Track_Unknown1's profile picture. #ZMSS

Track_the_Unknown

@Track_Unknown1

#ZMSS

Track_the_Unknown reposted

Exciting Updates, Zombie Mob! Read through this 🧵for more details on the NETZ airdrop for ZMSS holders among exciting updates with the Spacetime Bender collection.


Track_the_Unknown reposted

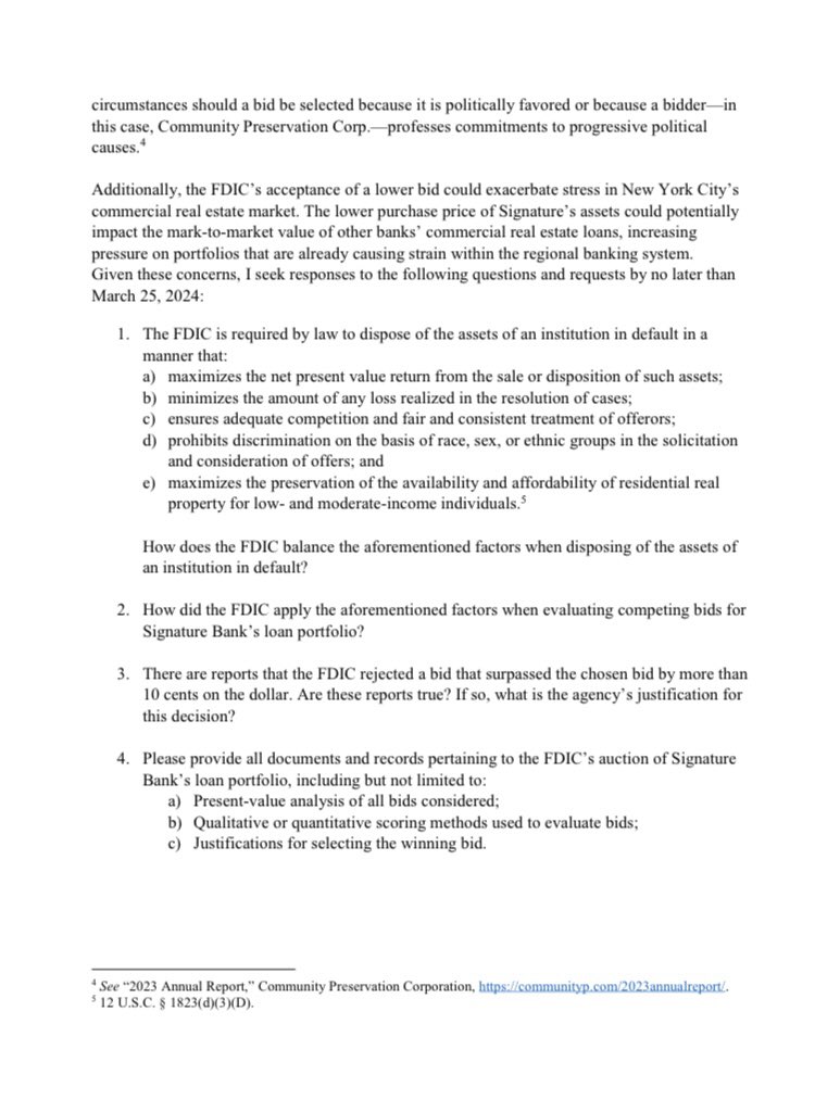
When auctioning the assets of failed institutions, the FDIC is required to protect taxpayers by maximizing the sale's value. Sources indicate that they did not do so with Signature Bank. I sent a letter to the @FDICgov seeking answers on its sale of Signature's loan portfolio.

SenatorHagerty's tweet image. When auctioning the assets of failed institutions, the FDIC is required to protect taxpayers by maximizing the sale's value. Sources indicate that they did not do so with Signature Bank. I sent a letter to the @FDICgov seeking answers on its sale of Signature's loan portfolio.
SenatorHagerty's tweet image. When auctioning the assets of failed institutions, the FDIC is required to protect taxpayers by maximizing the sale's value. Sources indicate that they did not do so with Signature Bank. I sent a letter to the @FDICgov seeking answers on its sale of Signature's loan portfolio.
SenatorHagerty's tweet image. When auctioning the assets of failed institutions, the FDIC is required to protect taxpayers by maximizing the sale's value. Sources indicate that they did not do so with Signature Bank. I sent a letter to the @FDICgov seeking answers on its sale of Signature's loan portfolio.

Track_the_Unknown reposted

We are incredibly excited to see how seed round 1 performed. It's time to do a giveaway! Winners: 5 Prize: 0.5 ETH per winner Rules: 1) Follow @mainnetz & @ZinuToken. 2) Retweet this post. 3) Tag 3 people on X in the comments and state what your favorite thing about #MainnetZ

This post is unavailable.

Track_the_Unknown reposted

Amazing job, #ZombieMob! Y’all have been working hard to get the #ZMSS #NFT floor up! To celebrate everyone’s efforts, we will be giving away NFT #8658 opensea.io/assets/ethereu… To qualify for the giveaway, please do the following: 🧟‍♂️ Like and Retweet this Post 🧟‍♂️ Follow…

ZinuToken's tweet image. Amazing job, #ZombieMob!

Y’all have been working hard to get the #ZMSS #NFT floor up!

To celebrate everyone’s efforts, we will be giving away NFT #8658
opensea.io/assets/ethereu…

To qualify for the giveaway, please do the following:

🧟‍♂️ Like and Retweet this Post
🧟‍♂️ Follow…

Track_the_Unknown reposted

Hey ya'll.. If you feel like supporting my fooling around with #zinu #fanart you are now able to do so. Tips with benefits: zfanart.myspreadshop.com 👕😉

d0llarice's tweet image. Hey ya'll.. If you feel like supporting my fooling around with #zinu #fanart you are now able to do so. Tips with benefits: zfanart.myspreadshop.com 👕😉

Track_the_Unknown reposted

THE #ZINU ANIMATION SERIES 😋💯 LETS GO @netflix @sony @Pixar

tymajestic's tweet image. THE #ZINU ANIMATION SERIES 😋💯 LETS GO @netflix @sony @Pixar

Track_the_Unknown reposted

🎆 As we celebrate Independence Day, let's ignite the spirit of freedom in the #Web3 world with #ZINU. Happy 4th of July weekend, #ZombieMob! 🇺🇸 Your belief fuels our mission to create an empowering, decentralized future. 💫 We're grateful for your unwavering faith. Together,…


Track_the_Unknown reposted

🎯 @ZinuToken & @mainnetz are redefining the #Web3 landscape! Together, we're creating a long-term, unbreakable bond with our community. Embrace the #ZINU way of building connections! 🚀 Our #Zinutoken is leading the charge into the future, bridging the gap between the physical…

ZinuToken's tweet image. 🎯 @ZinuToken & @mainnetz are redefining the #Web3 landscape! Together, we're creating a long-term, unbreakable bond with our community. Embrace the #ZINU way of building connections! 🚀

Our #Zinutoken is leading the charge into the future, bridging the gap between the physical…

$BFRG Volume traded is insane


@TerryTld1969 😃😃 did not think that way. That’s true if Jim says something it does opposite


$SBNY Trying to undead when was it declared as$8 by BoA and does anybody has a subscription to marketbeat to download the report


Track_the_Unknown reposted

The #ZINU team would like to thank everyone who has helped make our 1 year anniversary of our #ZMSS #NFTs a success! To celebrate this tremendous feat, we will be giving away one ZMSS #NFT from the Deployer wallet! Please continue with this thread for more details! 🧵 1/2


Track_the_Unknown reposted

This picture tells me that ⁦@SnoopDogg⁩ knows #zinu. Don’t sleep on #zinu. As you can see #zinu has big connections.#Zinu🔥🔥🚀🌕 #volt #zmss #D3N #crypto #Bnb

Genokfinance2's tweet image. This picture tells me that ⁦@SnoopDogg⁩ knows #zinu. Don’t sleep on #zinu. As you can see #zinu has big connections.#Zinu🔥🔥🚀🌕
#volt #zmss #D3N #crypto #Bnb

Track_the_Unknown reposted

Let’s goooooo, Dale!! Transactions 1000x faster than $ETH 🤯 and ZINU wallet coming?! ZINU branded where we can store our assets!! Plus, $ZINU staking in wallet?!? Let’s goooooo 🎁 wearezinu.com App being developed for Android and Apple 👀 @ZinuToken



Track_the_Unknown reposted

#MainnetZ details released. What other layer 1 blockchain can come close to mainnetz??

Zombie_Millsie's tweet image. #MainnetZ details released. What other layer 1 blockchain can come close to mainnetz??

Track_the_Unknown reposted

🧵 The fourth batch of v2 #ZINU tokens have been sent out. If you still need to migrate over your v1 tokens and you did not purchase ZINU v1 after November 7th at 2:18 pm EST, please go to wearezinu.com/migration. 1/2


Track_the_Unknown reposted

DJ Dogs for the win!

Megacab3D's tweet image. DJ Dogs for the win!

Loading...

Something went wrong.


Something went wrong.