physi_exercise's profile picture.

物理演習bot

@physi_exercise

Pinned

物理の演習をしています。 難易度、目安時間は大数評価と同じです。


京大入試実戦 2013/2014 第2回 難易度 力学 C***°

physi_exercise's tweet image. 京大入試実戦 2013/2014 第2回
難易度 
力学 C***°
physi_exercise's tweet image. 京大入試実戦 2013/2014 第2回
難易度 
力学 C***°
physi_exercise's tweet image. 京大入試実戦 2013/2014 第2回
難易度 
力学 C***°

【有名事実】

physi_exercise's tweet image. 【有名事実】

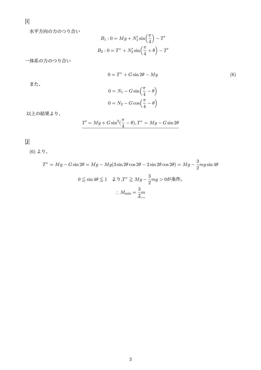
解答になります。

physi_exercise's tweet image. 解答になります。
physi_exercise's tweet image. 解答になります。
physi_exercise's tweet image. 解答になります。

東大入試プレ 第二回 電磁気 難易度 A** 球殻コンデンサの扱いを経験しておく

physi_exercise's tweet image. 東大入試プレ 第二回 電磁気
難易度 A**
球殻コンデンサの扱いを経験しておく
physi_exercise's tweet image. 東大入試プレ 第二回 電磁気
難易度 A**
球殻コンデンサの扱いを経験しておく


東大オープン2012 力学 難易度A**°

physi_exercise's tweet image. 東大オープン2012 力学
難易度A**°
physi_exercise's tweet image. 東大オープン2012 力学
難易度A**°

大阪大学(後期) 2008年 電磁気 難易度B** キルヒホッフを使いこなす.

physi_exercise's tweet image. 大阪大学(後期) 2008年 電磁気
難易度B**
キルヒホッフを使いこなす.
physi_exercise's tweet image. 大阪大学(後期) 2008年 電磁気
難易度B**
キルヒホッフを使いこなす.
physi_exercise's tweet image. 大阪大学(後期) 2008年 電磁気
難易度B**
キルヒホッフを使いこなす.

物理演習bot reposted

東大入試プレ 第二回 電磁気 難易度 A** 球殻コンデンサの扱いを経験しておく

physi_exercise's tweet image. 東大入試プレ 第二回 電磁気
難易度 A**
球殻コンデンサの扱いを経験しておく
physi_exercise's tweet image. 東大入試プレ 第二回 電磁気
難易度 A**
球殻コンデンサの扱いを経験しておく

解答解説です。 単振り子の公式は、 導出と暗記の両方を身につけましょう。

physi_exercise's tweet image. 解答解説です。
単振り子の公式は、
導出と暗記の両方を身につけましょう。
physi_exercise's tweet image. 解答解説です。
単振り子の公式は、
導出と暗記の両方を身につけましょう。
physi_exercise's tweet image. 解答解説です。
単振り子の公式は、
導出と暗記の両方を身につけましょう。

東京工業大学 2022年 力学 難易度 A***

physi_exercise's tweet image. 東京工業大学  2022年  力学
難易度  A***
physi_exercise's tweet image. 東京工業大学  2022年  力学
難易度  A***
physi_exercise's tweet image. 東京工業大学  2022年  力学
難易度  A***
physi_exercise's tweet image. 東京工業大学  2022年  力学
難易度  A***


【解答・解説】

physi_exercise's tweet image. 【解答・解説】
physi_exercise's tweet image. 【解答・解説】
physi_exercise's tweet image. 【解答・解説】

東京工業大学 2024年 力学 難易度 D*****

physi_exercise's tweet image. 東京工業大学  2024年  力学
難易度  D*****
physi_exercise's tweet image. 東京工業大学  2024年  力学
難易度  D*****
physi_exercise's tweet image. 東京工業大学  2024年  力学
難易度  D*****


United States Trends

Loading...

Something went wrong.


Something went wrong.