Share the photo of my morning run, then go to sleep, the cold is really too uncomfortable

When your mood is as light as the wind, all your worries will disappear in an instant
Today's mood is like a stone that is pressed down and cannot be lifted up
$RKLB 🚀🚀🚀 (#rocketlab) I present to you, my fav Electron gif of all time:
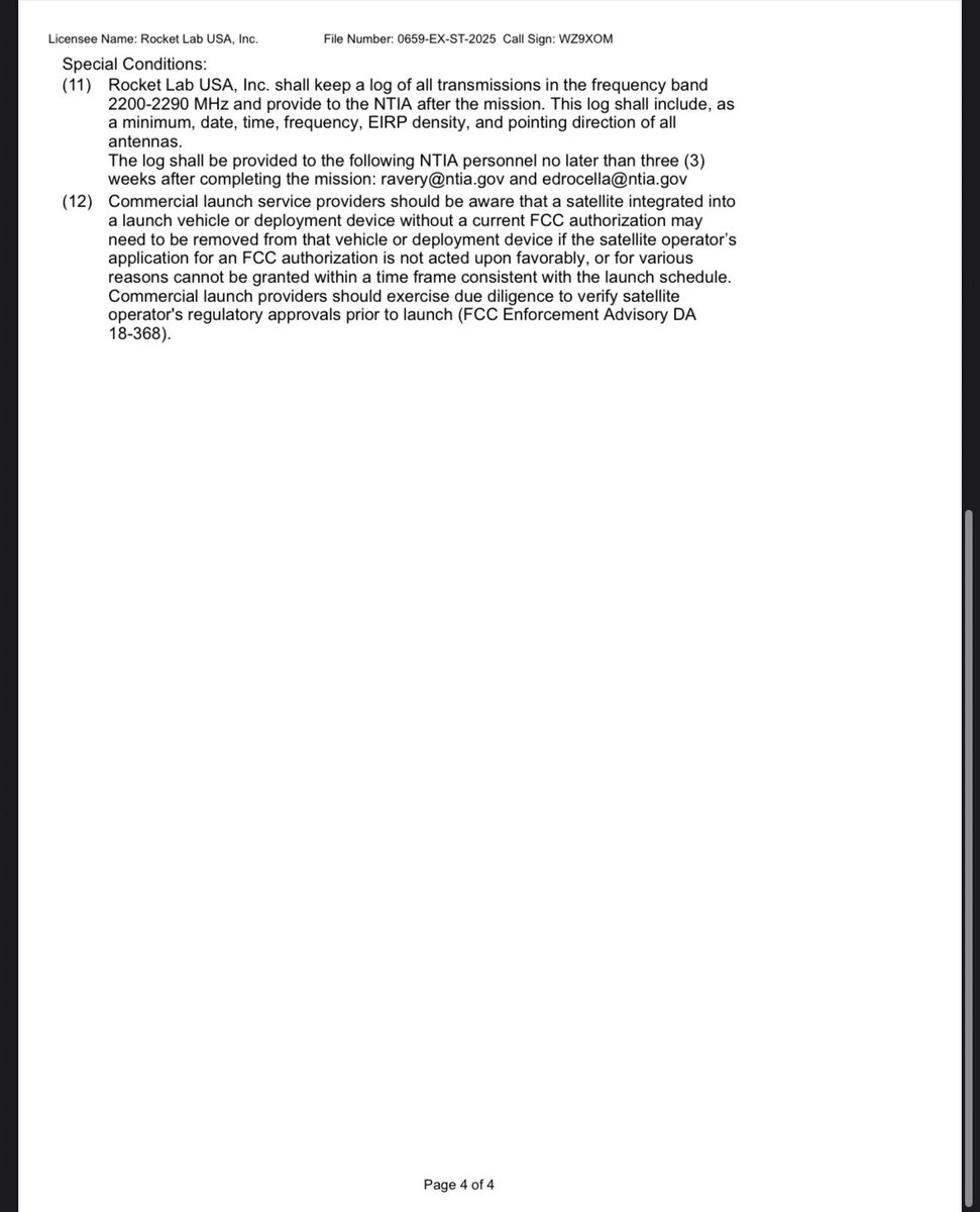
$RKLB 🚀 (#rocketlab) “FCC license granted for launch - NEUTRON MAIDEN FLIGHT All operations shall be limited to telemetry, tracking, and launch vehicle communications for **a single Neutron launch vehicle launch from Launch Complex 3 in Wallops Island, VA**. This…




$KTOS to jedna ze spółek która zauroczyła mnie swoim wykresem :) Tylko popatrzcie, coś pięknego idzie jak po sznurku ale tak naprawdę zauroczył mnie jej biznes i współpraca z #RocketLab tak własnie na nią wpadłem no i to była miłość od pierwszego kupienia.

$RKLB Rocket Lab'in Yeni Nesil Roketi Neutron Fırlatma Rampasına Nasıl Taşınacak? Fırlatma endüstrisinde rekabeti artırmayı hedefleyen #RocketLab, devasa Neutron roketinin parçalarını Virginia'daki yeni fırlatma rampasına ulaştırmak için sıra dışı bir lojistik sorunla karşı…

When you have long-term conviction in a company, you know exactly what to do on red days like today. It’s not about timing the top or bottom. It’s about how many shares you own when it matters most. $RKLB 🚀 #RocketLab #SpaceEconomy #RKLB

Updated pics of #RocketLab HQ Long Beach as well as the old Virgin Orbit huge facility they acquired. Twice as many Rocket Lab t-shirts walking around from previous. #RKLB.




Times like this is why refuse to sell covered calls on my long-term holdings. $RKLB #RocketLab @RocketLab
$RKLB SpaceX'e Rakip Olabilecek Mi? Rocket Lab ve Neutron Roketi Mercek Altında! 🚀 Uzay endüstrisinde heyecan yaratan California merkezli #RocketLab, SpaceX'in pazar hakimiyetine meydan okumaya hazırlanıyor. Şirketin, 2025'in ortalarında ilk kez fırlatılması beklenen yeni nesil…

Tired of watching from the sidelines? Come build rockets, spacecraft and flight hardware that actually makes it to space. Real missions. Real impact. Launch your career at Rocket Lab – apply now: rocketlabusa.com/careers/ #RocketLab #MoreThanRocketsinthisLab




$RKLB 🎯🚀ELECTRON🚀🎯(#rocketlab) Dedicated access to space for small satellites: "We have such great control over the accuracy of the position of the spacecraft and great control over the timing - we can put the spacecraft exactly where it needs to be, exactly when it needs to…
Playing ball for a while is fun, playing ball all the time is fun


United States Tendências
- 1. Jets 77.9K posts
- 2. Jets 77.9K posts
- 3. Justin Fields 7,623 posts
- 4. Aaron Glenn 4,006 posts
- 5. #HardRockBet 3,218 posts
- 6. Garrett Wilson 3,087 posts
- 7. London 210K posts
- 8. Sean Payton 1,462 posts
- 9. HAPPY BIRTHDAY JIMIN 130K posts
- 10. Tyrod 1,393 posts
- 11. #OurMuseJimin 177K posts
- 12. Bo Nix 2,794 posts
- 13. #DENvsNYJ 1,996 posts
- 14. #JetUp 1,849 posts
- 15. #30YearsofLove 155K posts
- 16. Peart 1,854 posts
- 17. Bam Knight N/A
- 18. Denver 13.6K posts
- 19. Kurt Warner N/A
- 20. Hail Mary 2,522 posts
Something went wrong.
Something went wrong.