art_devlin's profile picture. Very patient, happily married lawyer with kids. Never, ever another Trump. Ex-Pat greater Bostonian, I ♥️ NY

Art Devlin

@art_devlin

Very patient, happily married lawyer with kids. Never, ever another Trump. Ex-Pat greater Bostonian, I ♥️ NY

Repost di Art Devlin

BREAKING: Republican Senator James Lankford on Fox News just blamed Donald Trump for there being no border security legislation. Retweet so every American sees Republicans blame Trump for the open border.


Just watched Aaron Rodgers on ESPN/Pat McAfee. He is an AHole. True self-aggrandized jerk. He didn't get vaxxed because he wants "medical independence". We know what that really means: " I can sneeze and cough on you minions, infect you and you can't do shit about it". Dick.


Repost di Art Devlin

Role models 💙

Questo tweet non è più disponibile.

Repost di Art Devlin

We think the AMERICAN people have come down firmly on this idea, and we hope you will RETWEET AND THEN LET YOU TRUE FEELINGS BE KNOWN!!

fireman452a's tweet image. We think the AMERICAN people have come down firmly on this idea, and we hope you will RETWEET AND THEN LET YOU TRUE FEELINGS BE KNOWN!!

Repost di Art Devlin

If you agree with Pete Aguilar, please RT & drop a 💙 #connectblue.

1drcole's tweet image. If you agree with Pete Aguilar, please RT &
 drop a 💙 #connectblue.

Repost di Art Devlin

The new version of the 3 Stooges. Trump puppets who’ll do anything to be in Fuhrer Trumps good graces.

BMWWHITESOXFAN's tweet image. The new version of the 3 Stooges. Trump puppets who’ll do anything to be in Fuhrer Trumps good graces.

Repost di Art Devlin

Nothing says obstruction of justice like Kevin McCarthy & Jim Jordan threatening to investigate Alvin Bragg’s investigation of Trump.

anyonewantchips's tweet image. Nothing says obstruction of justice like Kevin McCarthy & Jim Jordan threatening to investigate Alvin Bragg’s investigation of Trump.
anyonewantchips's tweet image. Nothing says obstruction of justice like Kevin McCarthy & Jim Jordan threatening to investigate Alvin Bragg’s investigation of Trump.

Repost di Art Devlin

Dear @Jim_Jordan: Local prosecutors, including DA Bragg, owe you nothing. In fact, it is illegal for you and @JudiciaryGOP to interfere in an ongoing criminal investigation, or a criminal trial (if there is one).

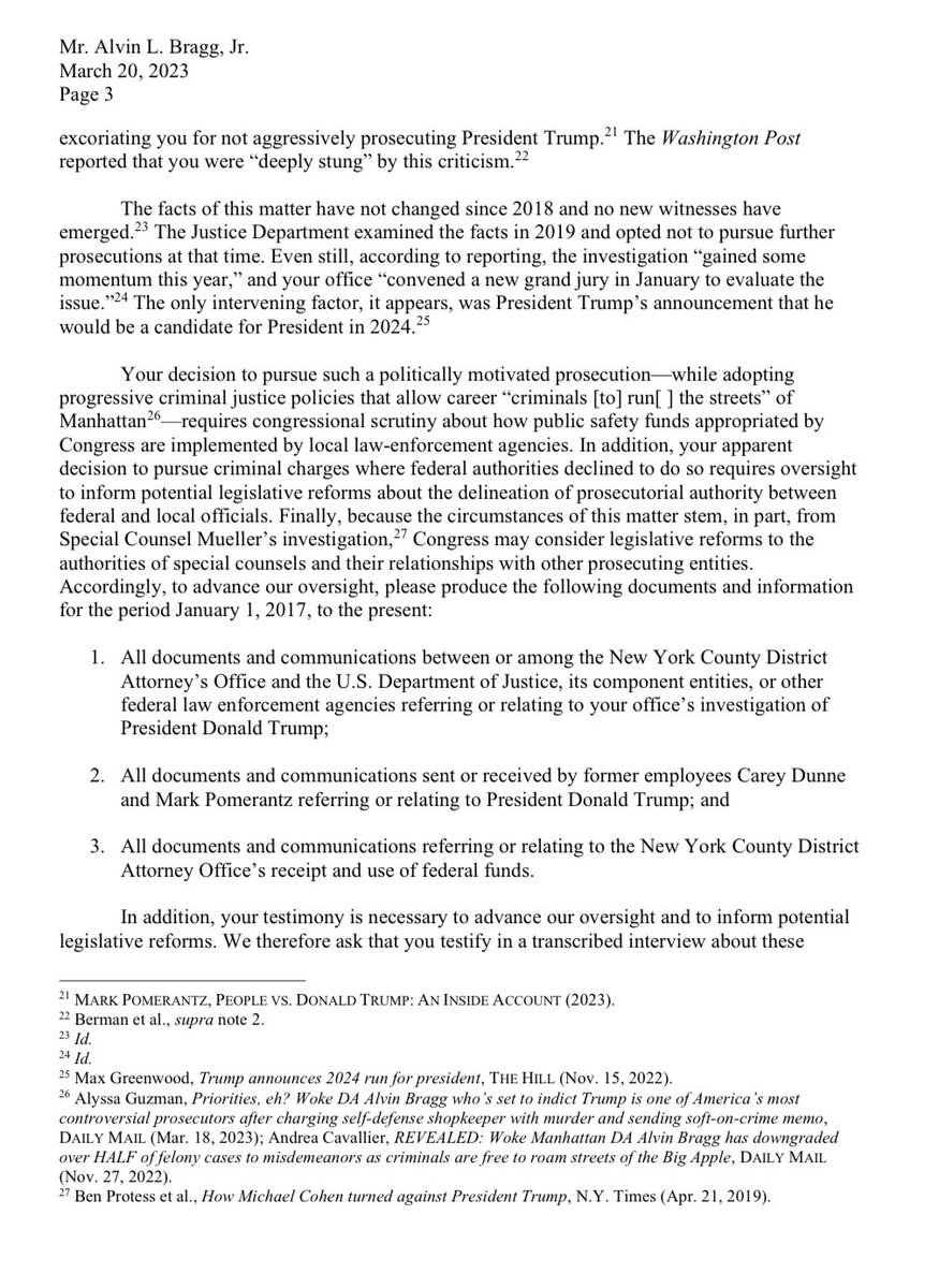
Was the Manhattan DA’s office in communication with DOJ about their investigation of President Trump? Was the Manhattan DA’s office using federal funds to investigate President Trump? Alvin Bragg owes our committee answers.

Jim_Jordan's tweet image. Was the Manhattan DA’s office in communication with DOJ about their investigation of President Trump? 

Was the Manhattan DA’s office using federal funds to investigate President Trump?

Alvin Bragg owes our committee answers.
Jim_Jordan's tweet image. Was the Manhattan DA’s office in communication with DOJ about their investigation of President Trump? 

Was the Manhattan DA’s office using federal funds to investigate President Trump?

Alvin Bragg owes our committee answers.
Jim_Jordan's tweet image. Was the Manhattan DA’s office in communication with DOJ about their investigation of President Trump? 

Was the Manhattan DA’s office using federal funds to investigate President Trump?

Alvin Bragg owes our committee answers.
Jim_Jordan's tweet image. Was the Manhattan DA’s office in communication with DOJ about their investigation of President Trump? 

Was the Manhattan DA’s office using federal funds to investigate President Trump?

Alvin Bragg owes our committee answers.


Repost di Art Devlin

Jesus, how can that fucking loser Tucker Carlson show his face in public?? What an absolute COWARD weasel rat TRAITOR he is. It's unbelievable. Anyone that STILL watches him on Fox ENTERTAINMENT is self declaring themself as an ignorant loser.


Repost di Art Devlin

If you agree with paid paternity leave, please drop 💙and RT. Let's #connectblue The research is detailed, & I know from experience that outcomes are better when parents can take leave to be with their families. However, the US needs to catch up with the rest of the world.


Repost di Art Devlin

Joe Manchin is a double dealing piece of shit. He’s been in secret meetings with republicans on a plan to cut social security. I absolutely despise this son of a bitch. He’s got his yacht,Maserati, and millions, and wants to help the GQP take away money we worked our lifetime for


Repost di Art Devlin

We would RT this over and over again, would you?

Was the Manhattan DA’s office in communication with DOJ about their investigation of President Trump? Was the Manhattan DA’s office using federal funds to investigate President Trump? Alvin Bragg owes our committee answers.

Jim_Jordan's tweet image. Was the Manhattan DA’s office in communication with DOJ about their investigation of President Trump? 

Was the Manhattan DA’s office using federal funds to investigate President Trump?

Alvin Bragg owes our committee answers.
Jim_Jordan's tweet image. Was the Manhattan DA’s office in communication with DOJ about their investigation of President Trump? 

Was the Manhattan DA’s office using federal funds to investigate President Trump?

Alvin Bragg owes our committee answers.
Jim_Jordan's tweet image. Was the Manhattan DA’s office in communication with DOJ about their investigation of President Trump? 

Was the Manhattan DA’s office using federal funds to investigate President Trump?

Alvin Bragg owes our committee answers.
Jim_Jordan's tweet image. Was the Manhattan DA’s office in communication with DOJ about their investigation of President Trump? 

Was the Manhattan DA’s office using federal funds to investigate President Trump?

Alvin Bragg owes our committee answers.


Repost di Art Devlin

The leading candidate for the Republicans wants you to know that he still trusts Vladimir more than American intelligence. He thinks he did the right thing in Helsinki.

StevenBeschloss's tweet image. The leading candidate for the Republicans wants you to know that he still trusts Vladimir more than American intelligence. He thinks he did the right thing in Helsinki.

Repost di Art Devlin

More grief and suffering from California, with 7 people felled in the Half Moon Bay massacre. What kind of country are we going to be? This is a national emergency and Congress must act this week.


Repost di Art Devlin

Happy Tuesday, #Resisters and all Non-MAGA! FOLLOWERS ONLY: To grow your account, Vet/Follow/FB all who Retweet. Please follow @rndulceavery. The party lasts for 24-hrs. #FollowParty #FBR #FBPE


Repost di Art Devlin

I am sick and f*cking tired of mass shootings and Republicans refusing to do anything about them.


Repost di Art Devlin

The next time you hear Republicans in Congress complaining about increasing IRS enforcement, remember that the richest 1 percent of Americans evade as much as $163 billion in taxes each year.


Repost di Art Devlin

Few women have worked harder than Liz Cheney to strip women of their rights to control their own bodies. This awful human is the "hero" of Democrats today. What a F joke.

donwinslow's tweet image. Few women have worked harder than Liz Cheney to strip women of their rights to control their own bodies.

This awful human is the "hero" of Democrats today.

What a F joke.

Loading...

Something went wrong.


Something went wrong.