_____raineffect's profile picture. #studytwt first year of shs ; The same song on repeat, you can call me anything you want.

AGA²⁵ || follback.

@_____raineffect

#studytwt first year of shs ; The same song on repeat, you can call me anything you want.

Pinned

Hi pals! I'm looking for new mutuals, friends #studytwt and other. First it all, - you can call me Aga - first year of shs - Soshum²⁵ Tag : #AMBISVERSE #STUDYACC #STUDYTWT (Help to like and retweet, Thank You!)


AGA²⁵ || follback. reposted

wonogiri😋

antarani_hana's tweet image. wonogiri😋

AGA²⁵ || follback. reposted
Finokartazis's tweet image.

AGA²⁵ || follback. reposted

Pecahan Istimewa: 1) 1/2: 0,5 2) 1/3: 0,33 3) 1/4: 0,25 4) 1/6: 0,1667 5) 1/8: 0,125 6) 2/3: 0,6667 7) 3/4: 0,75 8) 3/5: 0,6 9) 4/5: 0,8 10) 5/6: 0,8333 (nitip guys, siapa tau ada yang butuh)


AGA²⁵ || follback. reposted

Latsol persamaan kuadrat, Pembahasan menyusul

Sayangk75453530's tweet image. Latsol persamaan kuadrat,
Pembahasan menyusul
Sayangk75453530's tweet image. Latsol persamaan kuadrat,
Pembahasan menyusul

AGA²⁵ || follback. reposted

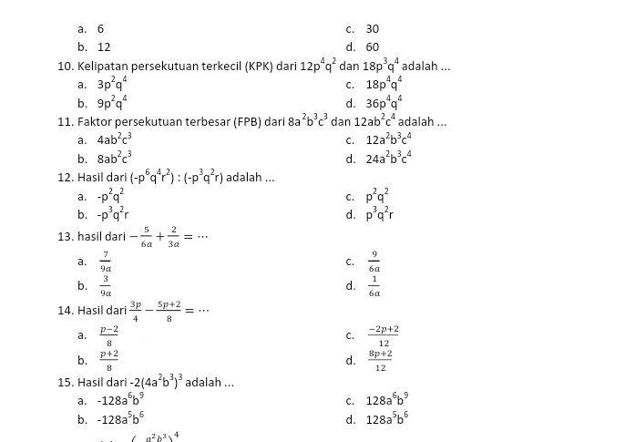
📖58 Latsol Aljabar Dasar - PK UTBK Harap mengerjakan berurutan karena latsol ini sdh disesuaikan levelnya mulai dari SMP > UN SMP > UTBK🦉 Sc: Pdf Scribd, Buku Big Bank SMP, Wangsit Om Jero 2025☘️ KJ? Aku drop di bawah👇🏻

Studylazy_'s tweet image. 📖58 Latsol Aljabar Dasar - PK UTBK

Harap mengerjakan berurutan karena latsol ini sdh disesuaikan levelnya mulai dari SMP > UN SMP > UTBK🦉

Sc: Pdf Scribd, Buku Big Bank SMP, Wangsit Om Jero 2025☘️

KJ? Aku drop di bawah👇🏻
Studylazy_'s tweet image. 📖58 Latsol Aljabar Dasar - PK UTBK

Harap mengerjakan berurutan karena latsol ini sdh disesuaikan levelnya mulai dari SMP > UN SMP > UTBK🦉

Sc: Pdf Scribd, Buku Big Bank SMP, Wangsit Om Jero 2025☘️

KJ? Aku drop di bawah👇🏻
Studylazy_'s tweet image. 📖58 Latsol Aljabar Dasar - PK UTBK

Harap mengerjakan berurutan karena latsol ini sdh disesuaikan levelnya mulai dari SMP > UN SMP > UTBK🦉

Sc: Pdf Scribd, Buku Big Bank SMP, Wangsit Om Jero 2025☘️

KJ? Aku drop di bawah👇🏻
Studylazy_'s tweet image. 📖58 Latsol Aljabar Dasar - PK UTBK

Harap mengerjakan berurutan karena latsol ini sdh disesuaikan levelnya mulai dari SMP > UN SMP > UTBK🦉

Sc: Pdf Scribd, Buku Big Bank SMP, Wangsit Om Jero 2025☘️

KJ? Aku drop di bawah👇🏻

AGA²⁵ || follback. reposted

beberapa kesalahan yang sering dilakukan semasa SMA (apalagi pejuang ptn) a thread #studytwt #studyacc #study

communicaarsy's tweet image. beberapa kesalahan yang sering dilakukan semasa SMA 
(apalagi pejuang ptn)

a thread
#studytwt #studyacc #study

AGA²⁵ || follback. reposted

*:゚・STUDY TIPS‼️ ✶ a guide to surviving senior highschool ; a thread by @eclvpsa #studytwt #AMBISVERSE

vcsaintz's tweet image. *:゚・STUDY TIPS‼️

✶ a guide to surviving senior highschool

; a thread by @eclvpsa 
#studytwt #AMBISVERSE

AGA²⁵ || follback. reposted

˚₊✩‧₊◜DO & DON'T KELAS 10 DI SEKOLAH A Thread by @gizellestudy [ #studytwt #studyacc #AMBISVERSE ]

apoctekk's tweet image. ˚₊✩‧₊◜DO & DON'T KELAS 10 DI SEKOLAH  

A Thread by @gizellestudy 
[ #studytwt #studyacc #AMBISVERSE ]

AGA²⁵ || follback. reposted

📢Breaking News! Update Informasi SNBP & UTBK-SNBT 2023 A Thread


#instagramdown nya udahan belum? takut banget buat buka ig lagi..


AGA²⁵ || follback. reposted

🖇·˚ ༘┊͙!☁️ˊHi there! ☁️ — I'm devina, u can call me dev ☁️ — 06L / 1st grade in shs so , let's be moots just rep/like ! Thankies <33 tag's : #AMBISVERSE #ambistwt #ambistwt #mutuals #studytwt #studyacc


AGA²⁵ || follback. reposted

GABUNGAN LATSOL SEJARAH, EKONOMI, GEOGRAFI sumber : thread kak @energenq @dewaambis drive.google.com/file/d/1QDTks9…


AGA²⁵ || follback. reposted

[LINK YOUTUBE 19-24 APRIL] 💬 English - Verb youtu.be/c4DqlphJYs4 🧬 Biologi - Ekosistem Pt. 1 youtu.be/ISO4-6MhOas 🌍 Geografi - Litosfer youtu.be/pq90T5Gei5k 🧮 Matematika - Fungsi kuadrat youtu.be/YUWM0t5FbSs 🌍 Geografi - Latsol UTBK youtu.be/X_853SlX--M

BersinarProject's tweet card. Latihan Soal UTBK Geografi Bareng Ziyah - #MenyinariGeografi

youtube.com

YouTube

Latihan Soal UTBK Geografi Bareng Ziyah - #MenyinariGeografi


AGA²⁵ || follback. reposted

hello everyone👋🏻, i'm looking for a new #moots, call me im. I'm fiveteen y.o, first year of shs🙇🏼‍♀️📚. let's be friend y'all #studytwt #studyacc


AGA²⁵ || follback. reposted

Hello #langtwt / #studytwt I’m Anna, 23 from Poland - speak - Polish 🇵🇱 and English 🇺🇸 - studying - Korean 🇰🇷 (low intermediate) - next in line: Japanese 🇯🇵/ Chinese 🇨🇳 Nice to meet you all~ Let’s be moots and help each other 🤗 Corrections are welcomed~


AGA²⁵ || follback. reposted

Hii, im new to #studytwt let's be moots ʕ ꈍᴥꈍʔ • ace (18 y.o) • soshum • i wanna improve my english skills (〒﹏〒) • books, music, anime, skz, kdrama, arts, taylor swift, iu and u kkkkkkkk


Loading...

Something went wrong.


Something went wrong.