TechKnowTopia's profile picture. Technology Integration Specialist, Computer Science, Technology, Business educator, mother of two....computer scientist, lifelong learner...eternal optimist!

TechKnowTopia

@TechKnowTopia

Technology Integration Specialist, Computer Science, Technology, Business educator, mother of two....computer scientist, lifelong learner...eternal optimist!

TechKnowTopia reposted

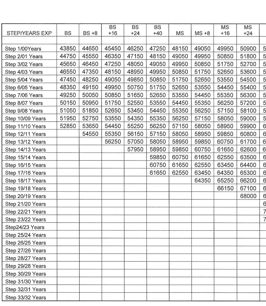
Here is our pay scale. Anyone want to come teach Kindergarten Welding Carpentry/woods ????

alicekeeler's tweet image. Here is our pay scale. Anyone want to come teach 
Kindergarten
Welding
Carpentry/woods
????

TechKnowTopia reposted

Wow this is great to know!!!


TechKnowTopia reposted

How to Insert Text Boxes in Google Docs controlaltachieve.com/2016/01/text-b… #ControlAltAchieve

ericcurts's tweet image. How to Insert Text Boxes in Google Docs controlaltachieve.com/2016/01/text-b…
#ControlAltAchieve

TechKnowTopia reposted

Another low-risk way to get to know each other has been a curated playlist of everyone's favorite songs. Each student selects two songs: their anthem and a song people would be surprised to know they love. I then put the songs into a Spotify playlist.


TechKnowTopia reposted

White House declared teachers as “essential workers”. But what does declaring them essential workers do?? “The guidance for essential workers states that they can continue to work even after exposure to a confirmed case of Covid-19, provided they remain asymptomatic.” Ummmmm...


TechKnowTopia reposted

Synchronous time should be about the students talking. Not direct instruction. #renotelearning

Oh my goodness...I totally agree with you! To your point, I’m advocating for creating robust asynchronous lessons which then allows synchronous time to be more engaging and collaborative for the students.



TechKnowTopia reposted

I totally agree! That is Recommendation #1 for educators in this document. It is worth the read. edpolicyinca.org/publications/s…


TechKnowTopia reposted
E_Sheninger's tweet image. Reflective Learning as the New Normal esheninger.blogspot.com/2018/06/reflec… #edchat #edutwitter #digilead

TechKnowTopia reposted

Backchanneling: The Why, How, and What (Best Tool) esheninger.blogspot.com/2018/06/backch… #edtech #edchat #FutureReady #edutwitter

E_Sheninger's tweet image. Backchanneling: The Why, How, and What (Best Tool) esheninger.blogspot.com/2018/06/backch… #edtech #edchat #FutureReady #edutwitter

TechKnowTopia reposted

Dance routine ... Programming routine, what's the difference? Teaching #Code through dance. 15 second TikTok dances are perfect too! #edTech #Coding

EduWells's tweet image. Dance routine ... Programming routine, what's the difference?
Teaching #Code through dance.
15 second TikTok dances are perfect too!
#edTech #Coding

TechKnowTopia reposted

Google Classroom: Give Parents a List of Assignments - alicekeeler.com/2020/07/22/goo…

alicekeeler's tweet image. Google Classroom: Give Parents a List of Assignments - alicekeeler.com/2020/07/22/goo…

TechKnowTopia reposted

I’m very excited about this all new integrated workspace for teams coming to Gmail, including an area for chat, files, and assigned tasks >> Coming soon: An integrated workspace in G Suite to help you make the most of your time gsuiteupdates.googleblog.com/2020/07/coming… #gsuiteedu #Productivity


TechKnowTopia reposted

Don't be afraid to step outside your comfort zone.

ImtaBrendan's tweet image. Don't be afraid to step outside your comfort zone.

United States Trends

Loading...

Something went wrong.


Something went wrong.