ExSciGuide's profile picture. Turn your passion for movement science into a career. Explore career pathways in fitness and healthcare. Founded by Chris Collora, M.S.

Exercise Science

@ExSciGuide

Turn your passion for movement science into a career. Explore career pathways in fitness and healthcare. Founded by Chris Collora, M.S.

You might like
Exercise Science reposted

What do professional cyclists eat? @jamesymorton bit.ly/2qciuBh

iocdipspnut's tweet image. What do professional cyclists eat? @jamesymorton bit.ly/2qciuBh

Exercise Science reposted

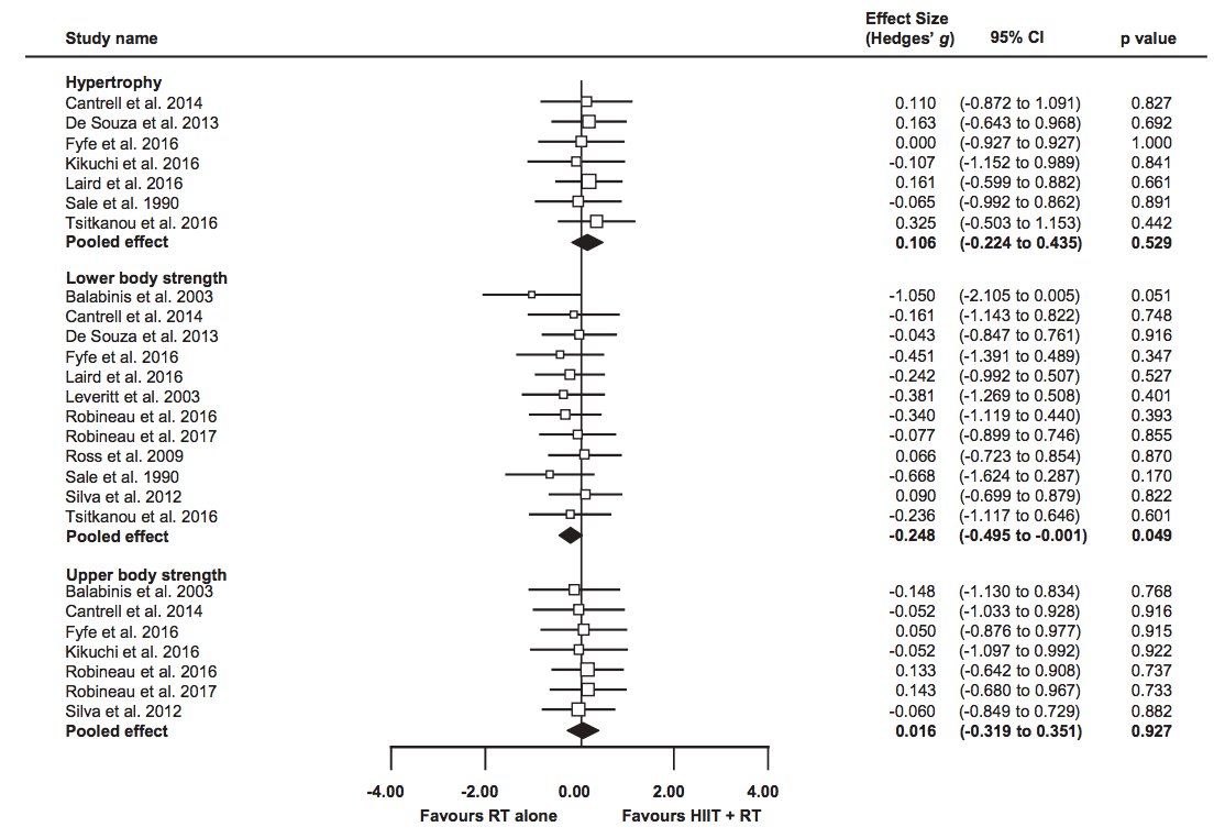
Meta analysis suggests limit effect of concurrent HIIT & RT on hypertrophy or strength, and any possible negative effects may be ameliorated with longer inter-modal rest periods buff.ly/2KqvcVG

BlueSpotScience's tweet image. Meta analysis suggests limit effect of concurrent HIIT & RT on hypertrophy or strength, and any possible negative effects may be ameliorated with longer inter-modal rest periods
buff.ly/2KqvcVG

Exercise Science reposted

☝🏻Be careful when you only read conclusions…the same dataset can lead to different interpretations! 😵 📍 ow.ly/unVV30jnEtk

YLMSportScience's tweet image. ☝🏻Be careful when you only read conclusions…the same dataset can lead to different interpretations! 😵
 📍 ow.ly/unVV30jnEtk

Exercise Science reposted

💡🎯 Resistance training methods: bodyweight exercises, machine-based exercises, weightlifting derivatives, plyometrics, eccentric training, kettlebell training, etc. Which ones for: 💪🏻 Hypertrophy❓ ⚡️ Power❓ 🏋🏻 Strength❓ 📍ow.ly/S6VP30j9Bt2

YLMSportScience's tweet image. 💡🎯 Resistance training methods: bodyweight exercises, machine-based exercises, weightlifting derivatives, plyometrics, eccentric training, kettlebell training, etc. Which ones for:
 💪🏻 Hypertrophy❓
 ⚡️ Power❓
 🏋🏻 Strength❓ 
 📍ow.ly/S6VP30j9Bt2

Exercise Science reposted

#New 🍴💡📊 Endurance sports: Fuel for the work required 🎯 👉🏻 A practical example: 🚵🏻‍♂️🏊🏻‍♂️👟 To maximize training adaptations 🏆 To improve endurance performance 💨ylmsportscience.com/2018/03/26/fue…

YLMSportScience's tweet image. #New 🍴💡📊 Endurance sports: Fuel for the work required 🎯
👉🏻 A practical example:
 🚵🏻‍♂️🏊🏻‍♂️👟 To maximize training adaptations 
🏆 To improve endurance performance 💨ylmsportscience.com/2018/03/26/fue…

Exercise Science reposted

🍴💡Higher Protein during Severe Caloric Restriction Promotes Lean Mass Gain & Fat Mass Loss 💪🏻 📍 ow.ly/bj4I30iKMyt

YLMSportScience's tweet image. 🍴💡Higher Protein during Severe Caloric Restriction Promotes Lean Mass Gain & Fat Mass Loss 💪🏻
 📍 ow.ly/bj4I30iKMyt

Exercise Science reposted

FREE DOWNLOAD: A Step Towards Personalized Sports Nutrition: Carbohydrate Intake During Exercise bit.ly/1DA9jcL @SportsMedicineJ

Jeukendrup's tweet image. FREE DOWNLOAD: A Step Towards Personalized Sports Nutrition: Carbohydrate Intake During Exercise 
bit.ly/1DA9jcL @SportsMedicineJ

Exercise Science reposted

For anyone interested in circadian rhythms, clock genes, & exercise This review by @kaesser is a great starting point buff.ly/2EXxf0m

BlueSpotScience's tweet image. For anyone interested in circadian rhythms, clock genes, & exercise
This review by @kaesser is a great starting point

buff.ly/2EXxf0m
BlueSpotScience's tweet image. For anyone interested in circadian rhythms, clock genes, & exercise
This review by @kaesser is a great starting point

buff.ly/2EXxf0m

Exercise Science reposted

Absorption of carbohydrates


Exercise Science reposted

How the right "dose" of exercise can reverse aging-related heart damage buff.ly/2m9wSrc "Right dose" suggested as 1 high-intensity aerobic, 1 or 2 strength, & 1 or 2 moderately intense sessions involving only becoming a "little short of breath." buff.ly/2qPrWxs

BlueSpotScience's tweet image. How the right "dose" of exercise can reverse aging-related heart damage buff.ly/2m9wSrc

"Right dose" suggested as 1 high-intensity aerobic, 1 or 2 strength, & 1 or 2 moderately intense sessions involving only becoming a "little short of breath." buff.ly/2qPrWxs
BlueSpotScience's tweet image. How the right "dose" of exercise can reverse aging-related heart damage buff.ly/2m9wSrc

"Right dose" suggested as 1 high-intensity aerobic, 1 or 2 strength, & 1 or 2 moderately intense sessions involving only becoming a "little short of breath." buff.ly/2qPrWxs

Exercise Science reposted

ACSMNews: RT TheTodayShow: .Amelia_Phillips is here to talk 2018 fitness trends, giving us plenty of time to prepa…


Exercise Science reposted

Results from ACSM's Worldwide Survey of Fitness Trends are now available! See what made the list for 2018: tinyurl.com/2018Trends

HFJonline's tweet image. Results from ACSM's Worldwide Survey of Fitness Trends are now available! See what made the list for 2018: tinyurl.com/2018Trends

Exercise Science reposted

Exercise science students: these are what you SHOULD be getting to be a well rounded clinical ex phys candidate. #MWACSM

uakron_sens's tweet image. Exercise science students: these are what you SHOULD be getting to be a well rounded clinical ex phys candidate. #MWACSM
uakron_sens's tweet image. Exercise science students: these are what you SHOULD be getting to be a well rounded clinical ex phys candidate. #MWACSM

Exercise Science reposted

10 things NOT to do if U have lower limb tendon pain ❌ Complete rest ❌ Massage ❌ Ignore pain ❌ Spikes in workload 📍 ow.ly/uRwI30grbGg

YLMSportScience's tweet image. 10 things NOT to do if U have lower limb tendon pain
❌ Complete rest
❌ Massage
❌ Ignore pain
❌ Spikes in workload
📍 ow.ly/uRwI30grbGg

Exercise Science reposted

#New 🍴🍗 International Society of Sports Nutrition Position Stand: All you need to know about Protein & Exercise 👍🏻💪🏻 ✅ Daily intake ✅ Type ✅ Timing ✅ Etc. ylmsportscience.com/2017/11/07/int…

YLMSportScience's tweet image. #New 🍴🍗 International Society of Sports Nutrition Position Stand: All you need to know about Protein & Exercise 👍🏻💪🏻
✅ Daily intake
✅ Type
✅ Timing
✅ Etc.
ylmsportscience.com/2017/11/07/int…
YLMSportScience's tweet image. #New 🍴🍗 International Society of Sports Nutrition Position Stand: All you need to know about Protein & Exercise 👍🏻💪🏻
✅ Daily intake
✅ Type
✅ Timing
✅ Etc.
ylmsportscience.com/2017/11/07/int…

Exercise Science reposted

Always lots of debate about lab- VS field-based sport science research. I prefer 'Pasteur's Quadrant' by Stokes - Research ideas that can be applied AND have a strong scientific foundation. via @dancbilling

BlueSpotScience's tweet image. Always lots of debate about lab- VS field-based sport science research.

I prefer 'Pasteur's Quadrant' by Stokes - Research ideas that can be applied AND have a strong scientific foundation.

via @dancbilling

Exercise Science reposted

Online first: #Caffeine ingestion enhances Wingate #performance: a meta-analysis dx.doi.org/10.1080/174613… #exercise #nutrition #performance

EurJSportSci's tweet image. Online first: #Caffeine ingestion enhances Wingate #performance: a meta-analysis dx.doi.org/10.1080/174613… #exercise #nutrition #performance

Exercise Science reposted

Large epidemiological study suggests strength training more important than aerobic training to reduce risk of cancer buff.ly/2xNydbE

BlueSpotScience's tweet image. Large epidemiological study suggests strength training more important than aerobic training to reduce risk of cancer
buff.ly/2xNydbE

Exercise Science reposted

How much protein do I need to eat to build muscle? @mackinprof bit.ly/2ziYzTx

Jeukendrup's tweet image. How much protein do I need to eat to build muscle? @mackinprof bit.ly/2ziYzTx

Exercise Science reposted

Meta-analysis suggests HIIT more effective than continuous exercise at preventing & managing Type 2 Diabetes buff.ly/2jzalpQ


United States Trends

Loading...

Something went wrong.


Something went wrong.