iii4step's profile picture. 4STEP数Ⅲの解答です。 見にくい所があれば気楽に申し付けください。 鍵垢でリプしてくる人がいますが見えませんので外してからリプしてください🙇‍♂️

4STEP解説 数Ⅲ

@iii4step

4STEP数Ⅲの解答です。 見にくい所があれば気楽に申し付けください。 鍵垢でリプしてくる人がいますが見えませんので外してからリプしてください🙇‍♂️

Pinned

これで全て載せ終わりです。 また、見にくいところがありましたら気軽にリプ又はDMをください。 対応させていただきます😉 今までありがとうございました😌


抜けていると指摘していただいたところです🙇 409〜418

iii4step's tweet image. 抜けていると指摘していただいたところです🙇
409〜418
iii4step's tweet image. 抜けていると指摘していただいたところです🙇
409〜418
iii4step's tweet image. 抜けていると指摘していただいたところです🙇
409〜418
iii4step's tweet image. 抜けていると指摘していただいたところです🙇
409〜418

抜けてました...😅 申し訳ありません🙇

iii4step's tweet image. 抜けてました...😅
申し訳ありません🙇

363ですね、失礼しました...


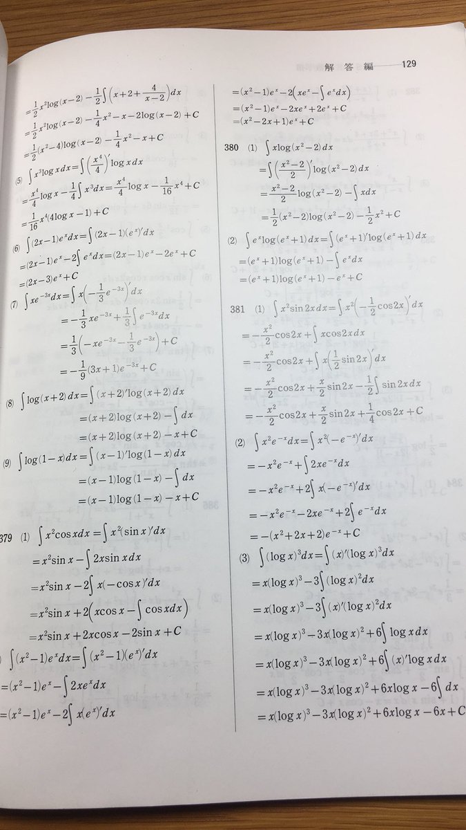
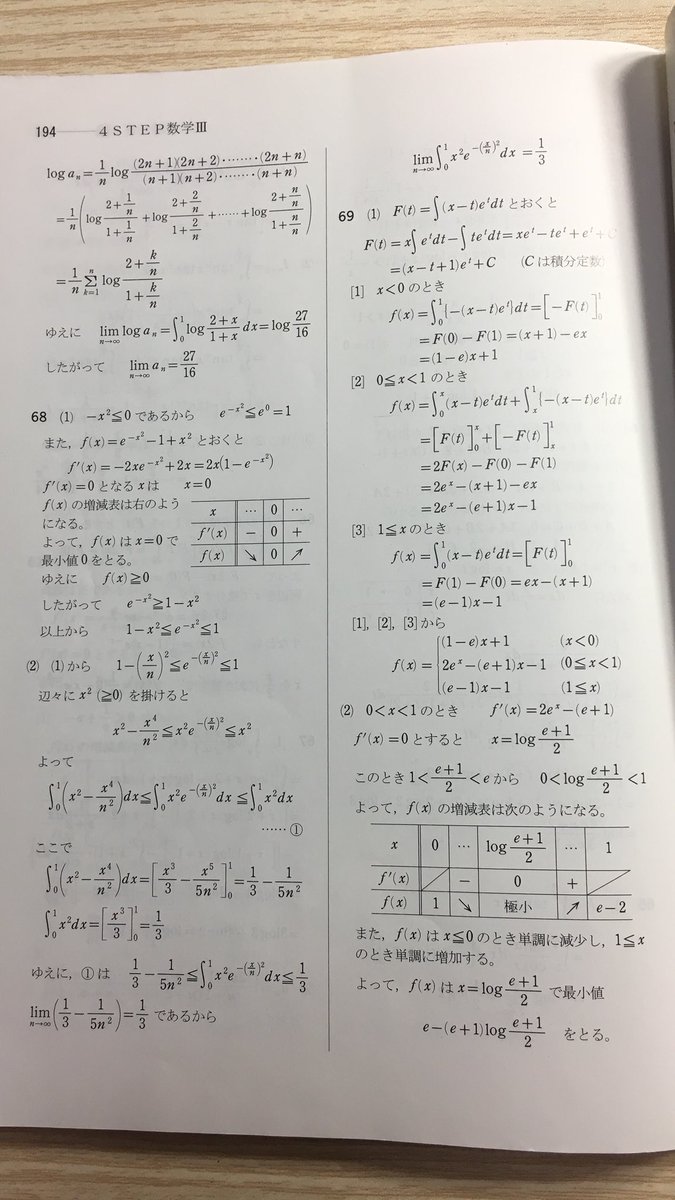
80〜82演習問題(終)

iii4step's tweet image. 80〜82演習問題(終)
iii4step's tweet image. 80〜82演習問題(終)
iii4step's tweet image. 80〜82演習問題(終)

This account does not follow anyone
Loading...

Something went wrong.


Something went wrong.