JASPStats's profile picture. JASP is an open-source statistics program that is free, friendly, and flexible. Armed with an easy-to-use GUI, JASP allows both classical and Bayesian analyses.

JASP Statistics

@JASPStats

JASP is an open-source statistics program that is free, friendly, and flexible. Armed with an easy-to-use GUI, JASP allows both classical and Bayesian analyses.

Pinned

We are proud of this book. Note the 30% discount for community members! jasp-stats.org/2024/11/21/dis…

JASPStats's tweet image. We are proud of this book. Note the 30% discount for community members!
jasp-stats.org/2024/11/21/dis…

A new blog post! jasp-stats.org/2025/01/16/jas… (this is one of the last JASP announcements on X, since we are switching completely to Bluesky)


JASP Statistics reposted

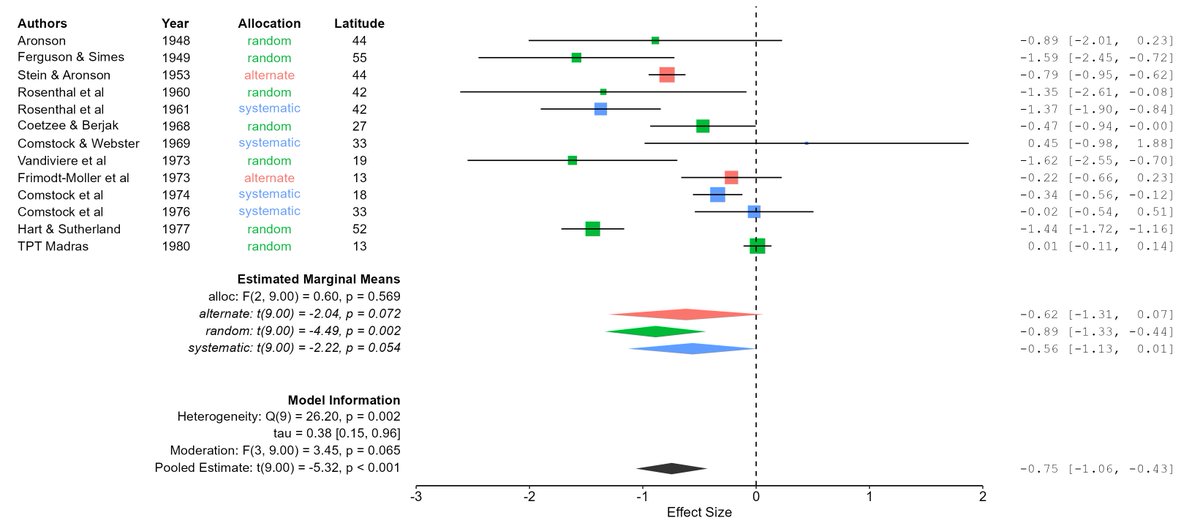
We are in the final phases of preparing a new update of @JASPStats. I'm creating examples for the completely revamped Meta-Analysis module - check out how stunning forest and funnel plots can be created with only a couple of mouse clicks! #metaanalysis

BartosFra's tweet image. We are in the final phases of preparing a new update of @JASPStats. I'm creating examples for the completely revamped Meta-Analysis module - check out how stunning forest and funnel plots can be created with only a couple of mouse clicks!

#metaanalysis
BartosFra's tweet image. We are in the final phases of preparing a new update of @JASPStats. I'm creating examples for the completely revamped Meta-Analysis module - check out how stunning forest and funnel plots can be created with only a couple of mouse clicks!

#metaanalysis

JASP Statistics reposted

Completely missed the release of this "Robust Bayesian t-test" module by @MaxMa1er in @JASPStats. It uses Bayesian Model Averaging (8 models; equal/unequal var + normal/robust tests) to quantify relative evidence (BFs). Nice mini #multiverse analysis. jasp-stats.org/2023/09/11/int…


JASP 0.19 has extensive functionality for making raincloud plots! Will they replace the bar plot and line plot in statistical reporting? jasp-stats.org/2024/07/26/rai…


JASP Statistics reposted

Pleasure to be invited by the PG Skill Workshop @PsychCardiffUni to share the amazing #JASP with my peers. Special thanks to @EJWagenmakers and Michael for their amazing @JASPStats workshops. Thrilled to see the positive feedback and engagement from everyone involved!

Skyliuww's tweet image. Pleasure to be invited by the PG Skill Workshop @PsychCardiffUni to share the amazing #JASP with my peers. Special thanks to @EJWagenmakers and Michael for their amazing @JASPStats workshops. Thrilled to see the positive feedback and engagement from everyone involved!

Over 310 professors and students across 69 countries have let us know that JASP is used to teach courses at their university. Is your university missing from the map? Please let us know at [email protected]! jasp-stats.org/world-map/

JASPStats's tweet image. Over 310 professors and students across 69 countries have let us know that JASP is used to teach courses at their university. Is your university missing from the map?  Please let us know at communications@jasp-stats.org!
jasp-stats.org/world-map/

JASP Statistics reposted

Extremely happy to end Thursday on such a high note 🎉 New open access article with @aitorgarces1 on the use of @JASPStats as a data analysis tool in Second Language Research. Find the article in @TEISEL2022 by following this link: revistes.ub.edu/index.php/teis…

Sophie_McBridee's tweet image. Extremely happy to end Thursday on such a high note 🎉

New open access article with @aitorgarces1 on the use of @JASPStats as a data analysis tool in Second Language Research. 

Find the article in @TEISEL2022 by following this link: revistes.ub.edu/index.php/teis…

Loading...

Something went wrong.


Something went wrong.