear's tweet image. Some misinformation in today's US presidential debate about who bears the cost of tariffs. So let's talk about how tariffs affect what you pay for a suit. 🧵

Dan Westervelt reposted

If you change your mind too frequently, it suggests that you do not think carefully and responsibly before formulating an opinion & don't know when to remain silent or neutral. If you never change your mind on anything, it indicates that you are an intellectually dishonest.


Dan Westervelt reposted

Warren Buffett loves share cannibals. "The math isn't complicated. When the share count goes down, your interest in the businesses goes up. Every small bit helps if repurchases are made at value-accretive prices". 1/ We wanted to put them to the test in a model portfolio 👇

KoyfinCharts's tweet image. Warren Buffett loves share cannibals.

"The math isn't complicated. When the share count goes down, your interest in the businesses goes up. Every small bit helps if repurchases are made at value-accretive prices".

1/ We wanted to put them to the test in a model portfolio 👇

Dan Westervelt reposted

Austrian bond holders at the BFTP facility


Loading...

Something went wrong.


Something went wrong.