_fixedatzero's profile picture.

-

@_fixedatzero

- reposted

NEW RELEASE: GH2GYM and 80SGYM Your new favorite way to play Vanilla GH2, or Vanilla GH80S. And the biggest news, after 20 years, gh2 finally has Separated Audio/Video calibration! Check out our orientation video in the reply.

jfosheezy's tweet image. NEW RELEASE:
GH2GYM and 80SGYM

Your new favorite way to play Vanilla GH2, or Vanilla GH80S.
And the biggest news, after 20 years, gh2 finally has Separated Audio/Video calibration!

Check out our orientation video in the reply.

- reposted

Ty guys sm for the love on my Invisigal 😭🫶

CandylionCos's tweet image. Ty guys sm for the love on my Invisigal 😭🫶

- reposted

RGアストレイのCMすき


- reposted

「MG 1/100 ガンダムバルバトスルプス」の箱絵を描かせていただきました。よろしくお願いします! bandai-hobby.net/item/01_6764/ #ガンプラ #鉄血のオルフェンズ

naochika0110's tweet image. 「MG 1/100 ガンダムバルバトスルプス」の箱絵を描かせていただきました。よろしくお願いします!

bandai-hobby.net/item/01_6764/
#ガンプラ #鉄血のオルフェンズ

- reposted

the awe in her eyes when she sees his mecha man suit </33 #dispatch #invisigal

stqrlett's tweet image. the awe in her eyes when she sees his mecha man suit &amp;lt;/33
#dispatch #invisigal
stqrlett's tweet image. the awe in her eyes when she sees his mecha man suit &amp;lt;/33
#dispatch #invisigal

- reposted

予算の都合もあり、 大体ありもの改修の指揮ザク人間。 塗り前。 #コスプレ

butakinoko2020's tweet image. 予算の都合もあり、
大体ありもの改修の指揮ザク人間。

塗り前。

#コスプレ

- reposted

nevermind

DeltyThe73rd's tweet image. nevermind

They should make a Deathscythe Gundam but it uses guns instead of a scythe

DeltyThe73rd's tweet image. They should make a Deathscythe Gundam but it uses guns instead of a scythe


- reposted

Cowboy Bebop (2001)

retro_anime's tweet image. Cowboy Bebop (2001)

The home team are so fucking good dude


- reposted

Invisigal // Dispatch 💛

CandylionCos's tweet image. Invisigal // Dispatch 💛

- reposted

Don't talk to me or my son ever again

aWiseMoose's tweet image. Don&apos;t talk to me or my son ever again

Introducing the Officially Licensed @PlayStation @GibsonGuitar SG Black 20th Anniversary Edition Guitar Controller! 🎸 20 years ago, a legend was born. It changed rhythm gaming forever. Now the 5-fret icon returns... reimagined. ✨ 👉 Secure yours: go.crkd.gg/sgbkps



- reposted

Whew, if this isn't truthtelling.

Marjorie Taylor Greene has been hated by the left for years and never feared for her life. She’s been hated by the right for two days and had to hire security.

NotHoodlum's tweet image. Marjorie Taylor Greene has been hated by the left for years and never feared for her life. She’s been hated by the right for two days and had to hire security.


- reposted

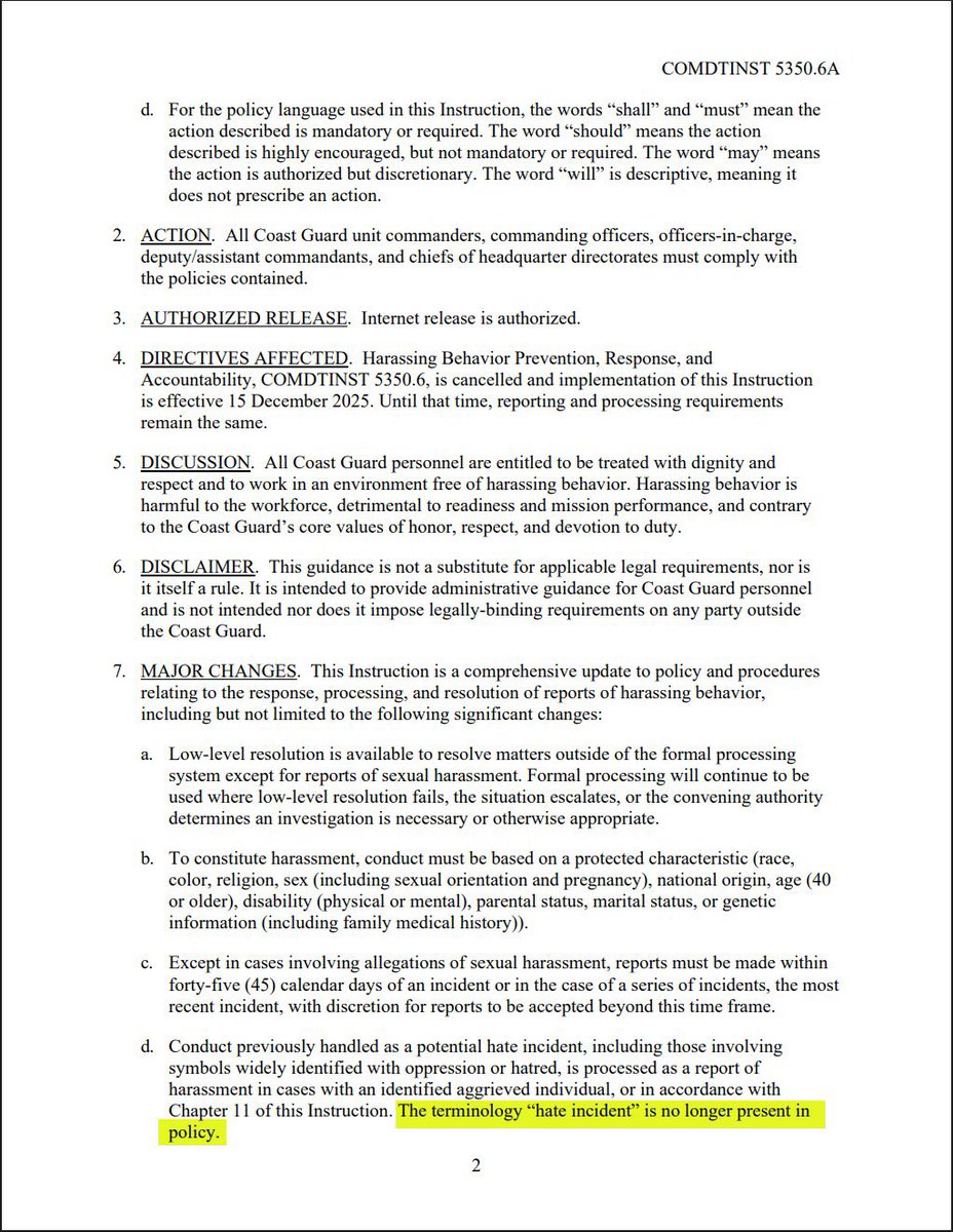
I’m so glad 418,500 Americans died defeating a “potentially divisive” ideology.

The U.S. Coast Guard will no longer classify the swastika, an emblem of fascism and white supremacy, as a hate symbol. Instead, the Coast Guard will classify the Nazi-era insignia as “potentially divisive” under its new guidelines. —Washington Post

RpsAgainstTrump's tweet image. The U.S. Coast Guard will no longer classify the swastika, an emblem of fascism and white supremacy, as a hate symbol. Instead, the Coast Guard will classify the Nazi-era insignia as “potentially divisive” under its new guidelines.
—Washington Post
RpsAgainstTrump's tweet image. The U.S. Coast Guard will no longer classify the swastika, an emblem of fascism and white supremacy, as a hate symbol. Instead, the Coast Guard will classify the Nazi-era insignia as “potentially divisive” under its new guidelines.
—Washington Post


- reposted

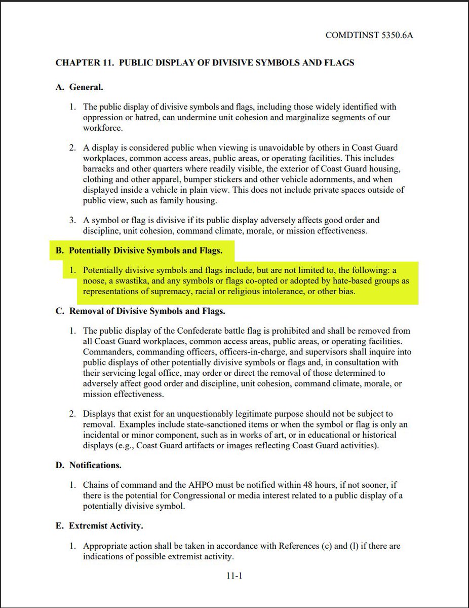
It’s literally on your website right now, you freaking walnuts. media.defense.gov/2025/Nov/14/20…

travisakers's tweet image. It’s literally on your website right now, you freaking walnuts.

media.defense.gov/2025/Nov/14/20…
travisakers's tweet image. It’s literally on your website right now, you freaking walnuts.

media.defense.gov/2025/Nov/14/20…

Y’all are just making things up now. 💀



- reposted

• A swastika is a hate symbol • It’s still Twitter • MAGA is a terrorist group • Vaccines do NOT cause autism • It’s still the Gulf of Mexico • ICE is just KKK in a new uniform • It’s still the Department of Defense • Donald Trump is a pedophile


- reposted

ICE lynched someone

This is beyond horrific. ICE is responsible for the well-being of people in immigration detention and it is failing that responsibility miserably. Mr. Ge’s loved ones and the American people need answers immediately. newsweek.com/ice-detainee-d…

RepJayapal's tweet image. This is beyond horrific.

ICE is responsible for the well-being of people in immigration detention and it is failing that responsibility miserably. Mr. Ge’s loved ones and the American people need answers immediately. newsweek.com/ice-detainee-d…


- reposted

nobody has noticed it

First Look at the 'STRANGER THINGS' Skins in Fortnite. (Source: @ShiinaBR)

DiscussingFish's tweet image. First Look at the &apos;STRANGER THINGS&apos; Skins in Fortnite. 

(Source: @ShiinaBR)
DiscussingFish's tweet image. First Look at the &apos;STRANGER THINGS&apos; Skins in Fortnite. 

(Source: @ShiinaBR)


- reposted

Donald Trump shares post calling for Democratic veterans to be hanged, after they urged the military to refuse illegal orders.

PopBase's tweet image. Donald Trump shares post calling for Democratic veterans to be hanged, after they urged the military to refuse illegal orders.
PopBase's tweet image. Donald Trump shares post calling for Democratic veterans to be hanged, after they urged the military to refuse illegal orders.

- reposted

The Gibson SG was the first guitar the original RedOctane ever made, a little over 20 years ago now. It's wonderful to see such an important part of RedOctane history recreated and modernized by our partners over at CRKD.

Introducing the Officially Licensed @PlayStation @GibsonGuitar SG Black 20th Anniversary Edition Guitar Controller! 🎸 20 years ago, a legend was born. It changed rhythm gaming forever. Now the 5-fret icon returns... reimagined. ✨ 👉 Secure yours: go.crkd.gg/sgbkps



- reposted

Introducing the Officially Licensed @PlayStation @GibsonGuitar SG Black 20th Anniversary Edition Guitar Controller! 🎸 20 years ago, a legend was born. It changed rhythm gaming forever. Now the 5-fret icon returns... reimagined. ✨ 👉 Secure yours: go.crkd.gg/sgbkps


Loading...

Something went wrong.


Something went wrong.