Infinity0Equity's profile picture. 팔란티어(pltr), 깅코(DNA), 온다스(ONDS), 레드와이어(RDW)투자자

Infinity Equity

@Infinity0Equity

팔란티어(pltr), 깅코(DNA), 온다스(ONDS), 레드와이어(RDW)투자자

Épinglé

공상 좋아하는 방구석 아재 단편적인 조각들을 이어붙여 나만의 그림을 만들어내는 걸 즐깁니다. 가장 짜릿한 순간은, 머릿속에만 있던 상상이 현실로 등장할 때. 이게 즐거워 투자를 합니다. 제 공상이 누군가에겐 즐겁고, 유용하고, 가끔은 쓸모 있길 바라며 글 씁니다. 다른 분의 공상도…


“11월 21일 금요일, 국토안보부가 대응 무인항공시스템(Counter UAS) RFP를 발표했습니다. 이 프로그램을 통해 전체 기관을 포괄하는 15억 달러 규모의 계약 수주가 제공됩니다. 제안서는 12월 8일까지 제출해야 하며, 수주는 그 직후 곧 이루어질 예정입니다.”

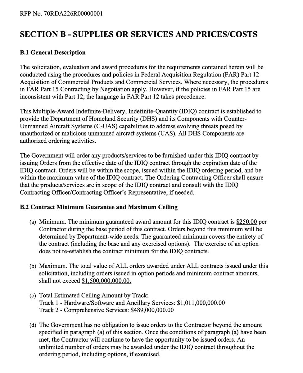
On Friday 11/21, the Department of Homeland Security released its Counter UAS RFP. There is $1.5B of contract awards being made available under this program to cover the entire agency. Offers are due December 8 with awards to come soon thereafter. CC @CeoOndas and the $ONDS…

ive_m5's tweet image. On Friday 11/21, the Department of Homeland Security released its Counter UAS RFP.  There is $1.5B of contract awards being made available under this program to cover the entire agency. Offers are due December 8 with awards to come soon thereafter.  

CC @CeoOndas and the $ONDS…
ive_m5's tweet image. On Friday 11/21, the Department of Homeland Security released its Counter UAS RFP.  There is $1.5B of contract awards being made available under this program to cover the entire agency. Offers are due December 8 with awards to come soon thereafter.  

CC @CeoOndas and the $ONDS…


분명한 힌트…

투자를 하다 보면 분명 여러 가지 힌트들이 보이는데, 심지어 그 힌트들을 인지하고도 바보처럼 그냥 넘어갈 때가 있었다. 개인적으론 $HOOD 랑 $SOFI 가 그랬다. 회사가 폭발적 성장을 앞두고 경영진들이 확신에 차 있었으며, 심지어 소파이 같은 경우는 주가가 떨어질 때마다 CEO가 폭풍 내부자…



단기 반등이니깐 눈치껏 하라는거구나…🥶

그.. 윌리엄아저씨 덕분에 파티분위긴데 눈치 없이 죄송합니다만.. 궁금하잖아요. 모두가 연말 계절성을 보고 바이더딥하니까. 그래서 계절성데이터를 뽑아봤거든요.. 조건 재선대통령 / 집권1년차(중간선거 전) / 지지율 40% 이하 결론은 말 안할게요. 부디 무사하시길.



Infinity Equity a reposté

나도 이제 포엣 투자자다🔥🔥 팔란티어… 아이온큐… 1자리 단가일 때 못 들어왔지만 Poet은 놓치지 말아야지

6Gd8y4kdQ1HFzxd's tweet image. 나도 이제 포엣 투자자다🔥🔥

팔란티어… 아이온큐… 1자리 단가일 때 못 들어왔지만

Poet은 놓치지 말아야지

Infinity Equity a reposté

이더리움은 정말 미스테리한 구간이긴함. 트럼프일가를 포함. 피터틸. 톰리. 캐시우드. 블랙락 등. 올해 엄청난 펌핑이 있었는데. 이게 그 전으로 돌아 간다고? 말이 안됨. 비트코인은 1) 사이클 종료, 2) 스테이블코인이 각광 받으며 통화 교환 수단 가치 감소로 빠질수도 있다고 쳐도.…

yhpkorea2005's tweet image. 이더리움은 정말 미스테리한 구간이긴함.

트럼프일가를 포함. 피터틸. 톰리. 캐시우드. 블랙락 등. 올해 엄청난 펌핑이 있었는데. 

이게 그 전으로 돌아 간다고? 말이 안됨.

비트코인은 1) 사이클 종료, 2) 스테이블코인이 각광 받으며 통화 교환 수단 가치 감소로 빠질수도 있다고 쳐도.…

아주 간단히 말하면 “암트랙이 기존 철도 안전 시스템(ACSES II)의 핵심 통신장비를 교체하겠다고, FRA(연방철도청)에게 공식적으로 승인 요청한 문서” 이건 Ondas의 철도 통신 사업과 직접 연결되는 굉장히 중요한 내용이다. ⸻ 1. 사진 내용의 핵심 요지 두 장의 문서는 하나의 사실을 말한다…

Infinity0Equity's tweet image. 아주 간단히 말하면 “암트랙이 기존 철도 안전 시스템(ACSES II)의 핵심 통신장비를 교체하겠다고, FRA(연방철도청)에게 공식적으로 승인 요청한 문서”

이건 Ondas의 철도 통신 사업과 직접 연결되는 굉장히 중요한 내용이다.

⸻

1. 사진 내용의 핵심 요지

두 장의 문서는 하나의 사실을 말한다…
Infinity0Equity's tweet image. 아주 간단히 말하면 “암트랙이 기존 철도 안전 시스템(ACSES II)의 핵심 통신장비를 교체하겠다고, FRA(연방철도청)에게 공식적으로 승인 요청한 문서”

이건 Ondas의 철도 통신 사업과 직접 연결되는 굉장히 중요한 내용이다.

⸻

1. 사진 내용의 핵심 요지

두 장의 문서는 하나의 사실을 말한다…

Infinity Equity a reposté

Holy Fuck - I think I just found confirmation of the $ONDS Siemens Airlink radio going into Amtrak for FRA Approval. regulations.gov/document/FRA-2…

ive_m5's tweet image. Holy Fuck - I think I just found confirmation of the $ONDS Siemens Airlink radio going into Amtrak for FRA Approval.  

regulations.gov/document/FRA-2…
ive_m5's tweet image. Holy Fuck - I think I just found confirmation of the $ONDS Siemens Airlink radio going into Amtrak for FRA Approval.  

regulations.gov/document/FRA-2…

Infinity Equity a reposté

VIX가 도대체 뭔가요? 쉽게 말해 '월가 공포 측정기'입니다. 투자자들의 '기분(심리)'이 아니라, 옵션 거래량을 계산한 '수학적 데이터'예요. [기니피기 필살기] VRB 3박자 매매법 이 3가지가 겹치는 날은 1년에 몇 번 안 옵니다. 하지만 그때가 바로 '인생 타점'입니다. 1. VIX (공포지수) 30…

ginipigi0123's tweet image. VIX가 도대체 뭔가요?

쉽게 말해 '월가 공포 측정기'입니다.
투자자들의 '기분(심리)'이 아니라, 옵션 거래량을 계산한 '수학적 데이터'예요.

[기니피기 필살기] VRB 3박자 매매법

이 3가지가 겹치는 날은 1년에 몇 번 안 옵니다. 하지만 그때가 바로 '인생 타점'입니다.

1. VIX (공포지수) 30…
ginipigi0123's tweet image. VIX가 도대체 뭔가요?

쉽게 말해 '월가 공포 측정기'입니다.
투자자들의 '기분(심리)'이 아니라, 옵션 거래량을 계산한 '수학적 데이터'예요.

[기니피기 필살기] VRB 3박자 매매법

이 3가지가 겹치는 날은 1년에 몇 번 안 옵니다. 하지만 그때가 바로 '인생 타점'입니다.

1. VIX (공포지수) 30…
ginipigi0123's tweet image. VIX가 도대체 뭔가요?

쉽게 말해 '월가 공포 측정기'입니다.
투자자들의 '기분(심리)'이 아니라, 옵션 거래량을 계산한 '수학적 데이터'예요.

[기니피기 필살기] VRB 3박자 매매법

이 3가지가 겹치는 날은 1년에 몇 번 안 옵니다. 하지만 그때가 바로 '인생 타점'입니다.

1. VIX (공포지수) 30…
ginipigi0123's tweet image. VIX가 도대체 뭔가요?

쉽게 말해 '월가 공포 측정기'입니다.
투자자들의 '기분(심리)'이 아니라, 옵션 거래량을 계산한 '수학적 데이터'예요.

[기니피기 필살기] VRB 3박자 매매법

이 3가지가 겹치는 날은 1년에 몇 번 안 옵니다. 하지만 그때가 바로 '인생 타점'입니다.

1. VIX (공포지수) 30…

Infinity Equity a reposté

Well would you look at that Palantir CEO Alex Karp files to sell 585,000 shares of $PLTR for $95M

burrytracker's tweet image. Well would you look at that

Palantir CEO Alex Karp files to sell 585,000 shares of $PLTR for $95M

언제까지 널뛰는지 함 보자🤣

Infinity0Equity's tweet image. 언제까지 널뛰는지 함 보자🤣

Infinity Equity a reposté

$PLTR "The Dividing Line" This trend has functioned as longstanding support..and the only previous time it meaningfully deviated, it found a bottom right near the 200 EMA. Very similar setup playing out today with a major bottoming tail being put in off a similar level.

suedetrades's tweet image. $PLTR "The Dividing Line"

This trend has functioned as longstanding support..and the only previous time it meaningfully deviated, it found a bottom right near the 200 EMA.

Very similar setup playing out today with a major bottoming tail being put in off a similar level.

Infinity Equity a reposté

그래도 소형주 위주 상승이 일어난다는 건 시장이 건전해지는 사인 같아서 좋아보임

fourseasonfan's tweet image. 그래도 소형주 위주 상승이 일어난다는 건 시장이 건전해지는 사인 같아서 좋아보임

Infinity Equity a reposté

형들아 이거 중요해 아래글 10번 봐봐 고용이 튼튼하다고 느끼면 금리인하 확률이 낮아지고 달러강세, 엔화약세 나올수 있고 그러면 정부가 개입할꺼라고 했잖아 오늘 BOJ가 아침에 딱 기다리고 있다가 USD/JPY가 160되기전에 개입할수 있다라고 했자나. 뭐가 문제나면 달라피벗이 dxy 100인데…

fivedragontiger's tweet image. 형들아 이거 중요해 

아래글 10번 봐봐
고용이 튼튼하다고 느끼면 금리인하 확률이 낮아지고 달러강세, 엔화약세 나올수 있고
그러면 정부가 개입할꺼라고 했잖아

오늘 BOJ가 아침에 딱 기다리고 있다가
USD/JPY가 160되기전에 개입할수 있다라고 했자나.

뭐가 문제나면 달라피벗이 dxy 100인데…
fivedragontiger's tweet image. 형들아 이거 중요해 

아래글 10번 봐봐
고용이 튼튼하다고 느끼면 금리인하 확률이 낮아지고 달러강세, 엔화약세 나올수 있고
그러면 정부가 개입할꺼라고 했잖아

오늘 BOJ가 아침에 딱 기다리고 있다가
USD/JPY가 160되기전에 개입할수 있다라고 했자나.

뭐가 문제나면 달라피벗이 dxy 100인데…
fivedragontiger's tweet image. 형들아 이거 중요해 

아래글 10번 봐봐
고용이 튼튼하다고 느끼면 금리인하 확률이 낮아지고 달러강세, 엔화약세 나올수 있고
그러면 정부가 개입할꺼라고 했잖아

오늘 BOJ가 아침에 딱 기다리고 있다가
USD/JPY가 160되기전에 개입할수 있다라고 했자나.

뭐가 문제나면 달라피벗이 dxy 100인데…

매우 중요한 질문인데 보통 미일 협력이라고 표현함 하지만 지금 상황은 다름. 아무도 예측할 수 없는 영역임. 1. 미국은 당장 금리인하 확률을 높여야 함. 그럴려면 오늘 고용을 마사지 해서 낮게 나오게 해야함. 그래야 금리가 안정되고, 조달비용을 낮출 수 있음. 2. 오늘 엔비디아 혼자서…



Infinity Equity a reposté

할말은 해야겟는데, 연준의원들 중에 파월은 과거 빅스탭 빅컷 하고 난리쳐서 시장 박살냈던 전적이었는데 비둘기라고 칭찬하고 트럼프도 관세로 협박하고 TACO 오지게 해서 시장올렸고 그거 맞춰서 딥바이 해서 큰돈 벌었던건 자기들 실력이라고 착각들 하고 이렇게 화폐정책 불안한 시기에…

어제 시장 박살낸 리사쿡에 대해 알아보자. 그냥 ㅆ년이다

nyse_min's tweet image. 어제 시장 박살낸 리사쿡에 대해 알아보자.

그냥 ㅆ년이다
nyse_min's tweet image. 어제 시장 박살낸 리사쿡에 대해 알아보자.

그냥 ㅆ년이다


“$PLTR 공동 창업자이자 CEO인 알렉스 카프가 주당 163.99달러에 585,000주(총 95,931,810달러)를 매각하기 위해 신고를 제출했습니다” 시기적으론 좀 아쉽지만… 뭐 하루이틀 일도 아니니🤣 일단 일은 잘 하고 있는거지 카프형?🤝

$PLTR Co-founder and CEO Alex Karp filed to sell 585,000 shares for $95,931,810 ($163.99/share): sec.gov/Archives/edgar…

FilingTracker's tweet image. $PLTR Co-founder and CEO Alex Karp filed to sell 585,000 shares for $95,931,810 ($163.99/share):

sec.gov/Archives/edgar…


Infinity Equity a reposté

Very true


Infinity Equity a reposté

In the case of $ONDS, the orders have already been booked, and they are delivering this Quarter. That revenue will start to be recognized, both for Amtrak and India Railways. Strong words such as "will" are very indicative of what is happening. Head of Train is another animal…

ive_m5's tweet image. In the case of $ONDS, the orders have already been booked, and they are delivering this Quarter. That revenue will start to be recognized, both for Amtrak and India Railways.  Strong words such as "will" are very indicative of what is happening. Head of Train is another animal…
ive_m5's tweet image. In the case of $ONDS, the orders have already been booked, and they are delivering this Quarter. That revenue will start to be recognized, both for Amtrak and India Railways.  Strong words such as "will" are very indicative of what is happening. Head of Train is another animal…

$ONDS Here’s my take on what’s about to go down. What I think is lining up is the cleanest strategic sequence you’ll ever see in a small cap with two asymmetric businesses. One. A Class 1 rail order hits. That single catalyst re-rates the entire Networks business overnight. It…



“$ONDS가 깔끔한 법적 구조로 성장 터보를 밟을 수 있는 녹색 신호등이 켜졌다. 특별 회의 투표 결과가 나왔다. 💭 로켓 연료 탱크 재급유 완료 주주들이 발행 가능 보통주를 4억 주에서 8억 주로 증대하는 것을 승인했다. 투표는 전혀 박빙이 아니었다: 1억 7,800만 주 “찬성”, 단 860만 주…

Green light for $ONDS to hit the growth turbo with a clean legal setup. The special meeting votes are in. 💭 Rocket tank refueled Shareholders approved the increase in authorized common shares from 400M to 800M. The vote wasn’t tight at all: 178M “For”, only 8.6M “Against” and…

bodoxstocks's tweet image. Green light for $ONDS to hit the growth turbo with a clean legal setup. The special meeting votes are in.

💭 Rocket tank refueled

Shareholders approved the increase in authorized common shares from 400M to 800M. The vote wasn’t tight at all:
178M “For”, only 8.6M “Against” and…
bodoxstocks's tweet image. Green light for $ONDS to hit the growth turbo with a clean legal setup. The special meeting votes are in.

💭 Rocket tank refueled

Shareholders approved the increase in authorized common shares from 400M to 800M. The vote wasn’t tight at all:
178M “For”, only 8.6M “Against” and…


ㅋㅋㅋ무빙 진짜😬 사탄들렸어???

Infinity0Equity's tweet image. ㅋㅋㅋ무빙 진짜😬
사탄들렸어???

United States Tendances

Loading...

Something went wrong.


Something went wrong.