
MSU Political Science
@MSU_poli_sci
The Department of Political Science at Michigan State University. YesPLS!
你可能會喜歡
MSU Political Science Assistant Professor Andrew Halterman has published his research "What is a protest anyway? Codebook conceptualization is still a first-order concern in LLM-era classification," available here: spr.ly/6014AQDcG #MSUSocialScience #YesPLS

MSU PLS PhD candidate Kelechi Amakoh has published his research "Beyond the Headlines: Examining the Role of Negative Campaigning Media Coverage on Electoral Trust" in the journal International Journal of Press/Politics. journals.sagepub.com/doi/10.1177/19… #MSUSocialScience #YesPLS

n Tuesday, October 7th, researchers from MSU and UofM joined IPPSR to discuss findings on how K-12 schools and local governments are preparing for the loss of ARPA funding. Click the link to view their presentations. ippsr.msu.edu/public-policy/…
Join us Oct. 15 for MSU in Vietnam: New Thoughts on an Old Story, a talk w/ Prof Charles Keith. 🕑 2 pm (socialize 1:30 pm) 📍MSUFCU Mt. Hope Branch More info: history.msu.edu/events-event/m… #MSUHistory #MSUSocialScience

Our Director of Surveys, Boniface Dulani, and our National Investigator in Zambia, Edward Chibwili (@mwamu2030), joined a panel discussion as part of the Institute for Development Studies (@IDS_UONBI) 60th anniversary celebrations on Thursday 9 October 2025. Together, they…

Join us on November 3rd for this moving event. Wrongfully Convicted. Redeemed. A True Story. Learn more about Walter and this event: cj.msu.edu/events/2025-du… #AdvanceJustice #MSUSocialScience

I had a great experience at PolMeth this summer and am already looking forward to next year’s meeting at Michigan State University in East Lansing! @MSU_poli_sci
🚨Save the Date 🚨 Polmeth Summer meeting is July 16--18 at Michigan State University in East Lansing, Michigan. Day-long pre-conference workshop for the Visions in Methodology Initiative on July 15.
🚨Save the Date 🚨 Polmeth Summer meeting is July 16--18 at Michigan State University in East Lansing, Michigan. Day-long pre-conference workshop for the Visions in Methodology Initiative on July 15.
Fall means football, pumpkins and elections! MSU PLS Professor Sarah Reckow's student have updated their East Lansing Citizen's Manual with up-to-date information about the upcoming City Council elections. Check it out! elcitizensmanual.com #MSUSocialScience #YesPLS

Support the Afrobarometer mission to amplify the voices of citizens across Africa. Every donation helps us empower communities and drive positive change through data and research. Click here to donate: bit.ly/47oX9qO #VoicesAfrica #SupportOurWork

Congratulations to MSU PLS student Kathryn Harding who has been selected for the 2025 MSU Homecoming Court. We are so proud of you, Kathryn! polisci.msu.edu/news-events/ne… #MSUSocialScience #YesPLS


Congratulations to MSU PLS student Jaelynn Smith who has been selected for the 2025 MSU Homecoming Court. Jaelynn is a passionate advocate for equity, education and authentic leadership. We are so proud of you, Jaelynn! polisci.msu.edu/news-events/ne… #MSUSocialScience #YesPLS


MSU PLS Professor Dr. Cristina Bodea was interviewed for a podcast in The Conversation on Sept. 25, 2025 titled: The 1970s inflation crisis shaped modern central bank independence. Now it's under populist threat." theconversation.com/the-1970s-infl… #MSUSocialScience #YesPLS
MSU Political Science Associate Professor Eric Gonzalez Juenke is a fellow with Good Authority. He published "Why elected leaders began to speak more positively about immigration 75 years ago" on Sept. 22. Check it out here: goodauthority.org/news/why-elect… #MSUSocialScience #YesPLS
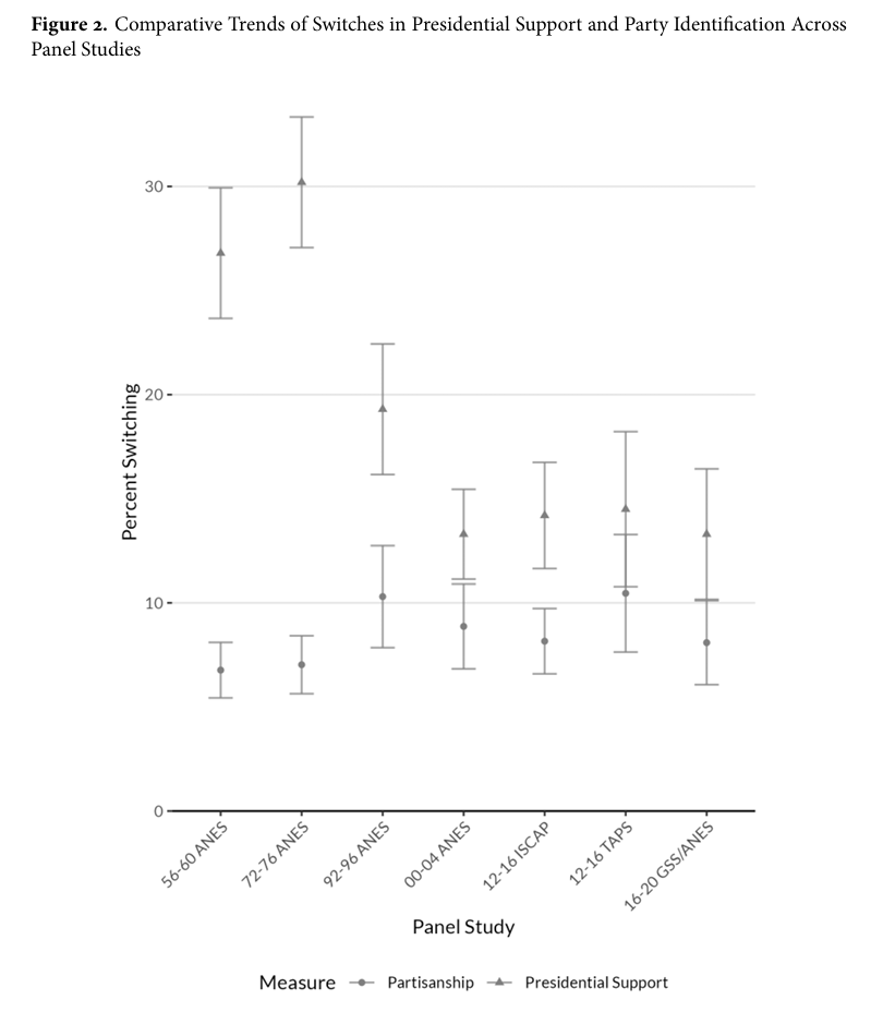
Party presidential vote-switching has gone done since the 1970s, but switches in party identification have not. Recent panels show a slight uptick in partisan switching. Partisanship isn't stronger today, just more consistent. More forthcoming at Political Behavior

Join us on Wednesday, October 8th from 11am-1pm in Room 117 Berkey Hall for a College of Social Science Open House! Talk with fellow students, learn more about college resources, and win free giveaways! Can't wait to see you there! #MSUSocialScience

Deadline approaching! Apply soon #MSU #StudyAbroad #Scholarship

Liam Connor, a Political Science pre-law junior, started the student group MSU Middle Ground after the 2024 presidential election. Learn more here: polisci.msu.edu/news-events/ne… #MSUSocialScience #YesPLS
So are we! #YesPLS
Congratulations to College of Social Science Access Spotlight for Hispanic Heritage Month - Dr. Erika Vallejo! We are so proud of you, Dr. Vallejo! clstudies.msu.edu/news-events/ne… #MSUSocialScience

United States 趨勢
- 1. Auburn 46.3K posts
- 2. At GiveRep N/A
- 3. Discussing Web3 N/A
- 4. Brewers 65.8K posts
- 5. #SEVENTEEN_NEW_IN_TACOMA 34.8K posts
- 6. Cubs 56.8K posts
- 7. MACROHARD 5,711 posts
- 8. Gilligan 6,311 posts
- 9. Georgia 68.1K posts
- 10. Utah 25.4K posts
- 11. Wordle 1,576 X N/A
- 12. #SVT_TOUR_NEW_ 26.8K posts
- 13. #AcexRedbull 4,363 posts
- 14. Kirby 24.3K posts
- 15. Boots 50.8K posts
- 16. Arizona 41.6K posts
- 17. #Toonami 3,011 posts
- 18. #HawaiiFB N/A
- 19. mingyu 96.8K posts
- 20. amy poehler 5,107 posts
你可能會喜歡
-
DukePoliticalScience
@DukePoliSci -
AJPS
@AJPS_Editor -
Western Political Science Association - #WPSA26
@theWPSA -
Penn State Political Science
@psupolisci -
MSU College of Arts & Letters
@MSUCAL -
Political Research Quarterly
@PRQjournal -
University of Houston Political Science
@UHPoliticalSci -
MITPoliticalScience
@MITPoliSci -
MSU HDFS
@MSUHDFS -
MSU Social Science
@MSU_SocSci -
Journal of Politics @[email protected]
@The_JOP -
MSU Psychology
@MsuPsychology -
Marty Jordan
@MartyPJordan -
IPPSR at MSU
@IPPSR -
UTM Political Science
@UTM_PolSci
Something went wrong.
Something went wrong.