catalyst_Terry's profile picture. Live responsibly like you love the world around you, respect nature each other and protect this beautiful planet.
missing 🇪🇺 already.
#freepalestine

Terence Beckett

@catalyst_Terry

Live responsibly like you love the world around you, respect nature each other and protect this beautiful planet. missing 🇪🇺 already. #freepalestine

Terence Beckett reposted

Decode This ✍🏻

RVCJ_FB's tweet image. Decode This ✍🏻

Terence Beckett reposted

Another heinous #IsraeliWarCrime committed in the on-going #GazaGenocide - this time in Jabalia refugee camp - this slaughter is being justified by Biden and other sponsors and apologists. This is not ‘self-defence’, these are the actions of a terrorist state.

Scenes from Jabalia Camp in northern Gaza Strip where lsraeli warplanes have just committed an atrocity, killing 400 Palestinians.



Terence Beckett reposted

Retweet if you agree with Stephen King.

LePapillonBlu2's tweet image. Retweet if you agree with Stephen King.

Terence Beckett reposted

WIN tickets: England Vs Italy at @Twickenhamstad on Sunday, 12th February 🤩 To enter, give us a follow and retweet this tweet 🤝 Reply with 🏴󠁧󠁢󠁥󠁮󠁧󠁿 or 🇮🇹 below for who you think is going to win 👀 Good luck 🤞 #competition #sixnations #twickenhamstadium

JustPark's tweet image. WIN tickets: England Vs Italy at @Twickenhamstad on Sunday, 12th February 🤩

To enter, give us a follow and retweet this tweet 🤝

Reply with 🏴󠁧󠁢󠁥󠁮󠁧󠁿 or 🇮🇹 below for who you think is going to win 👀

Good luck 🤞

#competition #sixnations #twickenhamstadium

Terence Beckett reposted

316 MPs claimed their utility bills on expenses last year, with some members claiming more than £3,000 to cover their utilities. Please retweet this if you think MPs should pay for their own gas and electric.

LucyWoodslucy70's tweet image. 316 MPs claimed their utility bills on expenses last year, with some members claiming more than £3,000 to cover their utilities.   Please retweet this if you think MPs should pay for their own gas and electric.

Terence Beckett reposted

Yesterday was my last day at Twitter: the entire Human Rights team has been cut from the company. I am enormously proud of the work we did to implement the UN Guiding Principles on Business & Human Rights, to protect those at-risk in global conflicts & crises including Ethiopia,


This may be one of my last tweets... I dont believe a musk driven platform will align with my ethics.


Terence Beckett reposted

A former British army explosives expert says “this is a masterpiece of clandestine sabotage.” Importance of this is hard to exaggerate. #KerchBridge

BBCPaulAdams's tweet image. A former British army explosives expert says “this is a masterpiece of clandestine sabotage.”  Importance of this is hard to exaggerate. #KerchBridge

Terence Beckett reposted

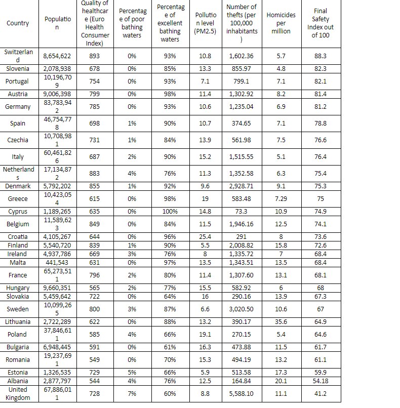
World Beating.

Interesting to see UK is now bottom of European countries safe-to-visit partly based on water quality. Way below Albania, the second lowest...

Curiosity7709's tweet image. Interesting to see UK is now bottom of European countries safe-to-visit partly based on water quality.  Way below Albania, the second lowest...


Loading...

Something went wrong.


Something went wrong.