RGAMESZ's profile picture.

Robert G Amesz

@RGAMESZ

Robert G Amesz reposted

Perfect packaging


Robert G Amesz reposted

All Men and Women should do this Regularly ✅ 💯👇


Robert G Amesz reposted

👍⭐⭐⭐⭐⭐ "The capacity of the bag is awesome! The bag has very convenient pockets on the inside and especially on the outside.The outside pockets are very convenient for putting my wallet and keys, it’s easy to access and is more secure than putting into my pocket. "


Robert G Amesz reposted

I won't tell anyone when I win the lottery...but there will be signs


Robert G Amesz reposted

Useful Food Tips🤩


Robert G Amesz reposted

The images of Mount Etna's eruption today, July 4th, 2024, are incredible. 📍 Sicily, Italy 🇮🇹


Robert G Amesz reposted

3D printed interlocking conical sections


Robert G Amesz reposted

Useful information.


Robert G Amesz reposted

4 Actions To Lose Belly Fat & Sculpt Your Dream Physique👇👇👇


Robert G Amesz reposted

Light 💡 switches wiring connection 👌🏻


Robert G Amesz reposted

Did u know?


Robert G Amesz reposted

This machine can straighten old rebar so it can be used again


Robert G Amesz reposted

😊🧑‍🎓🎒🔐

skglearning's tweet image. 😊🧑‍🎓🎒🔐

Robert G Amesz reposted
cooltechtipz's tweet image.

Robert G Amesz reposted

This Russian 🇷🇺 gymnastics coach, Ivan Gaponenko from Volgograd, is UNREAL, and his students are amazing. No wonder the “rules-based order” has been trying to get Russia out of international sporting events by any means necessary. 🎥 i.v.a.n._23.11


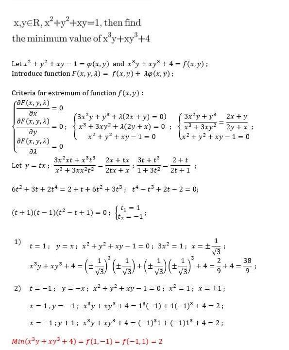
Robert G Amesz reposted
CoreMath80's tweet image. #math

Robert G Amesz reposted

k = ?

H0H0v's tweet image. k = ?

Robert G Amesz reposted

Robert G Amesz reposted

✨🎒 "I was skeptical about the Nordace Siena backpack initially, but now, I can't imagine traveling without it! With the Siena and its incredible packing cubes, everything has a place. I can quickly locate my items and avoid over-packing. It's a game-changer!"


Loading...

Something went wrong.


Something went wrong.