rnomics's profile picture. #RNomics, #RNA biology, RNA #bioinformatics, #RNA_World & #evolution, technologies & resources

Fabrice Leclerc

@rnomics

#RNomics, #RNA biology, RNA #bioinformatics, #RNA_World & #evolution, technologies & resources

Vastgezet

RNA to the rescue: RNA is one of the most promising targets for drug development given its wide variety of uses embopress.org/doi/full/10.15…

rnomics's tweet image. RNA to the rescue: RNA is one of the most promising targets for drug development given its wide variety of uses embopress.org/doi/full/10.15…

Fabrice Leclerc heeft deze post opnieuw geplaatst

Researchers believe there isn't one single cause of Alzheimer's disease. It likely develops from multiple factors, such as age, genetics, family history, and personal health history. #AlzheimersAwarenessMonth #AlzheimersDisease #AlzheimersAwareness #Alzheimers

rushalzheimers's tweet image. Researchers believe there isn't one single cause of Alzheimer's disease. It likely develops from multiple factors, such as age, genetics, family history, and personal health history.

#AlzheimersAwarenessMonth #AlzheimersDisease #AlzheimersAwareness #Alzheimers

Fabrice Leclerc heeft deze post opnieuw geplaatst

Happy #RNAday

AdrienChauvier's tweet image. Happy #RNAday

Fabrice Leclerc heeft deze post opnieuw geplaatst

Check out our new preprint on the discovery of a molecular switch in NAC that mediates nascent chain sorting on the ribosome and prevents mitochondrial protein mistargeting by SRP. A great collaboration with the Shan Lab @Caltech and the Qi Lab @UVA: biorxiv.org/content/10.110…


Fabrice Leclerc heeft deze post opnieuw geplaatst

Exploring the Potential of AlphaFold Distograms for Flexibility Assignment in Cryo-EM Maps 1. A new study investigates whether AlphaFold-generated distograms can capture conformational flexibility in cryo-EM maps, focusing on the AIFM1/AK2 complex. The research shows that…

BiologyAIDaily's tweet image. Exploring the Potential of AlphaFold Distograms for Flexibility Assignment in Cryo-EM Maps

1. A new study investigates whether AlphaFold-generated distograms can capture conformational flexibility in cryo-EM maps, focusing on the AIFM1/AK2 complex. The research shows that…

Fabrice Leclerc heeft deze post opnieuw geplaatst

LAST chance to enter! ⏰ We’re proud to sponsor The RNA Society Contest and celebrate the creativity behind the science. Whether you’ve pipetted, painted, or baked your RNA masterpiece, make sure to submit your entry today! #GenScript #RNA #WorldRNADay #RNASociety

⏰ Today is the LAST DAY for RNA Society members to submit entries for The RNA Day Art & Baking Contest! 🎨🧁 Thanks to @GenScript, our exclusive industry sponsor for this event, top entries will win cash prizes🏆#RNA #WorldRNAday #RNASociety #GenScript #RNASocietyRNADayContests

jrRNAscientists's tweet image. ⏰ Today is the LAST DAY for RNA Society members to submit entries for The RNA Day Art & Baking Contest! 🎨🧁
Thanks to @GenScript, our exclusive industry sponsor for this event, top entries will win cash prizes🏆#RNA #WorldRNAday #RNASociety #GenScript #RNASocietyRNADayContests


Fabrice Leclerc heeft deze post opnieuw geplaatst

Messy but meaningful, folded but functional. Today, we celebrate the squiggly, strange, and spectacular molecule changing the future of drug discovery. Happy #RNADay from all of us at Atomic AI!


Fabrice Leclerc heeft deze post opnieuw geplaatst

Revolutionizing CRISPR Technology with Artificial Intelligence 1. This review article explores the transformative role of artificial intelligence (AI) in advancing CRISPR technology, highlighting its potential to enhance precision, efficiency, and safety in genome engineering.…

BiologyAIDaily's tweet image. Revolutionizing CRISPR Technology with Artificial Intelligence

1. This review article explores the transformative role of artificial intelligence (AI) in advancing CRISPR technology, highlighting its potential to enhance precision, efficiency, and safety in genome engineering.…

Fabrice Leclerc heeft deze post opnieuw geplaatst

U7 snRNA binds a ring of seven proteins, including Lsm10 and Lsm11, forming U7 snRNP core. This report identifies 3 proteins (blue) that interact with U7 snRNA and may participate in the assembly of this unusual and functionally critical ring. bit.ly/46ApBZg

RNAJournal's tweet image. U7 snRNA binds a ring of seven proteins, including Lsm10 and Lsm11, forming U7 snRNP core. This report identifies 3 proteins (blue) that interact with U7 snRNA and may participate in the assembly of this unusual and functionally critical ring. bit.ly/46ApBZg

Fabrice Leclerc heeft deze post opnieuw geplaatst

"Foundations of Machine Learning" A 505-pages book from MIT for beginners is 💯 FREE.

swapnakpanda's tweet image. "Foundations of Machine Learning"

A 505-pages book from MIT for beginners is 💯 FREE.

Fabrice Leclerc heeft deze post opnieuw geplaatst

Building Foundation Models to Characterize Cellular Interactions via Geometric Self-Supervised Learning on Spatial Genomics 1. Cellular interactions are at the core of tissue function and disease. This study introduces the Cellular Interaction Foundation Model (CI-FM), a…

BiologyAIDaily's tweet image. Building Foundation Models to Characterize Cellular Interactions via Geometric Self-Supervised Learning on Spatial Genomics

1. Cellular interactions are at the core of tissue function and disease. This study introduces the Cellular Interaction Foundation Model (CI-FM), a…

Fabrice Leclerc heeft deze post opnieuw geplaatst

REINFORCE-ING Chemical Language Models in Drug Design 1. This study explores reinforcement learning (RL) for optimizing chemical language models (CLMs) in drug design, focusing on the REINFORCE algorithm. It investigates various RL techniques, such as experience replay, hill…

BiologyAIDaily's tweet image. REINFORCE-ING Chemical Language Models in Drug Design

1. This study explores reinforcement learning (RL) for optimizing chemical language models (CLMs) in drug design, focusing on the REINFORCE algorithm. It investigates various RL techniques, such as experience replay, hill…

Fabrice Leclerc heeft deze post opnieuw geplaatst

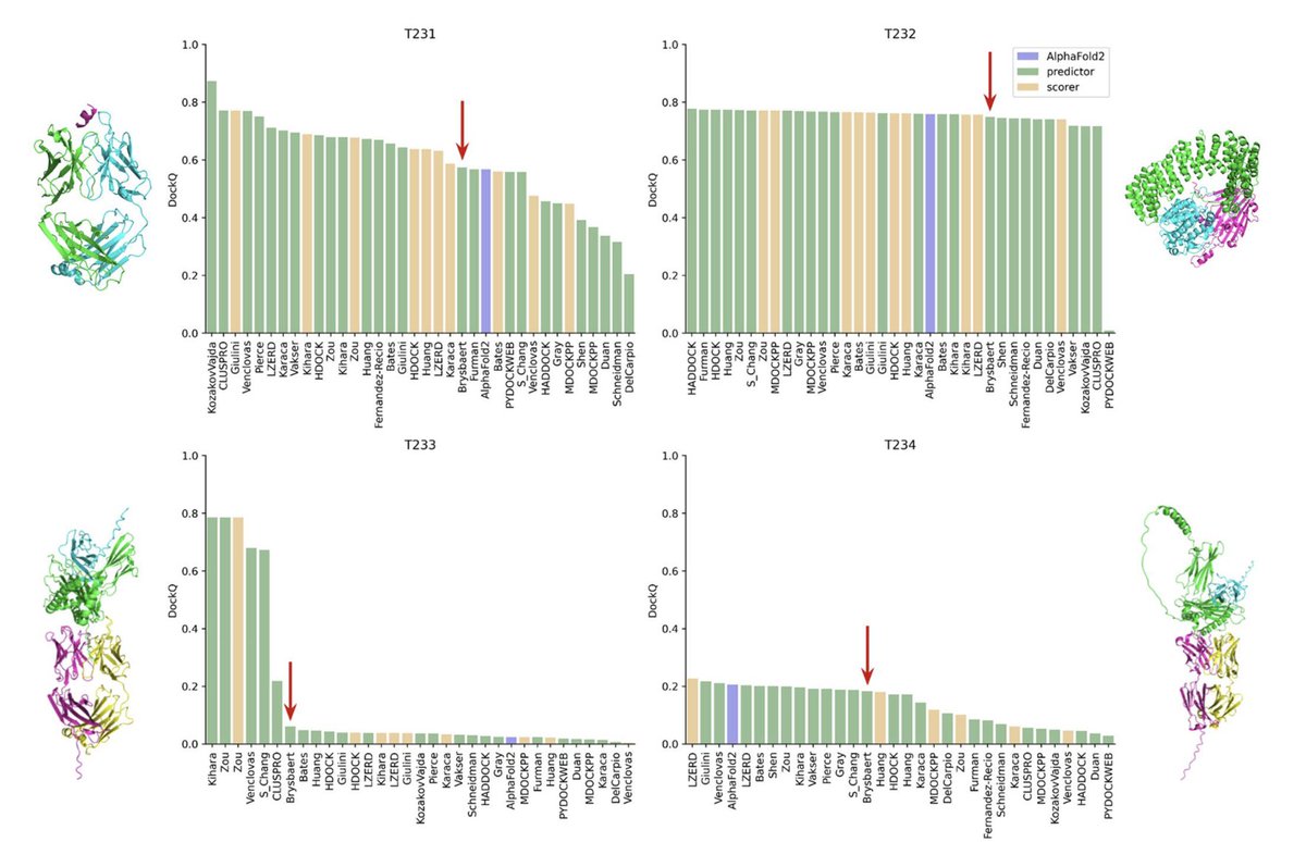
Massive Sampling Strategy for Antibody–Antigen Targets in CAPRI Round 55 With MassiveFold 1. Antibody-antigen docking remains a challenging problem in structural bioinformatics. This study presents a massive sampling strategy using AlphaFold2-based MassiveFold to improve protein…

BiologyAIDaily's tweet image. Massive Sampling Strategy for Antibody–Antigen Targets in CAPRI Round 55 With MassiveFold

1. Antibody-antigen docking remains a challenging problem in structural bioinformatics. This study presents a massive sampling strategy using AlphaFold2-based MassiveFold to improve protein…

Fabrice Leclerc heeft deze post opnieuw geplaatst

Pharmacophore-guided de novo drug design with diffusion bridge 1. Designing bioactive drug molecules is a fundamental challenge in drug discovery. This study introduces PharmacoBridge, a pharmacophore-guided de novo drug design framework using diffusion bridge models to generate…

BiologyAIDaily's tweet image. Pharmacophore-guided de novo drug design with diffusion bridge

1. Designing bioactive drug molecules is a fundamental challenge in drug discovery. This study introduces PharmacoBridge, a pharmacophore-guided de novo drug design framework using diffusion bridge models to generate…

Fabrice Leclerc heeft deze post opnieuw geplaatst

Integrating AlphaFold2 Models and Clinical Data to Improve the Assessment of Short Linear Motifs (SLiMs) and Their Variants’ Pathogenicity 1. Short Linear Motifs (SLiMs) play essential roles in protein interactions and cellular processes. This study presents an updated version…

BiologyAIDaily's tweet image. Integrating AlphaFold2 Models and Clinical Data to Improve the Assessment of Short Linear Motifs (SLiMs) and Their Variants’ Pathogenicity  

1. Short Linear Motifs (SLiMs) play essential roles in protein interactions and cellular processes. This study presents an updated version…

Fabrice Leclerc heeft deze post opnieuw geplaatst

2025 #RNA Symposium Speaker Profile: Jeff Coller, Ph.D. Read more and don't forget to register for this landmark event March 6-8! @RNASociety @RNA_Therapeutic 👉conta.cc/3PXSLrS


Fabrice Leclerc heeft deze post opnieuw geplaatst

Tune in on Tuesday, Feb. 11 at 3 PM EST to hear a VIRTUAL presentation from Dr. Jin Billy LI, PhD “RNA Editing: From Biology to Therapy” To register click this link: qrco.de/bfUd1O #RNA #RNAMedicine #HIRM #HMS #Stanford

irmdirector's tweet image. Tune in on Tuesday, Feb. 11 at 3 PM EST to hear a VIRTUAL presentation from Dr. Jin Billy LI, PhD

“RNA Editing: From Biology to Therapy”

To register click this link: qrco.de/bfUd1O

#RNA #RNAMedicine #HIRM #HMS #Stanford

Fabrice Leclerc heeft deze post opnieuw geplaatst

A guide for active learning in synergistic drug discovery @SciReports 1. Synergistic drug combinations can significantly enhance cancer treatment, but finding effective pairs is challenging due to the vast combinatorial search space. This study introduces a robust active…

BiologyAIDaily's tweet image. A guide for active learning in synergistic drug discovery @SciReports

1. Synergistic drug combinations can significantly enhance cancer treatment, but finding effective pairs is challenging due to the vast combinatorial search space. This study introduces a robust active…

Fabrice Leclerc heeft deze post opnieuw geplaatst

Bioinfo-Bench: A Simple Benchmark Framework for LLM Bioinformatics Skills Evaluation 1/ The paper introduces Bioinfo-Bench, a novel benchmark framework designed to evaluate large language models (LLMs) in bioinformatics, focusing on their ability to acquire, analyze, and apply…

BiologyAIDaily's tweet image. Bioinfo-Bench: A Simple Benchmark Framework for LLM Bioinformatics Skills Evaluation

1/ The paper introduces Bioinfo-Bench, a novel benchmark framework designed to evaluate large language models (LLMs) in bioinformatics, focusing on their ability to acquire, analyze, and apply…

Fabrice Leclerc heeft deze post opnieuw geplaatst

Transformer Graph Variational Autoencoder for Generative Molecular Design 1/ The paper presents the Transformer Graph Variational Autoencoder (TGVAE), a novel AI model that uses molecular graphs rather than SMILES strings to generate diverse and chemically valid molecules,…

BiologyAIDaily's tweet image. Transformer Graph Variational Autoencoder for Generative Molecular Design

1/ The paper presents the Transformer Graph Variational Autoencoder (TGVAE), a novel AI model that uses molecular graphs rather than SMILES strings to generate diverse and chemically valid molecules,…

Fabrice Leclerc heeft deze post opnieuw geplaatst

Please consider joining our interdisciplinary team studying viruses, RNA, and condensates, also if you’d like to move to Cambridge, UK, while this position remains open: jobs.cam.ac.uk/job/49901/


Loading...

Something went wrong.


Something went wrong.