basededu_'s profile picture. When it's dark outside, you're always the light

hipótese de riemann da silva

@basededu_

When it's dark outside, you're always the light

hipótese de riemann da silva reposted

isso é quase que aplicar num cdb

maluco jogando 3.000 reais em odd 1.07 KKKKKKKKKKKKKKKKKKKKKKK

PolonioCRF's tweet image. maluco jogando 3.000 reais em odd 1.07 KKKKKKKKKKKKKKKKKKKKKKK


e eu orava por ela todo dia kkkkkkkkkkk q bizarro


hipótese de riemann da silva reposted

A MANDIC, uma das mais caras faculdades de medicina particulares do Brasil, tirou 1 (de 0 a 5) no ENAMED, o novo exame de proficiência profissional em medicina. A faculdade ficou abaixo da nota mínima exigida pelo MEC. Os alunos da MANDIC não são cotistas é bom lembrar.

Tá explicada a nota 1 da Mandic no ENAMED



melhor faixa do juice fds KKKKKKKKKKKKK

basededu_'s tweet image. melhor faixa do juice fds KKKKKKKKKKKKK

hipótese de riemann da silva reposted

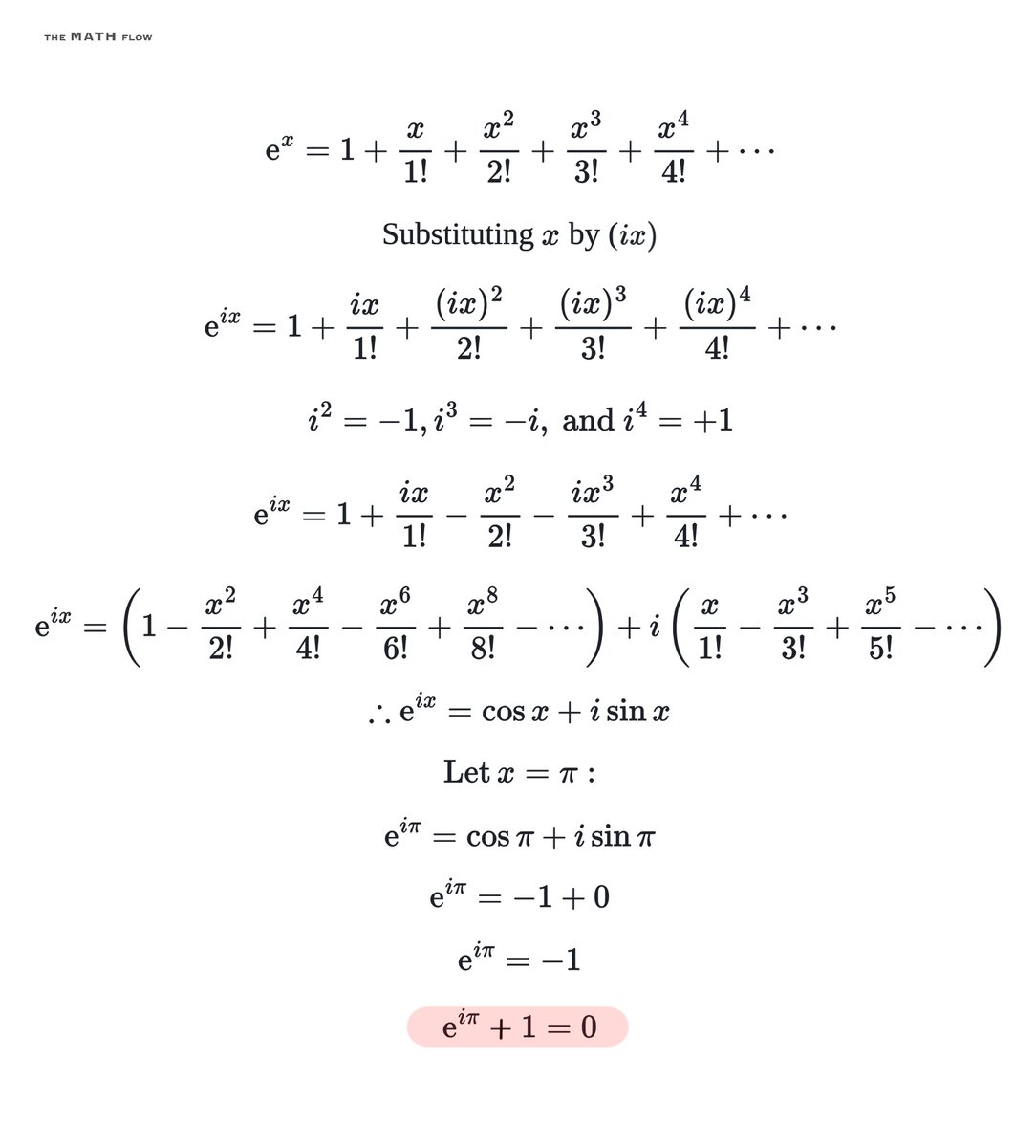
Euler's proof for Euler's Identity that he published in his classic " Introductio in analysin infinitorum" in 1748.

TheMathFlow's tweet image. Euler's proof for Euler's Identity that he published in his classic " Introductio in analysin infinitorum" in 1748.

hipótese de riemann da silva reposted
pardodog's tweet image.

oie = macho eae po = viadin se fazendo



quem diria que faculdade de medicina com vestibular online seria ruim KKKKKKKKKKKKKKK

Tá explicada a nota 1 da Mandic no ENAMED



hipótese de riemann da silva reposted

hypocrisy at its finest

gavitron128's tweet image. hypocrisy at its finest

basededu_'s tweet image.

amo poder falar esse tipo de coisa e n levar sermão pq a pessoa tem o mesmo humor podre q eu🤲🏻

jhjkangels's tweet image. amo poder falar esse tipo de coisa e n levar sermão pq a pessoa tem o mesmo humor podre q eu🤲🏻


hipótese de riemann da silva reposted

Tinha que fazer toxicológico pra entrar no Congresso Projeto amplamente votado por Cheirador pro valor da CNH não baixar tanto


hipótese de riemann da silva reposted

Técnica desenvolvida no Ceará, Brasil.

How Fish Skin Heals Burn Victims 😮



odeio ser grosso desnecessariamente


hipótese de riemann da silva reposted

never forget

OGBlackRedGuard's tweet image. never forget

hipótese de riemann da silva reposted

Who is this guy? This is the fucking energy we need. LFG


hipótese de riemann da silva reposted

Crianças jogadoras de Roblox usando a música "Calice", de Chico Buarque, em protestos contra as novas atualizações feitas no jogo.

acervybuarque's tweet image. Crianças jogadoras de Roblox usando a música "Calice", de Chico Buarque, em protestos contra as novas atualizações feitas no jogo.
acervybuarque's tweet image. Crianças jogadoras de Roblox usando a música "Calice", de Chico Buarque, em protestos contra as novas atualizações feitas no jogo.

hipótese de riemann da silva reposted
Math_files's tweet image.

eu juro q presto

eu realmente quero namorar uma red flag ambulante🙄



Tô estressado até com a minha sombra hoje


hipótese de riemann da silva reposted

Simplesmente Os Panteras Negras organizou patrulhas comunitárias e passou a monitorar diretamente as ações da polícia nos bairros periféricos da Filadélfia, após casos de violência policial contra jovens dessas comunidades.


Loading...

Something went wrong.


Something went wrong.