TensorThrottleX's profile picture. Crafting objective proof from vast and ambiguous datasets. Validating a chosen path to enable confident, decisive action.

#100DaysOfML

Ayush

@TensorThrottleX

Crafting objective proof from vast and ambiguous datasets. Validating a chosen path to enable confident, decisive action. #100DaysOfML

Pinned

Day 0 – The 100-Day Raw Grind Begins- Starting tomorrow, @TensorThrottleX , @BinaryBlaze16, & @_n1nj07 are going all in n out . DSA, development, and daily wins. No excuses. No shortcuts. Every line of code, every problem solved, every day counts.


Ayush reposted

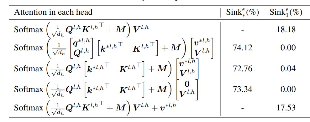
I noticed that @OpenAI added learnable bias to attention logits before softmax. After softmax, they deleted the bias. This is similar to what I have done in my ICLR2025 paper: openreview.net/forum?id=78Nn4…. I used learnable key bias and set corresponding value bias zero. In this way,…

gu_xiangming's tweet image. I noticed that @OpenAI added learnable bias to attention logits before softmax. After softmax, they deleted the bias. This is similar to what I have done in my ICLR2025 paper: openreview.net/forum?id=78Nn4….
I used learnable key bias and set corresponding value bias zero. In this way,…
gu_xiangming's tweet image. I noticed that @OpenAI added learnable bias to attention logits before softmax. After softmax, they deleted the bias. This is similar to what I have done in my ICLR2025 paper: openreview.net/forum?id=78Nn4….
I used learnable key bias and set corresponding value bias zero. In this way,…

Our open models are here. Both of them. openai.com/open-models



Day 81: Log your grind. Share your Gains. Prove your sweat counts. #100DaysRawGrind

Day 196 : DataScience Journey The Paper That Changed Deep Learning Forever: "Deep Residual Learning for Image Recognition" (He et al., 2015) Everyone knows ResNet is important, but most people still don’t actually get why it was such a big deal. The Core : 1>The Problem Everyone…

TensorThrottleX's tweet image. Day 196 : DataScience Journey
The Paper That Changed Deep Learning Forever: "Deep Residual Learning for Image Recognition" (He et al., 2015) 
Everyone knows ResNet is important, but most people still don’t actually get why it was such a big deal.
The Core :
1>The Problem Everyone…
TensorThrottleX's tweet image. Day 196 : DataScience Journey
The Paper That Changed Deep Learning Forever: "Deep Residual Learning for Image Recognition" (He et al., 2015) 
Everyone knows ResNet is important, but most people still don’t actually get why it was such a big deal.
The Core :
1>The Problem Everyone…
TensorThrottleX's tweet image. Day 196 : DataScience Journey
The Paper That Changed Deep Learning Forever: "Deep Residual Learning for Image Recognition" (He et al., 2015) 
Everyone knows ResNet is important, but most people still don’t actually get why it was such a big deal.
The Core :
1>The Problem Everyone…


Day 196 : DataScience Journey The Paper That Changed Deep Learning Forever: "Deep Residual Learning for Image Recognition" (He et al., 2015) Everyone knows ResNet is important, but most people still don’t actually get why it was such a big deal. The Core : 1>The Problem Everyone…

TensorThrottleX's tweet image. Day 196 : DataScience Journey
The Paper That Changed Deep Learning Forever: "Deep Residual Learning for Image Recognition" (He et al., 2015) 
Everyone knows ResNet is important, but most people still don’t actually get why it was such a big deal.
The Core :
1>The Problem Everyone…
TensorThrottleX's tweet image. Day 196 : DataScience Journey
The Paper That Changed Deep Learning Forever: "Deep Residual Learning for Image Recognition" (He et al., 2015) 
Everyone knows ResNet is important, but most people still don’t actually get why it was such a big deal.
The Core :
1>The Problem Everyone…
TensorThrottleX's tweet image. Day 196 : DataScience Journey
The Paper That Changed Deep Learning Forever: "Deep Residual Learning for Image Recognition" (He et al., 2015) 
Everyone knows ResNet is important, but most people still don’t actually get why it was such a big deal.
The Core :
1>The Problem Everyone…

Ayush reposted

CNNs didn’t just appear with AlexNet in 2012. The idea of convolution has been evolving for decades with new ideations like classical signal processing, Gabor Filters, wavelets and early CNNs. Concepts like Gabor Kernels are still used in face recognition tasks. Henceforth it…

Pseudo_Sid26's tweet image. CNNs didn’t just appear with AlexNet in 2012.
The idea of convolution has been evolving for decades with new ideations like classical signal processing, Gabor Filters, wavelets and early CNNs. 

Concepts like Gabor Kernels are still used in face recognition tasks. Henceforth it…

Day 80: Log your grind. Share the Gains. Prove your sweat counts. #100DaysRawGrind

Day 195 : DataScience Journey VGG16 Run Concludes Strong : 99.12% Train Accuracy & 98.78% Validation Moving Forward with ResNet Arch : ResNet paper 2015 (He et al.) : Deep Residual Learning for Image Recognition;) Training concluded with exceptional results ; 99.12% training…

TensorThrottleX's tweet image. Day 195 : DataScience Journey
VGG16 Run Concludes Strong : 99.12% Train Accuracy & 98.78% Validation
Moving Forward with ResNet Arch : ResNet paper 2015 (He et al.) : Deep Residual Learning for Image Recognition;)
Training concluded with exceptional results ; 99.12% training…
TensorThrottleX's tweet image. Day 195 : DataScience Journey
VGG16 Run Concludes Strong : 99.12% Train Accuracy & 98.78% Validation
Moving Forward with ResNet Arch : ResNet paper 2015 (He et al.) : Deep Residual Learning for Image Recognition;)
Training concluded with exceptional results ; 99.12% training…
TensorThrottleX's tweet image. Day 195 : DataScience Journey
VGG16 Run Concludes Strong : 99.12% Train Accuracy & 98.78% Validation
Moving Forward with ResNet Arch : ResNet paper 2015 (He et al.) : Deep Residual Learning for Image Recognition;)
Training concluded with exceptional results ; 99.12% training…
TensorThrottleX's tweet image. Day 195 : DataScience Journey
VGG16 Run Concludes Strong : 99.12% Train Accuracy & 98.78% Validation
Moving Forward with ResNet Arch : ResNet paper 2015 (He et al.) : Deep Residual Learning for Image Recognition;)
Training concluded with exceptional results ; 99.12% training…


Day 79: Log your grind. Share the Gains. Prove your sweat counts. #100DaysRawGrind

Day 194 : DataScience Journey Decoupled MLOps Architecture Validation: VGG16 Trained from Scratch Achieves 98.78% Validation Accuracy The hybrid Controller-Compute-Warehouse architecture is now fully operational and has been rigorously validated through end-to-end execution of a…

TensorThrottleX's tweet image. Day 194 : DataScience Journey
Decoupled MLOps Architecture Validation: VGG16 Trained from Scratch Achieves 98.78% Validation Accuracy 
The hybrid Controller-Compute-Warehouse architecture is now fully operational and has been rigorously validated through end-to-end execution of a…
TensorThrottleX's tweet image. Day 194 : DataScience Journey
Decoupled MLOps Architecture Validation: VGG16 Trained from Scratch Achieves 98.78% Validation Accuracy 
The hybrid Controller-Compute-Warehouse architecture is now fully operational and has been rigorously validated through end-to-end execution of a…


Day 194 : DataScience Journey Decoupled MLOps Architecture Validation: VGG16 Trained from Scratch Achieves 98.78% Validation Accuracy The hybrid Controller-Compute-Warehouse architecture is now fully operational and has been rigorously validated through end-to-end execution of a…

TensorThrottleX's tweet image. Day 194 : DataScience Journey
Decoupled MLOps Architecture Validation: VGG16 Trained from Scratch Achieves 98.78% Validation Accuracy 
The hybrid Controller-Compute-Warehouse architecture is now fully operational and has been rigorously validated through end-to-end execution of a…
TensorThrottleX's tweet image. Day 194 : DataScience Journey
Decoupled MLOps Architecture Validation: VGG16 Trained from Scratch Achieves 98.78% Validation Accuracy 
The hybrid Controller-Compute-Warehouse architecture is now fully operational and has been rigorously validated through end-to-end execution of a…

100DaysRawGrind : Re-introducing : A structure for people tired of their own excuses. Not motivation. Not inspiration. Execution. Daily. Public. How it Works: The idea is simple. -Choose ONE skill or domain you will transform in 100 days -Post raw proof of work every day, no…

TensorThrottleX's tweet image. 100DaysRawGrind :
Re-introducing :
A structure for people tired of their own excuses.
Not motivation. Not inspiration. Execution. Daily. Public.

How it Works:

The idea is simple.
-Choose ONE skill or domain you will transform in 100 days
-Post raw proof of work every day, no…

Day 78: Log your grind. Share the gains. Prove your sweat counts. #100DaysRawGrind

Day 193 : DataScience Journey The Controller -Compute -Warehouse Setup Is Now Fully Live (and it’s stupidly fast): -After last week’s bloodbath of dead runs and $2k+ in wasted GPU time, the new hybrid architecture is finally battle-hardened and running like clockwork. 1)…

TensorThrottleX's tweet image. Day 193 : DataScience Journey
The Controller -Compute -Warehouse Setup Is Now Fully Live (and it’s stupidly fast):
-After last week’s bloodbath of dead runs and $2k+ in wasted GPU time, the new hybrid architecture is finally battle-hardened and running like clockwork.

     1)…


Day 193 : DataScience Journey The Controller -Compute -Warehouse Setup Is Now Fully Live (and it’s stupidly fast): -After last week’s bloodbath of dead runs and $2k+ in wasted GPU time, the new hybrid architecture is finally battle-hardened and running like clockwork. 1)…

TensorThrottleX's tweet image. Day 193 : DataScience Journey
The Controller -Compute -Warehouse Setup Is Now Fully Live (and it’s stupidly fast):
-After last week’s bloodbath of dead runs and $2k+ in wasted GPU time, the new hybrid architecture is finally battle-hardened and running like clockwork.

     1)…

Day 77: Log your grind. Share the gains. Prove your sweat counts. #100DaysRawGrind

Day 192: DataScience Journey Remodifying Training Environment and Architecture: -Today was focused on continuing the automation reliably connect and use the remote GPU so runs don’t fail silently. The main fix addressed unstable remote startup and connection failures by 1.…

TensorThrottleX's tweet image. Day 192: DataScience Journey 
Remodifying Training Environment and Architecture:
-Today was focused on continuing the automation reliably connect and use the remote GPU so runs don’t fail silently. The main fix addressed unstable remote startup and connection failures by 1.…
TensorThrottleX's tweet image. Day 192: DataScience Journey 
Remodifying Training Environment and Architecture:
-Today was focused on continuing the automation reliably connect and use the remote GPU so runs don’t fail silently. The main fix addressed unstable remote startup and connection failures by 1.…


Day 192: DataScience Journey Remodifying Training Environment and Architecture: -Today was focused on continuing the automation reliably connect and use the remote GPU so runs don’t fail silently. The main fix addressed unstable remote startup and connection failures by 1.…

TensorThrottleX's tweet image. Day 192: DataScience Journey 
Remodifying Training Environment and Architecture:
-Today was focused on continuing the automation reliably connect and use the remote GPU so runs don’t fail silently. The main fix addressed unstable remote startup and connection failures by 1.…
TensorThrottleX's tweet image. Day 192: DataScience Journey 
Remodifying Training Environment and Architecture:
-Today was focused on continuing the automation reliably connect and use the remote GPU so runs don’t fail silently. The main fix addressed unstable remote startup and connection failures by 1.…

Day 76: Log your grind. Share the gains. Prove your sweat counts. #100DaysRawGrind

Day 191 : DataScience Journey Remodifying Training Environment Architecture: Today was focused on tightening the foundation of the entire training ecosystem from directory hygiene to error-handling pathways. The Training & Testing environment is no longer just a folder; it’s

TensorThrottleX's tweet image. Day 191 : DataScience Journey
Remodifying Training Environment Architecture:
Today was focused on tightening the foundation of the entire training ecosystem from directory hygiene to error-handling pathways. The Training & Testing environment is no longer just a folder; it’s
TensorThrottleX's tweet image. Day 191 : DataScience Journey
Remodifying Training Environment Architecture:
Today was focused on tightening the foundation of the entire training ecosystem from directory hygiene to error-handling pathways. The Training & Testing environment is no longer just a folder; it’s


Day 191 : DataScience Journey Remodifying Training Environment Architecture: Today was focused on tightening the foundation of the entire training ecosystem from directory hygiene to error-handling pathways. The Training & Testing environment is no longer just a folder; it’s

TensorThrottleX's tweet image. Day 191 : DataScience Journey
Remodifying Training Environment Architecture:
Today was focused on tightening the foundation of the entire training ecosystem from directory hygiene to error-handling pathways. The Training & Testing environment is no longer just a folder; it’s
TensorThrottleX's tweet image. Day 191 : DataScience Journey
Remodifying Training Environment Architecture:
Today was focused on tightening the foundation of the entire training ecosystem from directory hygiene to error-handling pathways. The Training & Testing environment is no longer just a folder; it’s

Day 75: Log your grind. Share the gains. Prove your sweat counts. #100DaysRawGrind

Day 190 : DataScience Journey Today’s Incremental Evolution: Why the need: ML workflows were scaling aggressively, but manual environment setups kept breaking pipelines every time dependencies changed or models switched. Today’s evolution fixes that by automating environment

TensorThrottleX's tweet image. Day 190 : DataScience Journey
Today’s Incremental Evolution:
Why the need: ML workflows were scaling aggressively, but manual environment setups kept breaking pipelines every time dependencies changed or models switched. Today’s evolution fixes that by automating environment
TensorThrottleX's tweet image. Day 190 : DataScience Journey
Today’s Incremental Evolution:
Why the need: ML workflows were scaling aggressively, but manual environment setups kept breaking pipelines every time dependencies changed or models switched. Today’s evolution fixes that by automating environment


Day 190 : DataScience Journey Today’s Incremental Evolution: Why the need: ML workflows were scaling aggressively, but manual environment setups kept breaking pipelines every time dependencies changed or models switched. Today’s evolution fixes that by automating environment

TensorThrottleX's tweet image. Day 190 : DataScience Journey
Today’s Incremental Evolution:
Why the need: ML workflows were scaling aggressively, but manual environment setups kept breaking pipelines every time dependencies changed or models switched. Today’s evolution fixes that by automating environment
TensorThrottleX's tweet image. Day 190 : DataScience Journey
Today’s Incremental Evolution:
Why the need: ML workflows were scaling aggressively, but manual environment setups kept breaking pipelines every time dependencies changed or models switched. Today’s evolution fixes that by automating environment

United States Trends

Loading...

Something went wrong.


Something went wrong.