fun_Fibonacci's profile picture. Erdős number 3.  F(n),L(n), φ=#Fibonacci, #Lucas number, #goldenratio.
https://x.com/Fibonacci_fun

H.O.(Japan)

@fun_Fibonacci

Erdős number 3. F(n),L(n), φ=#Fibonacci, #Lucas number, #goldenratio. https://x.com/Fibonacci_fun

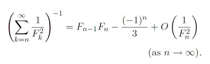
Fibonacci Quart. Problem H-698(i) by H.O.

fun_Fibonacci's tweet image. Fibonacci Quart. Problem H-698(i) by H.O.

今日思いついた, 自然数の [立方和=和の平方] の証明. ただし [奇数の和=平方和] は既知とする. これは新証明か?

fun_Fibonacci's tweet image. 今日思いついた, 自然数の [立方和=和の平方] の証明. ただし [奇数の和=平方和] は既知とする. これは新証明か?

Ramanujan's nested radical and its Fibonacci analogue (Fibonacci Quart. Problem B-1066) #Ramanujan #nestedradical

fun_Fibonacci's tweet image. Ramanujan's nested radical and its Fibonacci analogue (Fibonacci Quart. Problem B-1066) #Ramanujan #nestedradical

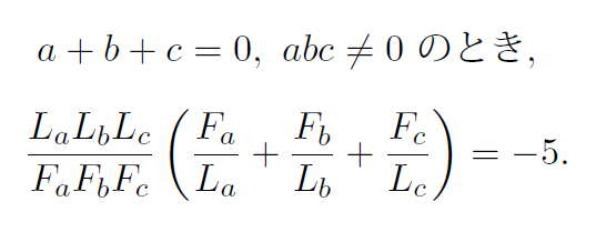
Fibonacci Quart. Problem B-1198 by H.O.

fun_Fibonacci's tweet image. Fibonacci Quart. Problem B-1198 by H.O.

黄金数, Fibonacci数を含んだ級数と連分数の不思議な関係.

fun_Fibonacci's tweet image. 黄金数, Fibonacci数を含んだ級数と連分数の不思議な関係.

Fibonacci Quart. Problem B-1103 by H.O.

fun_Fibonacci's tweet image. Fibonacci Quart. Problem B-1103 by H.O.

Fibonacci数に関する基礎知識

fun_Fibonacci's tweet image. Fibonacci数に関する基礎知識

AMM monthly problem 11956 by H.O.

fun_Fibonacci's tweet image. AMM monthly problem 11956 by H.O.

数学者ルジャンドルの顔が..... 有名な話だが2005年まで別人の肖像画で紹介されていた. それまでは穏やかな印象だったが今はコレ もし, ガウスの肖像画も急に「本当はこっちでした」ってコレな感じになったら皆さんはどう思いますか.

fun_Fibonacci's tweet image. 数学者ルジャンドルの顔が.....
有名な話だが2005年まで別人の肖像画で紹介されていた. それまでは穏やかな印象だったが今はコレ
もし, ガウスの肖像画も急に「本当はこっちでした」ってコレな感じになったら皆さんはどう思いますか.

United States เทรนด์

Loading...

Something went wrong.


Something went wrong.