corazondechoque's profile picture. Run don’t walk 🥇🏃🏻‍♀️* Médico Internista Certificada* Doglover*Chihualover*Zenternista*Minimalista. 🐶

Dexme

@corazondechoque

Run don’t walk 🥇🏃🏻‍♀️* Médico Internista Certificada* Doglover*Chihualover*Zenternista*Minimalista. 🐶

Dexme reposted

Anda asaltando a chóferes de aplicación de @Uber_MEX y de @DiDi_Mexico la @FiscaliaCDMX ya lo busca ocurrió en Azcapotzalco. Agradecemos que compartas este video no tardas ni un segundo.


Valoración por Oncología por Cancerofobia 🙄

corazondechoque's tweet image. Valoración por Oncología por Cancerofobia 🙄

Dexme reposted

A muchos todavía les sorprende la familia chilanga de 20 personas que se fueron a comer gratis a un restaurante. Es la CDMX, no sorprende nada. Es la peor ciudad del país con la peor gente para en todos lo sentidos, viven jodiéndose unos a otros todo el tiempo y en cualquier…


Dexme reposted

Una sesión de hemodiálisis consume ~200 L de agua tratada que se desechan al drenaje. El riñón hace un trabajo mejor y más económico; filtra ~150 L de sangre por día y desecha solo ~1.5 L al drenaje. Mejor, prevenir y controlar la diabetes.


Dexme reposted

🚨 Hoy Morena da un golpe más a los profesionales de la salud Aprueba una reforma que los #criminaliza, les niega su derecho a ejercer la profesión en libertad y restringe el derecho a la #ObjeciónDeConciencia ❌Se estaría obligando al personal a realizar todo tipo de…


Dexme reposted

Al final apagaron mi teléfono y me aventaron mi teléfono y corrieron para que no pudiera tomar fotos, apenas si pude tomar estas pero sale muy movida la placa, Pero son las patrullas que están en Santa Fe, al rededor de la Ibero No callo porque nadie merece este trato


Dexme reposted

¡Ayúdanos en este concurso dándole like y RT! 🚀 Tu apoyo es muy importante. #HilandoCiencia2023 1. 🧬🧠 La Enfermedad de Parkinson (EP) impacta a millones globalmente, siendo el segundo trastorno neurodegenerativo más común. Acompáñanos en este hilo informativo y revelador.

OACerebro's tweet image. ¡Ayúdanos en este concurso dándole like y RT! 🚀 Tu apoyo es muy importante.

#HilandoCiencia2023

1. 🧬🧠 La Enfermedad de Parkinson (EP) impacta a millones globalmente, siendo el segundo trastorno neurodegenerativo más común. 

Acompáñanos en este hilo informativo y revelador.
OACerebro's tweet image. ¡Ayúdanos en este concurso dándole like y RT! 🚀 Tu apoyo es muy importante.

#HilandoCiencia2023

1. 🧬🧠 La Enfermedad de Parkinson (EP) impacta a millones globalmente, siendo el segundo trastorno neurodegenerativo más común. 

Acompáñanos en este hilo informativo y revelador.

Dexme reposted

Un Médico Experto es el que 📊sabe la Ciencia tras lo que hace 🔪lo hace Bien ⏳lo más Pronto posible 🛡️de forma Segura 💊con la menor cantidad de Intentos 🩸detecta y reconoce cuando se Equivoca 🩻se Actualiza y Capacita 📚Enseña 🔬Investiga Todos pueden! pero todos quieren?


Dexme reposted

Ser internista es tener… Enorme charla de Luis Alvarez en #17DM_SEMI

mmartinasenjo's tweet image. Ser internista es tener…

Enorme charla de Luis Alvarez en #17DM_SEMI

Dexme reposted

Esto si debe volverse viral… Gracias a ⁦@arturoelias⁩ por difundir la información 🙏🏻


Dexme reposted

Mujeres: Me caga que los hombres se refieran a las mujeres como objetos Also mujeres: Si tu rimel no funciona, cámbialo * Sorbito de café


Dexme reposted

Este gobierno "austero" ya se acabó toda la lana, despilfarraron nuestro dinero en sus transas y mamadas y ahora ya se van sobre nuestros ahorros para seguir robando. ¿Que sigue? , ¿la rifa del país para que López tenga Cash?

Garcimonero's tweet image. Este gobierno "austero" ya se acabó toda la lana, despilfarraron nuestro dinero en sus transas y mamadas y ahora ya se van sobre nuestros ahorros para seguir robando. ¿Que sigue? , ¿la rifa del país para que López tenga Cash?

Dexme reposted

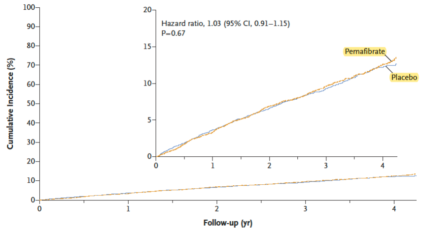
Recién llegado de #AHA22 ➡️ EC PROMINENT. ✅ Fibrato vs placebo en DM con TG 200-500 y HDL<40. ✅10.000 pts. ✅Endpoint: EVENTOS CV. ⛔️Ni una diferencia ⛔️Doble de TEP y 50% más fallo renal con fibrato. Sí, ⬇️25% TG y VLDL, pero ⬆️LDL 12% Mi conclusión: STOP FIBRATOS

Felipediezhoyo's tweet image. Recién llegado de #AHA22 ➡️ EC PROMINENT. 
✅ Fibrato vs placebo en DM con TG 200-500 y HDL&amp;lt;40. 
✅10.000 pts.
✅Endpoint: EVENTOS CV.
⛔️Ni una diferencia
⛔️Doble de TEP y 50% más fallo renal con fibrato.
Sí, ⬇️25% TG y VLDL, pero ⬆️LDL 12%
Mi conclusión: STOP FIBRATOS

Dexme reposted

📌La predicción de respuesta a líquidos 👏🏻Los líquidos son dañinos e inconstantemente efectivos bit.ly/3DxlNb3

paomorejon's tweet image. 📌La predicción de respuesta a líquidos

👏🏻Los líquidos son dañinos e inconstantemente efectivos

bit.ly/3DxlNb3
paomorejon's tweet image. 📌La predicción de respuesta a líquidos

👏🏻Los líquidos son dañinos e inconstantemente efectivos

bit.ly/3DxlNb3

Dexme reposted

Hoy los MIPS del Hospital 1 de Octubre decidieron suspender su labor por apoyo a Fer un MIP que fue detenido por policías federales de la instalación y llevado al MP por encontrar material en su mochila, mismo que se utiliza en el Hospital #JusticiaParaFer #MedicosInternos

Dra_danirg's tweet image. Hoy los MIPS del  Hospital 1 de Octubre decidieron suspender su labor por apoyo a Fer un MIP que fue detenido por policías federales de la instalación y llevado al MP por encontrar material en su mochila, mismo que se utiliza en el Hospital #JusticiaParaFer #MedicosInternos
Dra_danirg's tweet image. Hoy los MIPS del  Hospital 1 de Octubre decidieron suspender su labor por apoyo a Fer un MIP que fue detenido por policías federales de la instalación y llevado al MP por encontrar material en su mochila, mismo que se utiliza en el Hospital #JusticiaParaFer #MedicosInternos
Dra_danirg's tweet image. Hoy los MIPS del  Hospital 1 de Octubre decidieron suspender su labor por apoyo a Fer un MIP que fue detenido por policías federales de la instalación y llevado al MP por encontrar material en su mochila, mismo que se utiliza en el Hospital #JusticiaParaFer #MedicosInternos

Loading...

Something went wrong.


Something went wrong.