Reigateball's profile picture. Community event to raise money and have fun at the same time. Email us: reigatecharityball@gmail.com
Find us on Facebook: Reigate Charity Ball 2018

Reigate Charity Ball

@Reigateball

Community event to raise money and have fun at the same time. Email us: [email protected] Find us on Facebook: Reigate Charity Ball 2018

This Croquet set from @JaquesLondon is worth a huge £599 and is in our silent auction. Head over to our silent auction page to get bidding on this gorgeous croquet set! myminiauction.com/reigatecharity… or have a look at the Jaques website for more detail jaqueslondon.co.uk/products/croqu…

Reigateball's tweet image. This Croquet set from @JaquesLondon is worth a huge £599 and is in our silent auction. Head over to our silent auction page to get bidding on this gorgeous croquet set! 
myminiauction.com/reigatecharity… 
or have a look at the Jaques website for more detail 
jaqueslondon.co.uk/products/croqu…

Sneak Peak Alert!! Here's the seating plan for the Ball on Saturday night - see if you're a dance floor lurker or dance floor shirker!

Reigateball's tweet image. Sneak Peak Alert!! 
Here's the seating plan for the Ball on Saturday night - see if you're a dance floor lurker or dance floor shirker!

The bidding wars have started on the silent auction - particular interest in the property in Swanage & those lovely vouchers from Quattro Rish! Remember the silent auction finishes at 10pm Friday evening so whilst you're painting your nails and polishing your shoes - get bidding!

Reigateball's tweet image. The bidding wars have started on the silent auction - particular interest in the property in Swanage & those lovely vouchers from Quattro Rish!
Remember the silent auction finishes at 10pm Friday evening so whilst you're painting your nails and polishing your shoes - get bidding!

Just a reminder for timings on Saturday - the Ball starts at 7pm sharp and closes at 1am.

Reigateball's tweet image. Just a reminder for timings on Saturday - the Ball starts at 7pm sharp and closes at 1am.

Less than a week to go! We've had our hair trial run and we are ready to party #MondayMotivation #MondayMood

Reigateball's tweet image. Less than a week to go! We've had our hair trial run and we are ready to party 
#MondayMotivation #MondayMood

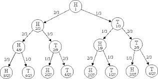
Heads or Tails? This is the very important question we will be asking you next Saturday night! The winner will get a case of Prosecco kindly donated by @TheCageWineBar You need to bring £5 CASH to play! Here is a simple and handy mathematic coin pattern and avoidance diagram

Reigateball's tweet image. Heads or Tails? This is the very important question we will be asking you next Saturday night! The winner will get a case of Prosecco kindly donated by @TheCageWineBar 
You need to bring £5 CASH to play!
Here is a simple and handy mathematic coin pattern and avoidance diagram

In better Rugby news: In our live auction we have a rugby training session with Ex London Wasps Pro Richard Birkett. and silent auction we have an England Rugby shirt signed by the current England 2018 squad! I bet they don't have prizes like this in Kiwi charity balls. We win.

Reigateball's tweet image. In better Rugby news:
In our live auction we have a rugby training session with Ex London Wasps Pro Richard Birkett.
and silent auction we have an England Rugby shirt signed by the current England 2018 squad!
I bet they don't have prizes like this in Kiwi charity balls. We win.

Wow those wine orders flew in! And some of you are catering for double your numbers by the looks of things!! We're still following up on the last of the food orders so please do get those back to us asap. Odd that we didn't need to chase the wine.

Reigateball's tweet image. Wow those wine orders flew in! And some of you are catering for double your numbers by the looks of things!! 
We're still following up on the last of the food orders so please do get those back to us asap.

Odd that we didn't need to chase the wine.

You've been waiting, we've been teasing and now the waiting and teasing have come together (like an exciting portmanteau). Here it is charity ball lovers the link to the live and silent auction page for the REIGATE CHARITY BALL 2018!!!! myminiauction.com/reigatecharity…


Our last live auction of the evening is an amazing 7 night holiday for 2 people to Morocco from the incredibly generous people @ROBINSON Discover the world of Arabian Nights - have a look at their website to see this stunning hotel: robinson.com/en/en/resort-h…


Did you know that this Friday is a very important day? "Why's that oh wise & mysterious charity ball Twitter person?" Well, I'll tell you - IT'S THE DAY THE AUCTION GOES LIVE!!!! We will be sharing the link to all our amazing auction prizes - watch this space!!!


Charity Ball attendees - please remember that this Friday is the deadline to submit your orders for the wine for your table. You don't wanna be THAT table with just sparkling water...it'll be funny though, for everyone else. #WednesdayWisdom

Reigateball's tweet image. Charity Ball attendees - please remember that this Friday is the deadline to submit your orders for the wine for your table. You don't wanna be THAT table with just sparkling water...it'll be funny though, for everyone else. #WednesdayWisdom

🎼The only way is up, baby, for you and me now...🎼 We have a helicopter ride over London for 1 person courtesy of @MorrLaw and a 30 minute small aircraft flight over Surrey for 2 people - both in our silent auction! Watch this space for when the auction is released!!

Reigateball's tweet image. 🎼The only way is up, baby, for you and me now...🎼
We have a helicopter ride over London for 1 person courtesy of @MorrLaw and a 30 minute small aircraft flight over Surrey for 2 people - both in our silent auction! 
Watch this space for when the auction is released!!

Another one of our headliners - 2 tickets on board a LUXURY yacht at the MONACO Grand Prix on the practise day (Thursday). Courtesy of Vision4Sport this is one for the serious F1 fans out there and will be a hot item! vision4sport.com/monaco

vision4sport.com

2026 Monaco Grand Prix Yacht Hospitality | VIP Tickets

Experience the Monaco Grand Prix in style with VIP yacht hospitality packages. Enjoy luxury views and premium race day access from the heart of the action.


Live auction headliner! A week's break in May half term in this stunning chalet in the Alps! There is so much to do here out of ski season with it's own sauna, hot tub & cinema room the only thing u need to ask yourself is whether to take the kids or not? myhomeinthealps.com/en/location/ch…

Reigateball's tweet image. Live auction headliner! A week's break in May half term in this stunning chalet in the Alps!
There is so much to do here out of ski season with it's own sauna, hot tub & cinema room the only thing u need to ask yourself is whether to take the kids or not?
myhomeinthealps.com/en/location/ch…

And not forgetting these two for the donations to our raffle for kids: #DishCeramicStudio for a painting session and an item to paint Full term of Lessons with @RS_Ballet #Reigatecharityball #donations #reigatecharityball2018


Thank you to these businesses for donating something for the kids: @SovereignGC for a months soft play minicrickets.com for a holiday course for 3 - 8 yr olds Jinglebugsmusic.co.uk for a 5 week babie and preschoolers course @InspireJo for half a term of lessons


We really are an active town - just look at the lycra on the school run - Thanks to: Yoga classes with @Reigate_Dance HiiT or Insanity classes with the gorgeous Helen @FitnessReigate 4 ball @reigatehillgolf Another 4 ball @reigateheath Get ready to get fit (er) Reigate!!


Loading...

Something went wrong.


Something went wrong.