floevalies's profile picture. #studyacc

asyaa²⁶

@floevalies

#studyacc

asyaa²⁶ reposted

izin telat 4 menit kak 😀😀 my twt ngajak ribut hehehe @ethaanleeee

ndapgnftui's tweet image. izin telat 4 menit kak 😀😀 my twt ngajak ribut hehehe @ethaanleeee
ndapgnftui's tweet image. izin telat 4 menit kak 😀😀 my twt ngajak ribut hehehe @ethaanleeee

asyaa²⁶ reposted

*TUGAS 10 | LITERASI INGGRIS* ■ *soal* drive.google.com/file/d/14dhb4W… ■ *pembahasan* drive.google.com/file/d/1xvy_Ht… _info update kipk, snbp, dan snbt :_ whatsapp.com/channel/0029Va…


asyaa²⁶ reposted

Pembahasan PM TO #5 SAINSIN 2026 by Osyen 🍙 Buka file ini kalau sudah selesai TO-nya yah! Semoga membantu dan feel free buat nanya² atau koreksi 😼👍🏻 🔗LINK: drive.google.com/drive/folders/…

ocean_studyhub's tweet image. Pembahasan PM TO #5 SAINSIN 2026 by Osyen 🍙

Buka file ini kalau sudah selesai TO-nya yah! Semoga membantu dan feel free buat nanya² atau koreksi 😼👍🏻

🔗LINK: drive.google.com/drive/folders/…

asyaa²⁶ reposted

[H-98]{13} ‼️SNBT tinggal 3 bulan lagi‼️ 💬: Kalau sekarang baru mulai serius SNBT, udah telat gak sih? 👉Iya udah telat...kalau kamu gak tahu ini⤵️ (A THREAD) by: @meltodicc #snbt2026 #AMBISVERSE #utbk2026

meltodicc's tweet image. [H-98]{13}
‼️SNBT tinggal 3 bulan lagi‼️

💬: Kalau sekarang baru mulai serius SNBT, udah telat gak sih?
👉Iya udah telat...kalau kamu gak tahu ini⤵️

(A THREAD)
by: @meltodicc

#snbt2026 #AMBISVERSE #utbk2026

gojek error ya


asyaa²⁶ reposted

titip jalur langit🙏🏻

Accsounting's tweet image. titip jalur langit🙏🏻

asyaa²⁶ reposted

HAI! Siapa yang struggle di PK PM dan masih bingung tiap liat ketemu soal yang materi unsur2 lingkaran? Aku punya rangkumannya nih yang bisa kalian pahami & udah di persimpel dari buku-buku/modul. Jangan lupa share, repost, like, dan follow ygy!! PDF: drive.google.com/file/d/1Hk6tgV…

julsijoel's tweet image. HAI! Siapa yang struggle di PK PM dan masih bingung tiap liat ketemu soal yang materi unsur2 lingkaran? Aku punya rangkumannya nih yang bisa kalian pahami & udah di persimpel dari buku-buku/modul. Jangan lupa share, repost, like, dan follow ygy!!

PDF: drive.google.com/file/d/1Hk6tgV…

asyaa²⁶ reposted

asyaa²⁶ reposted

Allahumma laa sahla illa maa ja'altahu sahlaa, wa anta taj'alul hazna idza syi'ta sahlaa, ya Allah mudahkan yg membaca (akt 26) dalam seleksi masuk perguruan tinggi snbp/t ya Allah, luluhkanlah hati penyeleksi snbp atau mudahkanlah dalam mengerjakan utbk, Aamiin 🤲🏻🤲🏻🤲🏻

mw berdoa mustajab yg kmrn bikin temenku jadi ketos 😭



asyaa²⁶ reposted

𝐓𝐡𝐫𝐞𝐚𝐝 𝐒𝐍𝐁𝐓: 𝐏𝐊 & 𝐏𝐌 ୭ ˚. ᵎᵎ

rasya_belajar's tweet image. 𝐓𝐡𝐫𝐞𝐚𝐝 𝐒𝐍𝐁𝐓: 𝐏𝐊 & 𝐏𝐌 ୭ ˚. ᵎᵎ

asyaa²⁶ reposted

Dulu aku mulai serius SNBT justru dari awal tahun. Dan akhirnya bisa tembus 770+ Bukan karena aku yang jenius. Tapi karena mulai lebih awal dengan sistem yang bener🥇 Kalau kamu bingung dan mau nyiapin SNBT 2026 dari sekarang, baca ini sampai habis ⬇️

meltodicc's tweet image. Dulu aku mulai serius SNBT justru dari awal tahun.
Dan akhirnya bisa tembus 770+

Bukan karena aku yang jenius. Tapi karena mulai lebih awal dengan sistem yang bener🥇

Kalau kamu bingung dan mau nyiapin SNBT 2026 dari sekarang, baca ini sampai habis ⬇️

asyaa²⁶ reposted

📚 CATATAN PENTING UTBK ( fyi ini seingetku dapet dari twt juga tapi lupa usnnya) saluran info update snbp & snbt : whatsapp.com/channel/0029Va…

aniibelajar's tweet image. 📚 CATATAN PENTING UTBK 
( fyi ini seingetku dapet dari twt juga tapi lupa usnnya) 

saluran info update snbp & snbt : whatsapp.com/channel/0029Va…
aniibelajar's tweet image. 📚 CATATAN PENTING UTBK 
( fyi ini seingetku dapet dari twt juga tapi lupa usnnya) 

saluran info update snbp & snbt : whatsapp.com/channel/0029Va…
aniibelajar's tweet image. 📚 CATATAN PENTING UTBK 
( fyi ini seingetku dapet dari twt juga tapi lupa usnnya) 

saluran info update snbp & snbt : whatsapp.com/channel/0029Va…
aniibelajar's tweet image. 📚 CATATAN PENTING UTBK 
( fyi ini seingetku dapet dari twt juga tapi lupa usnnya) 

saluran info update snbp & snbt : whatsapp.com/channel/0029Va…

asyaa²⁶ reposted

my best lippie purchases of 2025:

malaeveeci's tweet image. my best lippie purchases of 2025:
malaeveeci's tweet image. my best lippie purchases of 2025:

asyaa²⁶ reposted

list beasiswa bulan desember : 1. Beasiswa Pemerintah Rusia (education-in-russia.com) 2. Beasiswa PPTI BCA Batch 2 (karir.bca.co.id/beasiswa-bca) 3. Beasiswa Garuda (beasiswagaruda.kemdiktisaintek.go.id) 4. Beasiswa Chula Global Library Visiting Fellowship Program 2026 (inter.chula.ac.th/news/25100/)


asyaa²⁶ reposted

TIPS & TRICK 😱⁉️ KERJAIN PU TANPA KEHABISAN WAKTU DENGAN HASIL MAKSIMAL ps: based on my experience, so correct me if im wrong and hope it helps 🪄 A THREAD 📚📝

in4mathics's tweet image. TIPS & TRICK 😱⁉️
KERJAIN PU TANPA KEHABISAN WAKTU DENGAN HASIL MAKSIMAL 
ps: based on my experience, so correct me if im wrong and hope it helps 🪄

A THREAD 📚📝

asyaa²⁶ reposted

Siapa yang belajarnya kayak gini? ☝️😂 Langsung ngerjain Soal Asli Tahun Lalu, tanpa belajar konsepnya? pas soalnya beda dikit, langsung nge-blank 😱 Hafalan itu rapuh. Pemahaman konsep itu abadi Terus gimana cara belajarnya biar Anti-Blank pas soalnya diubah? sebuah utas👇

nakamatika's tweet image. Siapa yang belajarnya kayak gini? ☝️😂 
Langsung ngerjain Soal Asli Tahun Lalu, tanpa belajar konsepnya?
pas soalnya beda dikit, langsung nge-blank 😱

Hafalan itu rapuh. Pemahaman konsep itu abadi

Terus gimana cara belajarnya biar Anti-Blank pas soalnya diubah? 

sebuah utas👇

asyaa²⁶ reposted

catatan syarat bilangan, untuk dasar materi PK/PM (matdas)

cawnoirs's tweet image. catatan syarat bilangan, untuk dasar materi PK/PM (matdas)
cawnoirs's tweet image. catatan syarat bilangan, untuk dasar materi PK/PM (matdas)

asyaa²⁶ reposted

Website buat latsol UTBK SNBT yg ringan2, lumayan banget nih untuk persiapan SNBT 2026. 🧵a thread

txtambis's tweet image. Website buat latsol UTBK SNBT yg ringan2, lumayan banget nih untuk persiapan SNBT 2026.

🧵a thread

asyaa²⁶ reposted

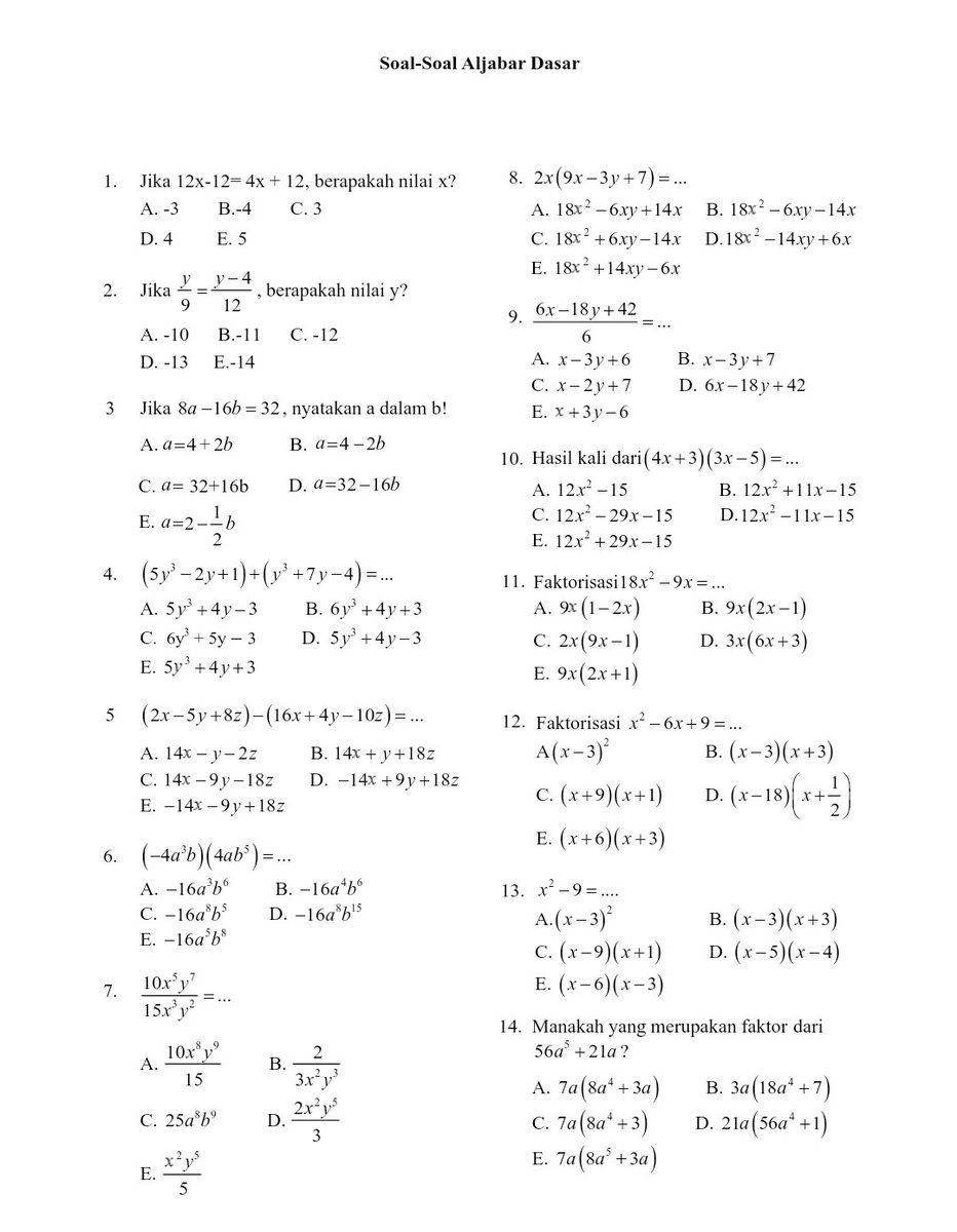
[H - 117 SNBT 2024] Subtes : PK/PM Materi : Aljabar Dasar Hari ini ada 100 soal aljabar dasar (sesuai request salah satu mootskuu). Soal-soalnya aku kumpulkan dari beberapa sumber. Seperti biasa kunci jawaban ada di reply yaa. Feel free to ask me! Sumber 1 :

rasya_belajar's tweet image. [H - 117 SNBT 2024]

Subtes : PK/PM
Materi : Aljabar Dasar

Hari ini ada 100 soal aljabar dasar (sesuai request salah satu mootskuu). Soal-soalnya aku kumpulkan dari beberapa sumber. Seperti biasa kunci jawaban ada di reply yaa. Feel free to ask me!

Sumber 1 :
rasya_belajar's tweet image. [H - 117 SNBT 2024]

Subtes : PK/PM
Materi : Aljabar Dasar

Hari ini ada 100 soal aljabar dasar (sesuai request salah satu mootskuu). Soal-soalnya aku kumpulkan dari beberapa sumber. Seperti biasa kunci jawaban ada di reply yaa. Feel free to ask me!

Sumber 1 :

asyaa²⁶ reposted

7. Spaced Repetition.📆 Setelah 1x pengulangan, hapalan kita paling bertahan 1 hari. Setelah 2x pengulangan, hapalan itu bertahan 5 hari. Setelah 3-5x pengulangan, hapalannya akan masuk ke memori jangka panjang (susah lupa).

ahnafau's tweet image. 7. Spaced Repetition.📆

Setelah 1x pengulangan, hapalan kita paling bertahan 1 hari.

Setelah 2x pengulangan, hapalan itu bertahan 5 hari.

Setelah 3-5x pengulangan, hapalannya akan masuk ke memori jangka panjang (susah lupa).

Loading...

Something went wrong.


Something went wrong.