adebarwick's profile picture. Gentleman GT Racer and Ironman finisher || 3rd in British GT GT4 2014 || Double Dubai 24H Winner || Proud member of the BRDC||

Ade Barwick

@adebarwick

Gentleman GT Racer and Ironman finisher || 3rd in British GT GT4 2014 || Double Dubai 24H Winner || Proud member of the BRDC||

Andy Brodziak completed the VinFast IRONMAN® World Championship in a time of 10:04:13 (unofficial)! 🏊🚴🏃🏆 track.rtrt.me/e/IRM-WORLDCHA… #IMWC


Andy Brodziak completed Bike Finish. Time 05:07:04. track.rtrt.me/e/IRM-WORLDCHA… #IMWC


Andy Brodziak completed Swim. Time 01:03:17. track.rtrt.me/e/IRM-WORLDCHA… #IMWC


Andy Brodziak just started the VinFast IRONMAN® World Championship! 🏊🚴🏃Follow the race: track.rtrt.me/e/IRM-WORLDCHA… #IMWC


Ade Barwick reposted

What a throwback to our championship winning 2017 campaign with @Dano555 and @adebarwick!


Finally a positive!!

Series seven of Love Island will move to 2021 due to the Covid-19 pandemic. Statement - bit.ly/2SxNMR8

itvpresscentre's tweet image. Series seven of Love Island will move to 2021 due to the Covid-19 pandemic. Statement - bit.ly/2SxNMR8


Absolutely right!

What I have found interesting whilst in lockdown is the promotion of all the subjects that in school get the least appreciation; Art, Music, Sport. If they are all essential for keeping us sane in lockdown why aren’t they just as essential when it comes to funding?



Ade Barwick reposted

Yes "After decades of risk being downloaded onto individuals, the bill has arrived" One part of the solution has to be #UniversalBasicIncome. Leave no one destitute economist.com/business/2020/…


Ade Barwick reposted

Sir Stirling Moss. The word legend does not cover this immense talent. Rest In Peace.


Ade Barwick reposted

I see the siren calls for post-crisis austerity are already starting. If that happens, you will create a social crisis without precedent. Arduous work needs to start on the alternative right now


And not just in London .

What has astounded me most about London over the past few days is the smell of the air: the scent of earth, blossoms, trees, grass, dew, even morning mist... all revealed for the first time. It makes me wonder why we ever agreed to live without this most basic joy.



Ade Barwick reposted

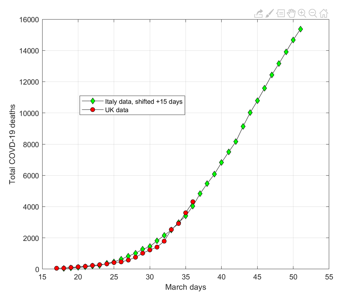
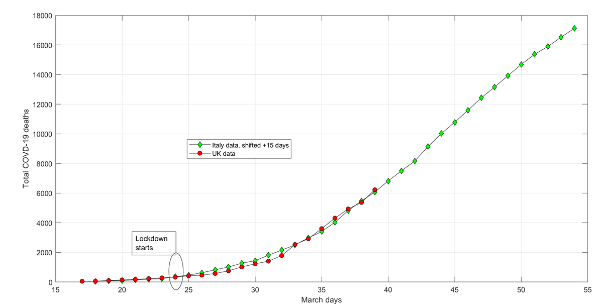
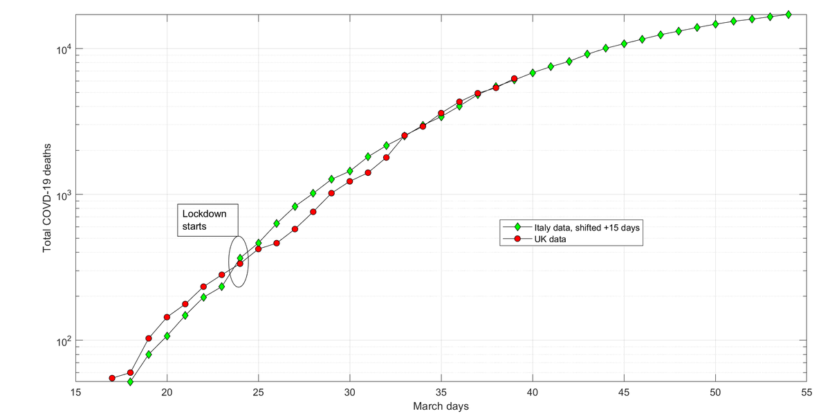
Latest update. The UK tracking of Italy's #COVID19 trajectory is now officially spooky, but good, in the sense that Italy seems to be at long last on the downward slope of cases and deaths. Both countries declared lockdown at roughly the same time in terms of fatalities. 1/

JKSteinberger's tweet image. Latest update. The UK tracking of Italy's #COVID19 trajectory is now officially spooky, but good, in the sense that Italy seems to be at long last on the downward slope of cases and deaths. Both countries declared lockdown at roughly the same time in terms of fatalities.
1/
JKSteinberger's tweet image. Latest update. The UK tracking of Italy's #COVID19 trajectory is now officially spooky, but good, in the sense that Italy seems to be at long last on the downward slope of cases and deaths. Both countries declared lockdown at roughly the same time in terms of fatalities.
1/

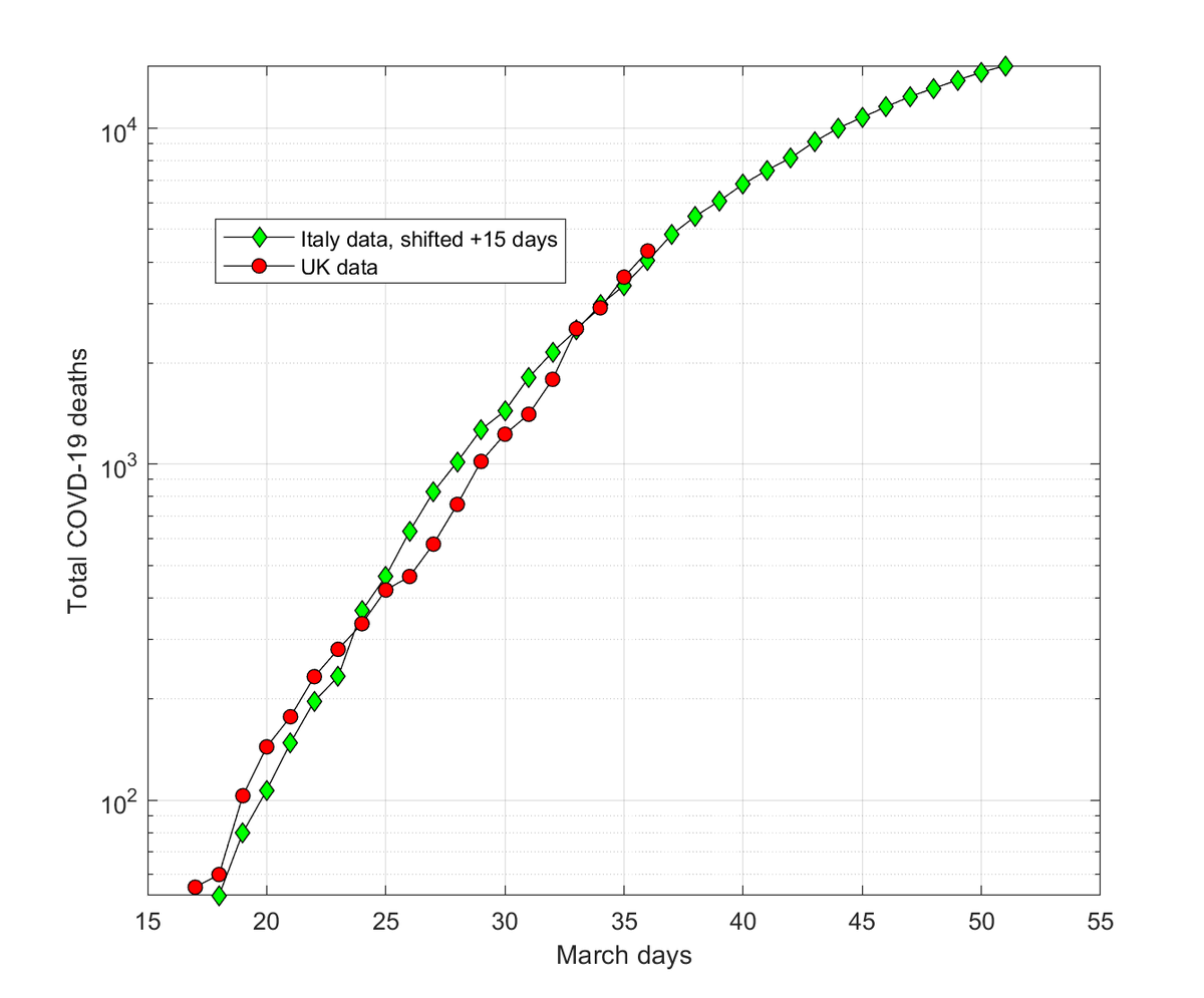
Update to the update: UK #COVID19 deaths now now above Italy if shifted 15 days, shown both linear and logged. The truly bad news is in the next tweet, though. 1/2

JKSteinberger's tweet image. Update to the update:  UK #COVID19 deaths now now above Italy if shifted 15 days, shown both linear and logged. The truly bad news is in the next tweet, though. 1/2
JKSteinberger's tweet image. Update to the update:  UK #COVID19 deaths now now above Italy if shifted 15 days, shown both linear and logged. The truly bad news is in the next tweet, though. 1/2


Ade Barwick reposted

In this time of crisis, @PositiveMoneyUK calls on the Bank of England to commit to direct monetary financing so that the government can spend to save lives - without the crushing burden of future debt repayments. youtube.com/watch?v=HLxF4W… #coronavirus

ProfSteveKeen's tweet card. To help tackle Covid-19 we need direct monetary financing

youtube.com

YouTube

To help tackle Covid-19 we need direct monetary financing


Ade Barwick reposted

You can walk or run or cycle through the park but if, instead, people sunbathe & picnic & barbecue the rules will change &/or they’ll get closed @MattHancock signals #marr


This is just fab!!!


Ade Barwick reposted

This virus is teaching us that from now on, living wages, guaranteed health care for all, unemployment & labor rights are not far left issues, but issues of right vs wrong & life vs death.


I hope, but am not holding my breathe, that this is a wake up call for how inequitable the US Healthcare system is.

So it’s official. We’re number one in the world for coronavirus cases, even surpassing China which has more than 4 times as many people as the United States. That’s because despite spending more money on healthcare than anyone else, we have one of the worst health systems around.



Meanwhile, at the White House

adebarwick's tweet image. Meanwhile, at the White House

Loading...

Something went wrong.


Something went wrong.