hscbatch2013's profile picture. Updates for Batch 2013 (Class 2020) #ClassofCovid19 at @K_University • Faculty of Medicine | Account is handled by Rashed Alshatti & Fatima Alrahal

BATCH 2013

@hscbatch2013

Updates for Batch 2013 (Class 2020) #ClassofCovid19 at @K_University • Faculty of Medicine | Account is handled by Rashed Alshatti & Fatima Alrahal

고정된 트윗

New schedule

hscbatch2013's tweet image. New schedule

Congrats to everyone who got accepted into the Kuwaiti board residency programs today! 🩺 We’re proud of you all; class 2020!


BATCH 2013 님이 재게시함

@hscbatch2013 أعزائي خريجي كلية الطب 2020, للإجابة على جميع أسئلتكم وإستفساراتكم حول سنة الإمتياز و برامج البورد الكويتي و البعثات ضيفنا اليوم في “لقاء مع مسؤول Q&A” د. فواز الرفاعي الأمين العام لمعهد الكويت للإختصاصات الطبية KIMS Meeting ID عند ممثل الدفعة

manalbouhaimed's tweet image. @hscbatch2013 
أعزائي خريجي كلية الطب 2020, للإجابة على جميع أسئلتكم وإستفساراتكم حول سنة الإمتياز و برامج البورد الكويتي و البعثات
ضيفنا اليوم في
“لقاء مع مسؤول Q&A”
د. فواز الرفاعي الأمين العام لمعهد الكويت للإختصاصات الطبية KIMS
Meeting ID عند ممثل الدفعة

BATCH 2013 님이 재게시함

تحت رعاية نائب مدير جامعة الكويت لمركز العلوم الطبية د. عادل الحنيان يسر نادي التعليم الطبي والقيادة إستضافة د. فواز الرفاعي أمين عام معهد الكويت للإختصاصات الطبية اليوم للإجابة على أسئلة وإستفسارات خريجي كلية الطب 2020 @kims_news @K_University @alhunayan #أخلاقيات_الصحة_العامة

manalbouhaimed's tweet image. تحت رعاية نائب مدير جامعة الكويت لمركز العلوم الطبية د. عادل الحنيان يسر نادي التعليم الطبي والقيادة إستضافة د. فواز الرفاعي أمين عام معهد الكويت للإختصاصات الطبية اليوم للإجابة على أسئلة وإستفسارات خريجي كلية الطب 2020
@kims_news @K_University @alhunayan 
#أخلاقيات_الصحة_العامة

BATCH 2013 님이 재게시함

#هام و #عاجل .. #خاص لخريجي مركز العلوم الطبية .. سوف يتم الإعلان عن تسليم شهادات الخريجين بالفصل الدراسي الثاني ٢٠٢٠/٢٠١٩ فور استلامها من الكلية والمتوقع أن تكون في شهر نوفمبر القادم #kuniv #جامعة_الكويت


BATCH 2013 님이 재게시함

إدارة كلية الطب: هل ممكن تسليم الطلبة الخريجين (١١٤ طبيب و طبيبة) شهاداتهم او شهادة لمن يهمه الأمر بأنهم تخرجوا حتى يباشروا إجراءات تعيينهم في وزارة الصحة.. الكويت تحتاج خدماتهم @hscbatch2013 @KUWAIT_MOH @K_University @KuwaitiCM #أخلاقيات_الصحة_العامة


Congrats to our colleagues & friends in dentistry! #Class2020 🦷 We’ve finally all made it now as batch 2013! 🎓


Good luck for the first half of class 2020 in their final exam tomorrow. Almost there! 🎓 Group B, hang in there!


BATCH 2013 님이 재게시함

اليوم معكم في أول الامتحانات العملية الإكلينيكية لطلبة السنة النهائية بكلية الطب بجامعة الكويت أبنائي وبناتي...أرجو لكم التوفيق والنجاح والإنضمام للهيئة الطبية لخدمة المهنة والكويت قريباً @hscbatch2013 @K_University #COVIDー19 #أخلاقيات_الصحة_العامة


Make sure you complete your clearance form on KU-portal by tonight.


رسالة خاصة من د.منال بوحيمد 🎓

hscbatch2013's tweet image. رسالة خاصة من د.منال بوحيمد 🎓

BATCH 2013 님이 재게시함

“اللهمّ لا سهل إلّا ما جعلته سهلًا وأنت تجعل الحزن إذا شِئت سهلًا" كل التوفيق لطلبة السنة السابعة غداً في أول اختباراتهم النهائية. وفّقكم الله وسدد خطاكم في أولى الخطوات نحو التخرج 🎓⭐️

KuMSA_Q8's tweet image. “اللهمّ لا سهل إلّا ما جعلته سهلًا وأنت تجعل الحزن إذا شِئت سهلًا"

كل التوفيق لطلبة السنة السابعة غداً في أول اختباراتهم النهائية.

وفّقكم الله وسدد خطاكم في أولى الخطوات نحو التخرج 🎓⭐️

Final examination timetable. Good luck all!

hscbatch2013's tweet image. Final examination timetable. Good luck all!

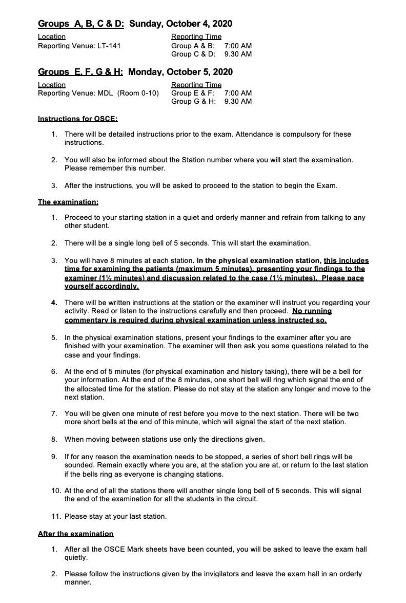
Medicine department guidelines

hscbatch2013's tweet image. Medicine department guidelines
hscbatch2013's tweet image. Medicine department guidelines
hscbatch2013's tweet image. Medicine department guidelines

BATCH 2013 님이 재게시함

طلبه جامعه الكويت سنه سابعه .. اي احد عنده اي سؤال بالسيرجري او محتاج مساعده بشرح اي شي انا حاضره.. اغلبكم يعرف رقمي الشخصي واللي ماعنده يدش علي دي ام 💙 موفقين يارب💙 @hscbatch2013


BATCH 2013 님이 재게시함

#هام و #عاجل : يرجى من الطلبة المتوقع تخرجهم بالفصل الدراسي الثاني ٢٠٢٠/٢٠١٩ في الكليات التالية : -كلية العلوم طبية مساعدة -كلية الطب -كلية الآداب -كلية الهندسة الدخول لنظام الطالب لإتمام عملية إخلاء الطرف #kuniv #جامعة_الكويت


Loading...

Something went wrong.


Something went wrong.