JGeriOnc's profile picture. Advancing research in treatment & survivorship of older adults w/ cancer. Editor-in-Chief: Supriya Mohile @rochgerionc Assoc Editor Social Media @WilliamDale_MD

Journal of Geriatric Oncology

@JGeriOnc

Advancing research in treatment & survivorship of older adults w/ cancer. Editor-in-Chief: Supriya Mohile @rochgerionc Assoc Editor Social Media @WilliamDale_MD

Geriatric screening tools in older patients undergoing concurrent chemoradiotherapy for locally advanced non-small cell lung cancer geriatriconcology.net/article/S1879-… @WilliamDale_MD @myCARG #GeriOnc #OlderAdults #OncoAlert #SIOG #YoungSIOG #Elsevier #Compliance #Toxicity #Survival

JGeriOnc's tweet image. Geriatric screening tools in older patients undergoing concurrent chemoradiotherapy for locally advanced non-small cell lung cancer geriatriconcology.net/article/S1879-… @WilliamDale_MD @myCARG #GeriOnc #OlderAdults #OncoAlert #SIOG #YoungSIOG #Elsevier #Compliance #Toxicity #Survival

Geriatric-specific considerations in treatment conversations with older adults with early-stage hormone receptor-positive breast cancer geriatriconcology.net/article/S1879-… @WilliamDale_MD @myCARG #GeriOnc #OlderAdults #OncoAlert #SIOG #YoungSIOG #Elsevier #SharedDecisionMaking

JGeriOnc's tweet image. Geriatric-specific considerations in treatment conversations with older adults with early-stage hormone receptor-positive breast cancer geriatriconcology.net/article/S1879-… @WilliamDale_MD @myCARG #GeriOnc #OlderAdults #OncoAlert #SIOG #YoungSIOG #Elsevier #SharedDecisionMaking…

Cardiovascular and cancer-specific mortality in older patients with advanced non-small cell lung cancer following the introduction of immuno-oncology therapies geriatriconcology.net/article/S1879-… @WilliamDale_MD @myCARG #GeriOnc #OlderAdults #OncoAlert #SIOG #YoungSIOG #Elsevier

JGeriOnc's tweet image. Cardiovascular and cancer-specific mortality in older patients with advanced non-small cell lung cancer following the introduction of immuno-oncology therapies geriatriconcology.net/article/S1879-… @WilliamDale_MD @myCARG #GeriOnc #OlderAdults #OncoAlert #SIOG #YoungSIOG #Elsevier

The global prevalence of and factors associated with sarcopenia in patients with gastrointestinal cancer: A systematic review and meta-analysis geriatriconcology.net/article/S1879-… #Prevalence #SystematicReview #MetaAnalysis

JGeriOnc's tweet image. The global prevalence of and factors associated with sarcopenia in patients with gastrointestinal cancer: A systematic review and meta-analysis geriatriconcology.net/article/S1879-… #Prevalence
#SystematicReview #MetaAnalysis

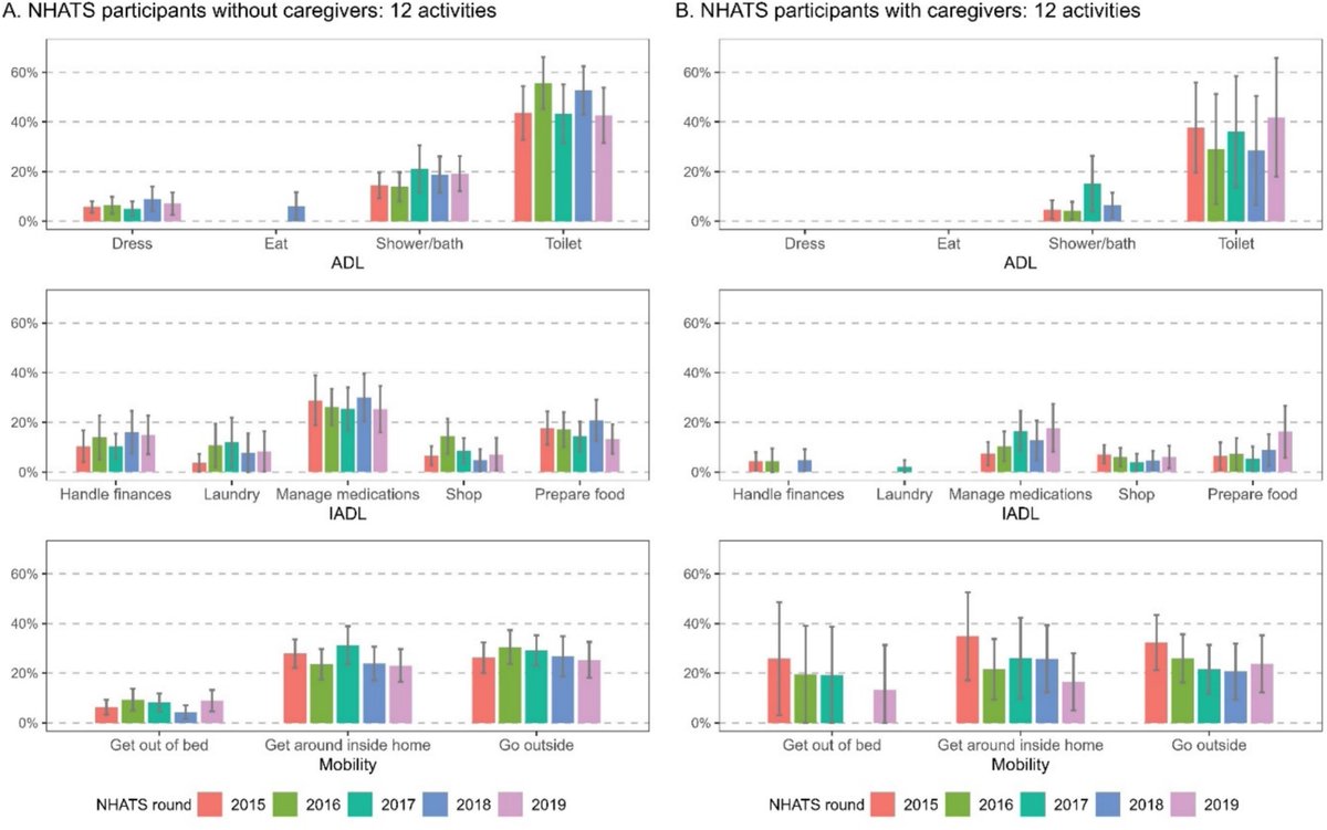
Self-reported unmet care needs in daily activities among community-dwelling older adults with cancer: Analyses from the 2015–2019 National Health and Aging Trends Study geriatriconcology.net/article/S1879-… @BattagliaJensen @WilliamDale_MD @myCARG #GeriOnc #OlderAdults #OncoAlert #SIOG

JGeriOnc's tweet image. Self-reported unmet care needs in daily activities among community-dwelling older adults with cancer: Analyses from the 2015–2019 National Health and Aging Trends Study geriatriconcology.net/article/S1879-… @BattagliaJensen @WilliamDale_MD @myCARG #GeriOnc #OlderAdults #OncoAlert #SIOG…

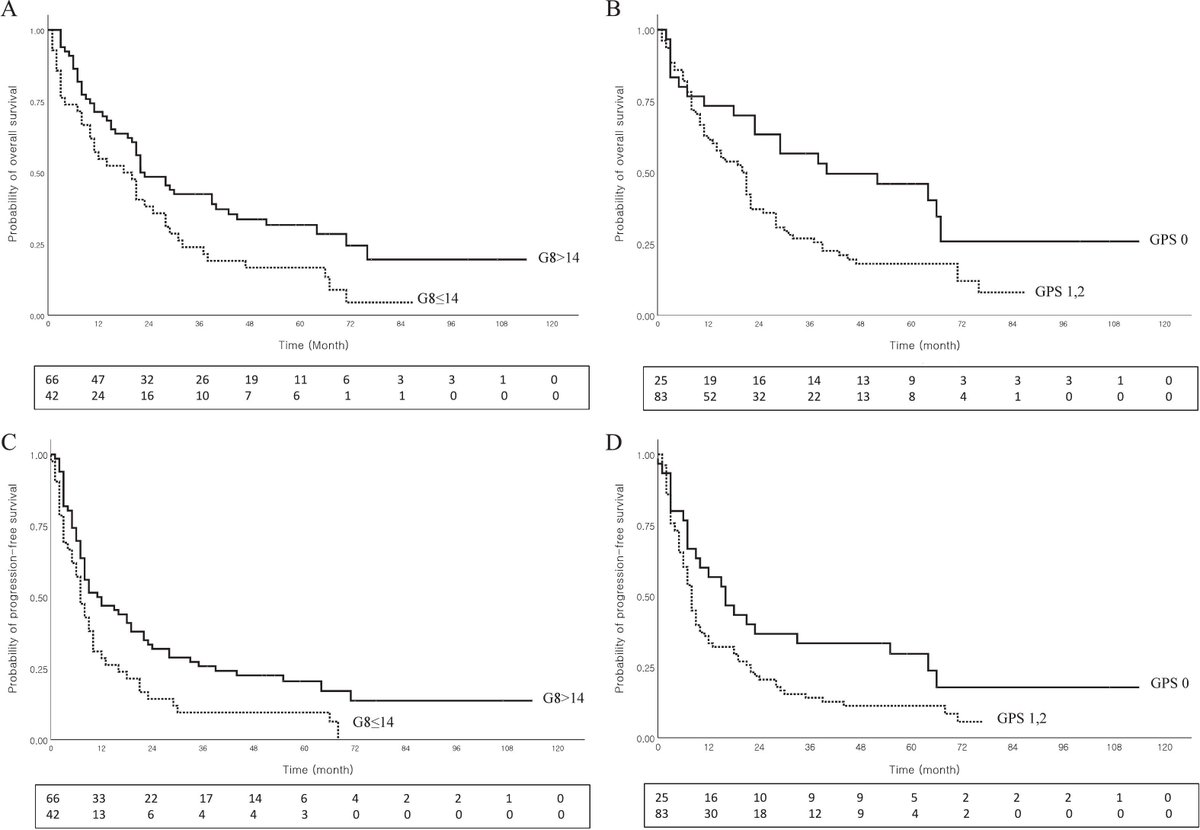
Prognostic impact of Geriatric 8 and comprehensive geriatric assessment in older patients with advanced pancreatic ductal adenocarcinoma geriatriconcology.net/article/S1879-… @WilliamDale_MD @myCARG #GeriOnc #OlderAdults #OncoAlert #SIOG #YoungSIOG #Elsevier #Geriatric8 #CGA

JGeriOnc's tweet image. Prognostic impact of Geriatric 8 and comprehensive geriatric assessment in older patients with advanced pancreatic ductal adenocarcinoma geriatriconcology.net/article/S1879-… @WilliamDale_MD @myCARG #GeriOnc #OlderAdults #OncoAlert #SIOG #YoungSIOG #Elsevier #Geriatric8 #CGA

Mapping symptom networks at time of presentation with metastatic lung cancer: Age-related differences and insights from cluster analysis geriatriconcology.net/article/S1879-… @WilliamDale_MD @myCARG #GeriOnc #OlderAdults #OncoAlert #SIOG #YoungSIOG #Elsevier #SymptomBurden #SymptomClusters

JGeriOnc's tweet image. Mapping symptom networks at time of presentation with metastatic lung cancer: Age-related differences and insights from cluster analysis geriatriconcology.net/article/S1879-… @WilliamDale_MD @myCARG #GeriOnc #OlderAdults #OncoAlert #SIOG #YoungSIOG #Elsevier #SymptomBurden #SymptomClusters

Geriatric assessment in daily oncology practice for nurses and allied health professionals: An updated overview from SIOG Nursing, Allied Health and Scientists Interest Group geriatriconcology.net/article/S1879-… @kristenhaas @VirginiaSunPhD @KMcConnell30 @martine_puts @WilliamDale_MD @myCARG

JGeriOnc's tweet image. Geriatric assessment in daily oncology practice for nurses and allied health professionals: An updated overview from SIOG Nursing, Allied Health and Scientists Interest Group geriatriconcology.net/article/S1879-… @kristenhaas @VirginiaSunPhD @KMcConnell30 @martine_puts @WilliamDale_MD @myCARG…

Treatment decision-making and quality of life versus length of life preferences of older patients with early stage cancer: A systematic review geriatriconcology.net/article/S1879-… @nicolobattisti @WilliamDale_MD @myCARG #GeriOnc #OlderAdults #OncoAlert #SIOG #YoungSIOG #Elsevier

JGeriOnc's tweet image. Treatment decision-making and quality of life versus length of life preferences of older patients with early stage cancer: A systematic review geriatriconcology.net/article/S1879-… @nicolobattisti @WilliamDale_MD @myCARG #GeriOnc #OlderAdults #OncoAlert #SIOG #YoungSIOG #Elsevier…

Retrospective analysis of treatment patterns and outcomes in older adults with diffuse large B-cell lymphoma in the Veterans Health Administration geriatriconcology.net/article/S1879-… @WilliamDale_MD @myCARG #GeriOnc #OlderAdults #OncoAlert #SIOG #YoungSIOG #Elsevier #GeriatricPatients

JGeriOnc's tweet image. Retrospective analysis of treatment patterns and outcomes in older adults with diffuse large B-cell lymphoma in the Veterans Health Administration  geriatriconcology.net/article/S1879-… @WilliamDale_MD @myCARG #GeriOnc #OlderAdults #OncoAlert #SIOG #YoungSIOG #Elsevier #GeriatricPatients…

Evaluation for sarcopenia as part of comprehensive geriatric assessment in older adults with cancer: Secondary analysis of a prospective clinical dataset geriatriconcology.net/article/S1879-… @WilliamDale_MD @myCARG #GeriOnc #OlderAdults #OncoAlert #SIOG #YoungSIOG #Elsevier

JGeriOnc's tweet image. Evaluation for sarcopenia as part of comprehensive geriatric assessment in older adults with cancer: Secondary analysis of a prospective clinical dataset geriatriconcology.net/article/S1879-… @WilliamDale_MD @myCARG #GeriOnc #OlderAdults #OncoAlert #SIOG #YoungSIOG #Elsevier

Clinical practice variations in geriatric assessment for patients with head and neck cancer in the Netherlands: A nationwide analysis geriatriconcology.net/article/S1879-… @WilliamDale_MD @myCARG #GeriOnc #OlderAdults #OncoAlert #SIOG #YoungSIOG #ElsevierFrailty #GeriatricAssessment

JGeriOnc's tweet image. Clinical practice variations in geriatric assessment for patients with head and neck cancer in the Netherlands: A nationwide analysis geriatriconcology.net/article/S1879-… @WilliamDale_MD @myCARG #GeriOnc #OlderAdults #OncoAlert #SIOG #YoungSIOG #ElsevierFrailty #GeriatricAssessment

Experience of decision-making for older adults, their significant others, and health care professionals after a diagnosis of cancer: A systematic review geriatriconcology.net/article/S1879-… @WilliamDale_MD @myCARG #GeriOnc #OlderAdults #OncoAlert #SIOG #YoungSIOG #Elsevier #Cancer #Complexity

JGeriOnc's tweet image. Experience of decision-making for older adults, their significant others, and health care professionals after a diagnosis of cancer: A systematic review geriatriconcology.net/article/S1879-… @WilliamDale_MD @myCARG #GeriOnc #OlderAdults #OncoAlert #SIOG #YoungSIOG #Elsevier #Cancer #Complexity…

Barriers and enablers to the implementation of geriatric approach in cancer care in older French patients and physicians: A mixed method psychosocial multicenter study geriatriconcology.net/article/S1879-… @WilliamDale_MD @myCARG #GeriOnc #OlderAdults #OncoAlert #SIOG #YoungSIOG #Elsevier

JGeriOnc's tweet image. Barriers and enablers to the implementation of geriatric approach in cancer care in older French patients and physicians: A mixed method psychosocial multicenter study geriatriconcology.net/article/S1879-… @WilliamDale_MD @myCARG #GeriOnc #OlderAdults #OncoAlert #SIOG #YoungSIOG #Elsevier…

Causes of death in older patients with high-risk breast cancer: What are the most significant contributors geriatriconcology.net/article/S1879-… @WilliamDale_MD @myCARG #GeriOnc #OlderAdults #OncoAlert #SIOG #YoungSIOG #Elsevier #Chemotherapy #DecisionMaking


Loading...

Something went wrong.


Something went wrong.