MathJHMarco's profile picture. UGRD Student in Math at @kaistpr | M^2 34th | 수학 (공부 & 교류 & 뻘글) 계정

Jaehyeon Lee

@MathJHMarco

UGRD Student in Math at @kaistpr | M^2 34th | 수학 (공부 & 교류 & 뻘글) 계정

Jaehyeon Lee reposted

그대들은 어떻게 살 것인가? 후기만화 (1/10) *스포일러 포함*

Mixer717's tweet image. 그대들은 어떻게 살 것인가? 후기만화 (1/10)
*스포일러 포함*
Mixer717's tweet image. 그대들은 어떻게 살 것인가? 후기만화 (1/10)
*스포일러 포함*
Mixer717's tweet image. 그대들은 어떻게 살 것인가? 후기만화 (1/10)
*스포일러 포함*
Mixer717's tweet image. 그대들은 어떻게 살 것인가? 후기만화 (1/10)
*스포일러 포함*

내가 너무 옹졸한 것 같기도 하면서도… 한편으로는 나는 다른사람한테 수학을 가르쳐줄 때 저런 사족을 무심코 뱉지 안도록 주의해야겠다고 다짐하게 된더

뭔가 내가 막혀서 거민하던 걸 물러봤을 때 알려주면서 ‘쉽네ㅋㅋ’ ‘그냥 정의로 되네ㅋㅋ’ ‘고등학교 수핫이네’라는 사족을 항상 붙이는 친구가 있다. 틀린 말이 아니고, 내가 쉬운 부분에서ㅜ막혔던 것도 팩트지만, 왠지 모르게 기분이 나쁘고 별로 이 친구한테 물어보기 싫어진다



뭔가 내가 막혀서 거민하던 걸 물러봤을 때 알려주면서 ‘쉽네ㅋㅋ’ ‘그냥 정의로 되네ㅋㅋ’ ‘고등학교 수핫이네’라는 사족을 항상 붙이는 친구가 있다. 틀린 말이 아니고, 내가 쉬운 부분에서ㅜ막혔던 것도 팩트지만, 왠지 모르게 기분이 나쁘고 별로 이 친구한테 물어보기 싫어진다


왜 그동안 Tor functor를 제대로 공부해 본 적이 없는거지


Jaehyeon Lee reposted

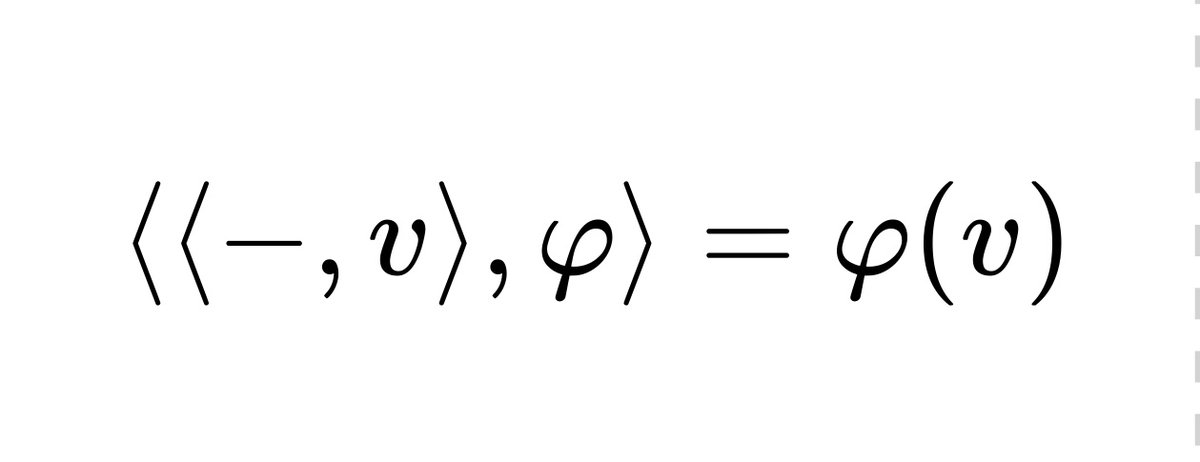
It's a misconception that the Yoneda lemma is about categories (hence the whole philosophical craze surrounding it) -- in fact it works perfectly well for (fin. dim.) Hilbert spaces already : if (H, <-,->) is such a space, φ ∈ H* and v ∈ H, then

mattecapu's tweet image. It&apos;s a misconception that the Yoneda lemma is about categories (hence the whole philosophical craze surrounding it) -- in fact it works perfectly well for (fin. dim.) Hilbert spaces already : if (H, &amp;lt;-,-&amp;gt;) is such a space, φ ∈ H* and v ∈ H, then

Jaehyeon Lee reposted

Here's a fun theorem I got to know lately. It's not only intriguing but also surprisingly easy to prove. Proof in the 🧵! [1/3]

Mathinity_'s tweet image. Here&apos;s a fun theorem I got to know lately. It&apos;s not only intriguing but also surprisingly easy to prove.

Proof in the 🧵! [1/3]

요즘은 베토벤 교양곡 중에서 7번이 제일 좋다


포기하고 싶다…


Jaehyeon Lee reposted

위태로운 서울공화국, 수도권 붕괴 시나리오 contents.premium.naver.com/connectedgroun…


미래의 더 많은 관점과 경험이 쌓였을 내가 완벽히 이해하겠지! 하고 느낌만 받고 넘긴다!!!!

적당히 그렁가보다~하면서 느낌만 받고 넘어가야 할 줄도 알아야 하는 건가…



왜 너네도 adjoint고, 너희도 adjoint고, 쟤네는 왜 또 adjoint거야!!!


Sheaf, sheafification, sheaf의 inverse image와 direct image… 분명 대수기하를 공부하랴먄 알아야 하는 기본적인 내용인 것 같은데, 처암 공부하는 입장에서는 봐도봐도 낯설어….ㅠㅠ… 으 언젠가는 군, 환, 위상공간처럼 자연스럽게 다룰 수 있게 되려나


Jaehyeon Lee reposted

Grothendieck demonstrating lifting morphisms to Atiyah.

Anthony_Bonato's tweet image. Grothendieck demonstrating lifting morphisms
to Atiyah.

Jaehyeon Lee reposted

몇년 지난 것이긴 한데, TikZ 코드 HTML 코드에 그냥 써놓으면 자바스크립트로 돌려서 웹페이지에서 그림을 만들어서 보여주는 javascript 코드가 있었군요. TeX engine의 Pascal 코드가 javascript에서 돌아가도록 포팅도 되어있었다니… github.com/kisonecat/tikz…


지금 현행 중등교육과정의 마지막 대수학 내용이 다항식의 나머지 정리인 것이 매우 안타깝다 (고급수학에 있는건 사실상 교육과정에 유의미하게 남아있다 할 수 없음)

지금 고등학교 수학 교육과정을 볼 때 가장 안타깝게 느끼는 점은 선형대수를 너무 빈약하게 가르친다는 점이다. 나 고등학교 때 행렬, 일차변환, 벡터 등을 배우던 때도 이 개념을 연결시키지 못하고 별개의 개념인 것처럼 가르치던 문제가 있었는데, 지금 교육과정에서는 벡터만 간신히 다룬다.



Loading...

Something went wrong.


Something went wrong.