佐藤和也の計算ノート
@ka_mathnote
僕の作った問題の掲載。ふと気づいたことをつらつらと書いてます。
Joined December 2016
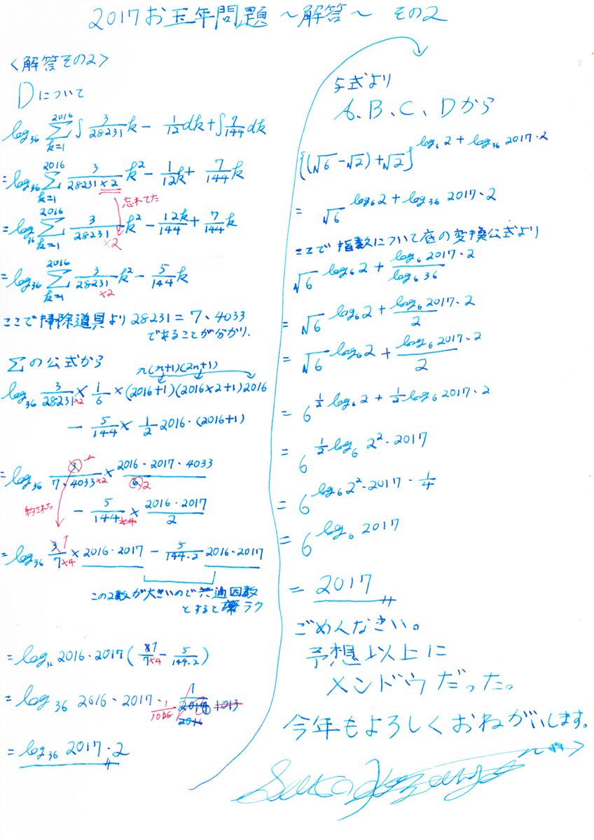
お年玉問題の解答です。正解は今年の年号2017です。難しかったみたいなので、勉強合宿までにもっと簡単な問題張ります。今年が皆様にとって楽しい1年になりますように。
0
0
0
0
0
あけましておめでとうございます。年賀状は届いたでしょうか。ここでは年賀状記載のお年玉問題の解答掲載を行います。そのほかにも僕の作った問題を載せておくので正月暇な人は是非解いてみて下さい。
0
0
0
0
0
United States Trends
- 1. #Fivepillarstoken 1,403 posts
- 2. Cyber Monday 32.7K posts
- 3. #IDontWantToOverreactBUT N/A
- 4. Good Monday 37.8K posts
- 5. #MondayMotivation 7,536 posts
- 6. TOP CALL 10.9K posts
- 7. Alina Habba 10.5K posts
- 8. Check Analyze N/A
- 9. Token Signal 2,607 posts
- 10. Mainz Biomed N/A
- 11. Victory Monday 1,060 posts
- 12. #MondayVibes 3,212 posts
- 13. Market Focus 2,343 posts
- 14. New Month 401K posts
- 15. #GivingTuesday 1,833 posts
- 16. Clarie 2,713 posts
- 17. Rosa Parks 3,166 posts
- 18. John Denver 1,752 posts
- 19. Home Is Where the Heart 5,463 posts
- 20. White House Christmas 6,495 posts
Loading...
Something went wrong.
Something went wrong.