DemocraticDebo's profile picture. @democraticdebo@union.place She/her. Elected member for AD42, SBC Dem Party. Appt Delegate to the CDP. Naturalized 🇺🇸 Vote 🗳 #BLM #Justice💉😷 🏳️‍🌈🏳️‍⚧️

Deborah Dunaway ☮️

@DemocraticDebo

@[email protected] She/her. Elected member for AD42, SBC Dem Party. Appt Delegate to the CDP. Naturalized 🇺🇸 Vote 🗳 #BLM #Justice💉😷 🏳️‍🌈🏳️‍⚧️

this is BAD Call your legislators

Lawmakers have just added a provision to the National Defense Authorization Act protecting Supreme Court spouses from having to reveal any outside employer, in the name of security. If it passes, Ginni Thomas’s professional entanglements would effectively be state secrets.



Deborah Dunaway ☮️ reposted

Stop busting unions and start supporting US workers


Deborah Dunaway ☮️ reposted

Here’s the map the @GOP and the @NRA don’t want you to see.

GavinNewsom's tweet image. Here’s the map the @GOP and the @NRA don’t want you to see.

Deborah Dunaway ☮️ reposted

Private companies with abysmal human rights records continue to rake in billions through the needless detention of immigrants. For-profit immigration detention is cruel and it must end. washingtonpost.com/opinions/2022/…

washingtonpost.com

Opinion | Biden’s pledge to close private migrant prisons remains unfulfilled

A Senate report is a reminder of a pattern of problems at migrant detention centers.


Deborah Dunaway ☮️ reposted

✨ We are hiring! ✨ LCJA is hiring for a variety of jobs based in Fresno, Bakersfield, Coachella, and Merced.  Passionate about storytelling and environmental justice? Join our team as a communications manager!  More details on all open positions at leadershipcounsel.org/contact.

LCJandA's tweet image. ✨ We are hiring! ✨

LCJA is hiring for a variety of jobs based in Fresno, Bakersfield, Coachella, and Merced. 

Passionate about storytelling and environmental justice? Join our team as a communications manager! 

More details on all open positions at leadershipcounsel.org/contact.

Deborah Dunaway ☮️ reposted

FACT-CHECK: TRUE @GOPLeader make sure you read this part 👇🏽🇺🇸 🎯

TheTNHoller's tweet image. FACT-CHECK: TRUE 

@GOPLeader make sure you read this part 👇🏽🇺🇸 🎯

Make sure you read the 14th Amendment, Kev. #Insurrectionist

More performances. I nominate Boebert to read.

RonFilipkowski's tweet image. More performances. I nominate Boebert to read.


Proud to have contributed to both of these campaigns. #VoteBlue

Luck of the draw! By total coincidence, I managed to canvass @ReverendWarnock himself this afternoon while out knocking with @WfpGeorgia I let the Senator know about our race and how hard WFP is working for his re-election. Go vote, GA!

DerekMarshallCA's tweet image. Luck of the draw! By total coincidence, I managed to canvass @ReverendWarnock himself this afternoon while out knocking with @WfpGeorgia I let the Senator know about our race and how hard WFP is working for his re-election. Go vote, GA!


So, how does one go about invoking Section 3 of the 14th Amendment to the Constitution, and declining to swear in the Sedition Caucus? They shouldn’t be there now, they should not have been on the ballot, and they should not form part of the 118th Congress. @AOC @hakeemjeffries

DemocraticDebo's tweet image. So, how does one go about invoking Section 3 of the 14th Amendment to the Constitution, and declining to swear in the Sedition Caucus? They shouldn’t be there now, they should not have been on the ballot, and they should not form part of the 118th Congress. @AOC @hakeemjeffries

Deborah Dunaway ☮️ reposted

The average age of minimum wage workers is 35yo. The average minimum wage worker isn’t a teenager working a part-time job, for extra spending money. That’s just a lie that Small Business Owners (up to 50 workers) tell us to condone them paying workers starvation wages.


Deborah Dunaway ☮️ reposted

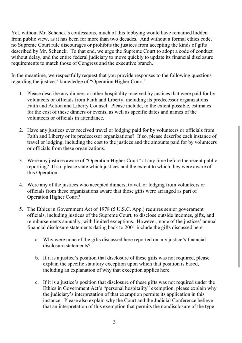
Here’s a letter I sent Roberts asking for inquiries and answers about this group’s wining and dining of selected justices.

SenWhitehouse's tweet image. Here’s a letter I sent Roberts asking for inquiries and answers about this group’s wining and dining of selected justices.
SenWhitehouse's tweet image. Here’s a letter I sent Roberts asking for inquiries and answers about this group’s wining and dining of selected justices.
SenWhitehouse's tweet image. Here’s a letter I sent Roberts asking for inquiries and answers about this group’s wining and dining of selected justices.
SenWhitehouse's tweet image. Here’s a letter I sent Roberts asking for inquiries and answers about this group’s wining and dining of selected justices.

Deborah Dunaway ☮️ reposted

Oil prices have suddenly fallen $10 a barrel since the election. My goodness. What a coincidence! I’m sure no foreign actors were manipulating oil to drive up gas prices and impact our election.

TheRealHoarse's tweet image. Oil prices have suddenly fallen $10 a barrel since the election.

My goodness. What a coincidence! 

I’m sure no foreign actors were manipulating oil to drive up gas prices and impact our election.

Deborah Dunaway ☮️ reposted

The most important thing I learned after Uvalde is that there are over 50,000 school police officers in this country, but they haven't stopped even one school shooting. Instead they've arrested over 1 million kids, mostly students of color.

"Don't make a wrong move," an officer said as he pinned a struggling second-grader to the ground, ultimately for 38 minutes. "Period." cbsn.ws/3E6QwvT



Deborah Dunaway ☮️ reposted

Today seems like a good time to remind you that Section 3 of the 14th Amendment bars anyone from holding office who has “engaged in insurrection” against the United States of America.


Deborah Dunaway ☮️ reposted

The first illegal immigrants arrived from Europe via a boat. Agree?

LakotaMan1's tweet image. The first illegal immigrants arrived from Europe via a boat. Agree?

Deborah Dunaway ☮️ reposted

In audio reviewed by ProPublica, Tennessee lawmakers and anti-abortion lobbyists discuss monitoring doctors who provide abortions and suggested IVF and contraception could be further regulated in a few years’ time. propub.li/3tPYzJ3


Loading...

Something went wrong.


Something went wrong.