KeithComplexity's profile picture. Computer Scientist at @USC_ISI. LA enthusiast. Dog owner. I'm not sure if I walk my dogs or they walk me.

Keith Burghardt

@KeithComplexity

Computer Scientist at @USC_ISI. LA enthusiast. Dog owner. I'm not sure if I walk my dogs or they walk me.

置頂

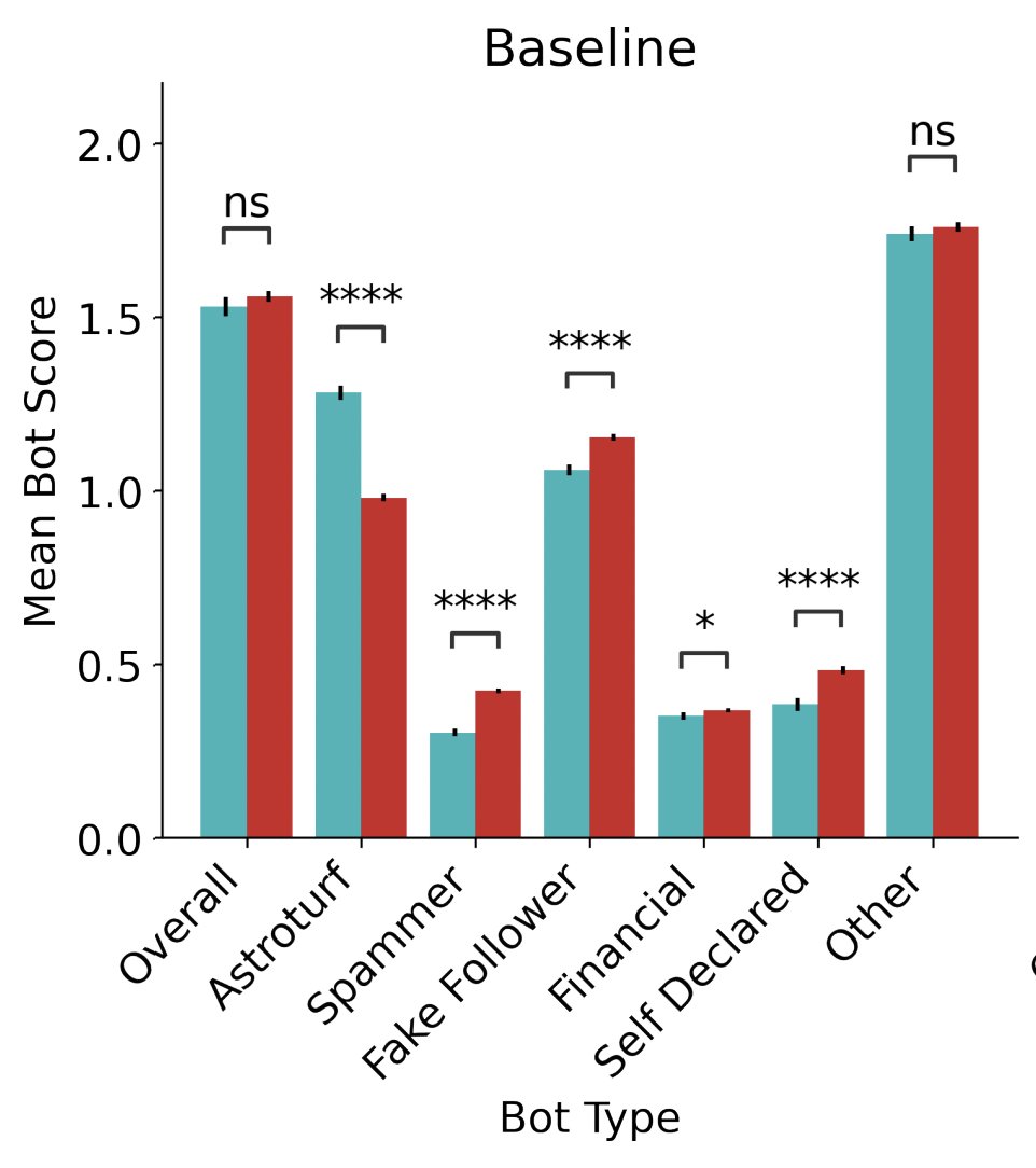
‼️New paper on auditing @elonmusk's early impact on Twitter‼️ - Hateful users became more hateful - Hate increased dramatically - There was no overall change in bots Paper (accepted to ICWSM 2023) is here: arxiv.org/pdf/2304.04129… Co-authors: Dan Hickey, Matheus Schmitz,...

KeithComplexity's tweet image. ‼️New paper on auditing @elonmusk's early impact on Twitter‼️
- Hateful users became more hateful
- Hate increased dramatically
- There was no overall change in bots
Paper (accepted to ICWSM 2023) is here:
arxiv.org/pdf/2304.04129…
Co-authors: Dan Hickey, Matheus Schmitz,...
KeithComplexity's tweet image. ‼️New paper on auditing @elonmusk's early impact on Twitter‼️
- Hateful users became more hateful
- Hate increased dramatically
- There was no overall change in bots
Paper (accepted to ICWSM 2023) is here:
arxiv.org/pdf/2304.04129…
Co-authors: Dan Hickey, Matheus Schmitz,...
KeithComplexity's tweet image. ‼️New paper on auditing @elonmusk's early impact on Twitter‼️
- Hateful users became more hateful
- Hate increased dramatically
- There was no overall change in bots
Paper (accepted to ICWSM 2023) is here:
arxiv.org/pdf/2304.04129…
Co-authors: Dan Hickey, Matheus Schmitz,...

Keith Burghardt 已轉發

This is Gracie. She went for the most magical car ride last night. The whole world twinkled like it was excited to see her. 13/10


Keith Burghardt 已轉發

If you think the next big idea in your field will come from inside the field, you're probably wrong.

ItaiYanai's tweet image. If you think the next big idea in your field will come from inside the field, you're probably wrong.

Keith Burghardt 已轉發

La primera imagen #Landsat de las inundaciones de la #Dana de #Valencia procesadas por @ALSOSpace_ Impactante imagen. Ánimo a los compañeros valencianos y los servicios de emergencias 💪

GIS_and_Beers's tweet image. La primera imagen #Landsat de las inundaciones de la #Dana de #Valencia procesadas por @ALSOSpace_

Impactante imagen. Ánimo a los compañeros valencianos y los servicios de emergencias 💪

Keith Burghardt 已轉發

Google AI Overview winning again!

jengolbeck's tweet image. Google AI Overview winning again!

Keith Burghardt 已轉發
LTF_01's tweet image.

Keith Burghardt 已轉發

Just out! We evaluate how well large-scale, nonprob, survey data do in estimating COVID infection rates. We find that these surveys do a remarkably good job at matching admin and wastewater data. jamanetwork.com/journals/jaman…

davidlazer's tweet image. Just out! We evaluate how well large-scale, nonprob, survey data do in estimating COVID infection rates. We find that these surveys do a remarkably good job at matching admin and wastewater data.
jamanetwork.com/journals/jaman…

Keith Burghardt 已轉發

BREAKING: Taylor Swift's Eras Tour just did what AI couldn’t—pushed NeurIPS by a whole day! 🤖 🤣🤣🤣 #NeurIPS 2024 Conference Date Change The conference start date has been changed to Tuesday December 10 in order to support delegates arriving on Monday. neurips.cc


Keith Burghardt 已轉發

I'm so excited to finally introduce Fields of The World (FTW!) - the largest & most diverse ML dataset for field instance segmentation in satellite images. FTW has >70k samples from 24 countries (4 continents), with semantic & instance labels + Sentinel-2 RGB-NIR from 2 dates. 🧵

hannah_kerner's tweet image. I'm so excited to finally introduce Fields of The World (FTW!) - the largest & most diverse ML dataset for field instance segmentation in satellite images. FTW has >70k samples from 24 countries (4 continents), with semantic & instance labels + Sentinel-2 RGB-NIR from 2 dates. 🧵

Keith Burghardt 已轉發

Terrific dinner with @CaptMarkKelly and @Kasparov63 discussing our joint efforts to combat malevolent disinformation. It's time for the US to step up to the plate and actually start to fight!

UrielEpshtein's tweet image. Terrific dinner with @CaptMarkKelly and @Kasparov63 discussing our joint efforts to combat malevolent disinformation. It's time for the US to step up to the plate and actually start to fight!

Keith Burghardt 已轉發

Uncovering Coordinated Cross-Platform Information Operations Threatening the Integrity of the 2024 U.S. Presidential Election Online Discussion w/ @emilio__ferrara @FractalZucky @Federico_Cinus View our findings here: papers.ssrn.com/sol3/papers.cf…

LucaLuceri's tweet image. Uncovering Coordinated Cross-Platform Information Operations Threatening the Integrity of the 2024 U.S. Presidential Election Online Discussion
w/ @emilio__ferrara @FractalZucky @Federico_Cinus 

View our findings here: papers.ssrn.com/sol3/papers.cf…

Keith Burghardt 已轉發

Diffusion is the rising tide that eventually submerges all frequencies, high and low 🌊 Diffusion is the gradual decomposition into feature scales, fine and coarse 🗼 Diffusion is just spectral autoregression 🤷🌈


Keith Burghardt 已轉發

For @USC’s Abigail Horn, helping people make healthier choices starts with using AI to evaluate their options. 🥗 Read about it here --> bit.ly/3z65jbM @USCViterbi #AI @abigaillhorn @KeithComplexity

USC_ISI's tweet image. For @USC’s Abigail Horn, helping people make healthier choices starts with using AI to evaluate their options. 🥗

Read about it here --> bit.ly/3z65jbM

@USCViterbi #AI @abigaillhorn @KeithComplexity

Keith Burghardt 已轉發

This is Fendi. She is a triple threat. Beautiful, majestic, and also geometric. 13/10

dog_rates's tweet image. This is Fendi. She is a triple threat. Beautiful, majestic, and also geometric. 13/10

Keith Burghardt 已轉發

What can be done to combat rising misinformation on X? channel4.com/news/what-can-…


Keith Burghardt 已轉發

"...trust in physicians & hospitals decreased during the COVID-19 pandemic." Lower levels of trust "associated with lesser likelihood of pursuing vaccination." Key: other research shows much of the distrust CREATED by embrace of #misinformation. Study jamanetwork.com/journals/jaman…


Keith Burghardt 已轉發

New paper out in @envplanb: "Analyzing #urban #scaling laws in the United States over 115 years" using HISDAC-US, #historical road network data and Microsoft #building #footprint data. Lead by @KeithComplexity with @JohannesHUhl1, Stefan Leyk and @KristinaLerman.


Keith Burghardt 已轉發

Gabriela Pinto at @ICWSM #VulnerableWorkshop speaking on the aftereffects of the attempted coup in Peru through the lens of TikTok w/ @KeithComplexity @KristinaLerman @emilio__ferrara Read it here: workshop-proceedings.icwsm.org/abstract.php?i… org w/ @ISI_Fondazione @danielapaolotti @KyriakiKalimeri

yelenamejova's tweet image. Gabriela Pinto at @ICWSM #VulnerableWorkshop speaking on the aftereffects of the attempted coup in Peru through the lens of TikTok
w/ @KeithComplexity @KristinaLerman @emilio__ferrara

Read it here: workshop-proceedings.icwsm.org/abstract.php?i…

org w/ @ISI_Fondazione @danielapaolotti @KyriakiKalimeri

Loading...

Something went wrong.


Something went wrong.