chocomaths's profile picture. prof de maths au collège, maman en carton, autoconstruction passive

matheuse

@chocomaths

prof de maths au collège, maman en carton, autoconstruction passive

matheuse reposted

Découvrez dès à présent la calculatrice scientifique NumWorks ! 🤩 Cette nouvelle calculatrice NumWorks, idéale pour les collégiens , correspond parfaitement au programme ! Pour en savoir plus, rendez-vous sur notre site internet 👉 numworks.com/fr/


matheuse reposted

Sur mon-oral.net, il est maintenant possible de voir si une correction audio de l'enseignant a été lue par l'élève. Une barre affiche les sections lues et le % de lecture.

laurentabbal's tweet image. Sur mon-oral.net, il est maintenant possible de voir si une correction audio de l'enseignant a été lue par l'élève. Une barre affiche les sections lues et le % de lecture.
laurentabbal's tweet image. Sur mon-oral.net, il est maintenant possible de voir si une correction audio de l'enseignant a été lue par l'élève. Une barre affiche les sections lues et le % de lecture.

Quel mépris !!

Dans mon établissement, les heures d'aide en français pour les 6e sont dispensées par les instits des écoles d'où ils arrivent, donc par ceux responsables de leur niveau 🤡



matheuse reposted

🏗️ #uneIAparjour : construction en cours ! 🏗️ Le récapitulatif hebdomadaire des outils d'IA génératives publiés chaque jour sur uneIAparjour.fr se transforme en une lettre d'info chaque samedi. Vous embarquez avec moi ? Abonnement gratuit : uneiaparjour.substack.com/?r=43h2bq


matheuse reposted

Il n'y a pas de personnes handicapées mais une société handicapante Durant plusieurs mois, @fjazbinsek a suivi Eléonore Laloux écrivaine, militante, et 1ère conseillère municipale atteinte #trisomie21. Sa défense de #inclusion avec l'association Down'Up youtu.be/qmf8kVCdA-g?si…

ericanimes1's tweet card. [DOCUMENTAIRE] Éléonore

youtube.com

YouTube

[DOCUMENTAIRE] Éléonore


matheuse reposted

Quelques évolutions sur les exerciseurs et l’outil SUIVI (blog enseignant des maths) mathix.org/linux/archives…

durandarno's tweet image. Quelques évolutions sur les exerciseurs et l’outil SUIVI (blog enseignant des maths) mathix.org/linux/archives…

matheuse reposted

🎁 CONCOURS 🎁 Tentez de remporter la Yuto Horigome x Nike SB Dunk Low “Matcha” -RT + LIKE -Mentionnes ta taille sous ce tweet Fin du concours demain matin (8h) 🤝🏾✌🏾

Sneakerologue's tweet image. 🎁 CONCOURS 🎁 

Tentez de remporter la Yuto Horigome x Nike SB Dunk Low “Matcha”

-RT + LIKE
-Mentionnes ta taille sous ce tweet

Fin du concours demain matin (8h)

🤝🏾✌🏾
This post is unavailable.

matheuse reposted

S'il y a n personnes dans une salle et que toutes se serrent la main, il y aura au total n(n-1)/2 poignées de main. On appelle cela le problème des poignées de mains.


matheuse reposted

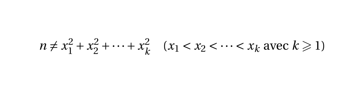
Il n’existe que 31 nombres entiers naturels qui ne peuvent pas s’écrire comme un carré ou comme la somme de carrés distincts. Ce sont : 2, 3, 6, 7, 8, 11, 12, 15, 18, 19, 22, 23, 24, 27, 28, 31, 32, 33, 43, 44, 47, 48, 60, 67, 72, 76, 92, 96, 108, 112 et 128.

AnecdotesMaths's tweet image. Il n’existe que 31 nombres entiers naturels qui ne peuvent pas s’écrire comme un carré ou comme la somme de carrés distincts. Ce sont : 2, 3, 6, 7, 8, 11, 12, 15, 18, 19, 22, 23, 24, 27, 28, 31, 32, 33, 43, 44, 47, 48, 60, 67, 72, 76, 92, 96, 108, 112 et 128.

matheuse reposted

Certaines espèces de cicada d’Amérique du Nord ne réapparaissent que tous les 13 ou 17 ans. Le fait que ces nombres soient premiers leur permet d'éviter de croiser leurs prédateurs qui ont des cycles de reproduction qui ne sont pas des diviseurs de 13 ou 17.

AnecdotesMaths's tweet image. Certaines espèces de cicada d’Amérique du Nord ne réapparaissent que tous les 13 ou 17 ans. Le fait que ces nombres soient premiers leur permet d'éviter de croiser leurs prédateurs qui ont des cycles de reproduction qui ne sont pas des diviseurs de 13 ou 17.

matheuse reposted

Si un triangle est inscrit dans un cercle et qu'un de ses côtés est un diamètre de ce cercle alors ce triangle est rectangle. Cette propriété porte le nom de théorème de Thalès dans plusieurs pays, sauf en France où le théorème de Thalès désigne une autre propriété.

AnecdotesMaths's tweet image. Si un triangle est inscrit dans un cercle et qu'un de ses côtés est un diamètre de ce cercle alors ce triangle est rectangle.
Cette propriété porte le nom de théorème de Thalès dans plusieurs pays, sauf en France où le théorème de Thalès désigne une autre propriété.

matheuse reposted

Un nombre premier différent de 2 est de la forme 4k+1 ou 4k+3. Tchebychev remarqua en 1853 que la plupart du temps il y a plus de nombres premiers de la forme 4k+3 que de nombres premiers de la forme 4k+1 inférieurs à un nombre donné. On appelle cela le biais de Tchebychev.


matheuse reposted

Le produit de trois nombres consécutifs est toujours divisible par 6. Exemple : 7 × 8 × 9 = 504 = 6 × 84


matheuse reposted

L’hypothèse chinoise est le nom donné à une conjecture énoncée au milieu du 19ème siècle par le mathématicien Li Shanlan qui dit qu’un nombre n est premier si, et seulement si, n divise 2ⁿ-2. Cette conjecture est fausse et le plus petit contre-exemple est n= 341.


matheuse reposted

Un nombre est divisible par 7 si, et seulement si, la somme de son nombre de dizaines et de cinq fois son chiffre des unités l'est. Exemple : pour savoir si 1694 est divisible par 7, on calcule : 169 + 5×4 = 189 18 + 5×9 = 63 Comme 63 est divisible par 7, alors 1694 aussi.


matheuse reposted

Chuck Norris (qui c'est ?) connait la dernière décimale de π ; il a aussi compté jusqu'à l'infini. Deux fois 🤣 Bonne fête π ! #Piday En attendant la réouverture du Palais venez aux Étincelles (prochains exposés le WE du 22/23) et consultez notre site ⤵️ palais-decouverte.fr/fr/explorer-no…

palaisdecouvert's tweet image. Chuck Norris (qui c'est ?) connait la dernière décimale de π ; il a aussi compté jusqu'à l'infini. Deux fois 🤣 
Bonne fête  π ! #Piday
En attendant la réouverture du Palais venez aux Étincelles (prochains exposés le WE du 22/23) et consultez notre site ⤵️
palais-decouverte.fr/fr/explorer-no…

matheuse reposted

"Cy", ou "icy"? Nous on a "pain au chocolat" ou "chocolatine", pendant un temps c'était "cy" ou "icy"! (du temps où c'était classe pour certains de prononcer "mémère" pour "mémoire").

Laelia_Ve's tweet image. "Cy", ou "icy"? 
Nous on a "pain au chocolat" ou "chocolatine", pendant un temps c'était "cy" ou "icy"! (du temps où c'était classe pour certains de prononcer "mémère" pour "mémoire").

matheuse reposted

Le nombre 593103437 est un nombre premier. Si vous insérez le chiffre 9 n'importe où à l'intérieur de ce nombre (par exemple entre le 1 et le 0), le nombre obtenu est encore un nombre premier.


matheuse reposted

UN petit tuto avec CartesMD (de @Cedric_Eyssette )et l'IA pour faire des flashcards : dispo : mathix.org/linux/archives… téléchargeable en fin d'article.

DurandJ10603421's tweet image. UN petit tuto avec CartesMD (de @Cedric_Eyssette )et l'IA pour faire des flashcards : dispo  : mathix.org/linux/archives…
téléchargeable en fin d'article.

matheuse reposted

Pour les personnes victimes de violences conjugales, on rappelle l’existence de cet outil appelé « mémo de vie » qui permet de garder une trace de tout ce qui s’est passé pour avoir des preuves le jour du dépôt de plainte france-victimes.fr/index.php/nos-…


Loading...

Something went wrong.


Something went wrong.