t_chandai's profile picture. クラシック音楽・落語・直接民主制に興味を持つ還暦過ぎたオッサンです。

高橋 大輔

@t_chandai

クラシック音楽・落語・直接民主制に興味を持つ還暦過ぎたオッサンです。

このオンライン署名に賛同をお願いします!「高市首相に台湾有事発言の撤回と中国への謝罪を求めます」 c.org/cB9NVN8wKY @change_jpから


元外務審議官、「質問した方も悪いという奇妙な論理は聞きたくない」高市首相の『台湾有事』答弁めぐる質問への批判に指摘(中日スポーツ) #Yahooニュース news.yahoo.co.jp/articles/3278c…


このオンライン署名に賛同をお願いします!「無実の人を救う法改正を、一刻も早く! 秋の臨時国会で再審法改正を速やかに審議・可決してください」 c.org/6fxYMWK65C @change_jpより


「どうなる?コメの価格 どうする!クマ対策」 ~日本の農業の現状と将来・鳥獣被害の対策について生産者・市民それぞれの立場で考える ■日時:2025年11月22日(土)18:30~(開場18:00) ■会場:カナモトホール2F第2会議室 ■参加費:500円 ■講師:徳永エリ(立憲民主党参議院議員) #コメ高騰

t_chandai's tweet image. 「どうなる?コメの価格 どうする!クマ対策」
~日本の農業の現状と将来・鳥獣被害の対策について生産者・市民それぞれの立場で考える
■日時:2025年11月22日(土)18:30~(開場18:00)
■会場:カナモトホール2F第2会議室
■参加費:500円
■講師:徳永エリ(立憲民主党参議院議員)
#コメ高騰

年初から31の賛同団体により取り組んできた「戦後」80年Peacedays2025の総まとめの集会を開催いたします。多くの方の参加をお待ちしております。 「平和な未来を創ろう」集会 12/6(土)13:00~ 自治労会館5階大ホール 入場料:一般前売り1500円 一般当日2000円 高校生以下500円

t_chandai's tweet image. 年初から31の賛同団体により取り組んできた「戦後」80年Peacedays2025の総まとめの集会を開催いたします。多くの方の参加をお待ちしております。
「平和な未来を創ろう」集会
12/6(土)13:00~ 自治労会館5階大ホール
入場料:一般前売り1500円 一般当日2000円 高校生以下500円
t_chandai's tweet image. 年初から31の賛同団体により取り組んできた「戦後」80年Peacedays2025の総まとめの集会を開催いたします。多くの方の参加をお待ちしております。
「平和な未来を創ろう」集会
12/6(土)13:00~ 自治労会館5階大ホール
入場料:一般前売り1500円 一般当日2000円 高校生以下500円

高橋 大輔 님이 재게시함

れいわ新選組の伊勢崎氏や元民主党の鳩山由紀夫のように、アメリカ従属からの脱却を模索する政治家は「極左」とレッテルを貼られる。しかし実際には自主独立を志向しており、むしろ保守的な立場だ。歪められた言論構造に気づけ。


高橋 大輔 님이 재게시함

停戦合意中の攻撃を停戦違反と見なさなかったらそれは鼻から停戦合意ではない。


高橋 大輔 님이 재게시함

もはや「ひらきなおり」とも言える裏金脱税議員だらけの高市内閣!何より呆れたのが首相と幹事長しか自由にできない内閣官房機密費の門番とも言える幹事長代行に安倍派の裏金問題の中心人物であり統一教会問題でも加計学園問題でも真っ黒の萩生田光一を据えたこと!これじゃまるで「泥棒に金庫番」だ!


高橋 大輔 님이 재게시함

鳩山氏が問う「米軍はいつでもどこでもどんな規模でも日本に基地を置けるのだ。一方、日本は東京の空でさえ自由に飛べない。」  何故これを問う政治家が表に出ないのか。これを国民は考えてみるべきだ。

自民党の総裁選が始まったが、コップの中の嵐に終始している。最大の問題はいつまで米国の植民地でいるつもりなのか、である。米軍はいつでもどこでもどんな規模でも日本に基地を置けるのだ。一方、日本は東京の空でさえ自由に飛べない。日本を真に独立させようとする愛国者は出てこないのだろうか。



高橋 大輔 님이 재게시함

9/13(土)、札幌駅南口広場にて市民の風主催の「平和の広場」を行いました。 小雨の中、ライブ隊の演奏でスタート。 室蘭の高橋伸枝さん制作の千羽鶴ならぬ「1000のことり」タペストリーも披露され、注目をあびていました。

kaze_hokkaido's tweet image. 9/13(土)、札幌駅南口広場にて市民の風主催の「平和の広場」を行いました。
小雨の中、ライブ隊の演奏でスタート。
室蘭の高橋伸枝さん制作の千羽鶴ならぬ「1000のことり」タペストリーも披露され、注目をあびていました。
kaze_hokkaido's tweet image. 9/13(土)、札幌駅南口広場にて市民の風主催の「平和の広場」を行いました。
小雨の中、ライブ隊の演奏でスタート。
室蘭の高橋伸枝さん制作の千羽鶴ならぬ「1000のことり」タペストリーも披露され、注目をあびていました。
kaze_hokkaido's tweet image. 9/13(土)、札幌駅南口広場にて市民の風主催の「平和の広場」を行いました。
小雨の中、ライブ隊の演奏でスタート。
室蘭の高橋伸枝さん制作の千羽鶴ならぬ「1000のことり」タペストリーも披露され、注目をあびていました。
kaze_hokkaido's tweet image. 9/13(土)、札幌駅南口広場にて市民の風主催の「平和の広場」を行いました。
小雨の中、ライブ隊の演奏でスタート。
室蘭の高橋伸枝さん制作の千羽鶴ならぬ「1000のことり」タペストリーも披露され、注目をあびていました。

高橋 大輔 님이 재게시함

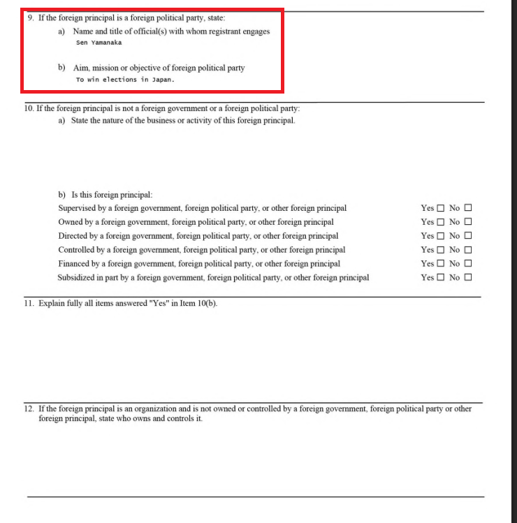
参政党が米国でロビー団体登録をしている。 ロビー団体とは、特定の利益や目的のため、政府や議会、行政機関に対して政策や法律の制定・変更を働きかける組織や集団のことである。 その参政党のロビー団体登録用紙の目的欄には、「To win elections in…

La_Rumba_Buena's tweet image. 参政党が米国でロビー団体登録をしている。

ロビー団体とは、特定の利益や目的のため、政府や議会、行政機関に対して政策や法律の制定・変更を働きかける組織や集団のことである。

その参政党のロビー団体登録用紙の目的欄には、「To win elections in…
La_Rumba_Buena's tweet image. 参政党が米国でロビー団体登録をしている。

ロビー団体とは、特定の利益や目的のため、政府や議会、行政機関に対して政策や法律の制定・変更を働きかける組織や集団のことである。

その参政党のロビー団体登録用紙の目的欄には、「To win elections in…

高橋 大輔 님이 재게시함

『南京事件 新版』は重版分が店頭に並んでいます。ただ実は、早くも重版分の版元在庫がなくなってしまい、3刷出来を待っている状態です。予想外の反響に私たちも驚いています。 戦後80年の今年、戦後という歴史を引き受け、それを未来につなげていくための新書を、私たちは刊行しました。

Iwanami_Shinsho's tweet image. 『南京事件 新版』は重版分が店頭に並んでいます。ただ実は、早くも重版分の版元在庫がなくなってしまい、3刷出来を待っている状態です。予想外の反響に私たちも驚いています。
戦後80年の今年、戦後という歴史を引き受け、それを未来につなげていくための新書を、私たちは刊行しました。
Iwanami_Shinsho's tweet image. 『南京事件 新版』は重版分が店頭に並んでいます。ただ実は、早くも重版分の版元在庫がなくなってしまい、3刷出来を待っている状態です。予想外の反響に私たちも驚いています。
戦後80年の今年、戦後という歴史を引き受け、それを未来につなげていくための新書を、私たちは刊行しました。
Iwanami_Shinsho's tweet image. 『南京事件 新版』は重版分が店頭に並んでいます。ただ実は、早くも重版分の版元在庫がなくなってしまい、3刷出来を待っている状態です。予想外の反響に私たちも驚いています。
戦後80年の今年、戦後という歴史を引き受け、それを未来につなげていくための新書を、私たちは刊行しました。
Iwanami_Shinsho's tweet image. 『南京事件 新版』は重版分が店頭に並んでいます。ただ実は、早くも重版分の版元在庫がなくなってしまい、3刷出来を待っている状態です。予想外の反響に私たちも驚いています。
戦後80年の今年、戦後という歴史を引き受け、それを未来につなげていくための新書を、私たちは刊行しました。

高橋 大輔 님이 재게시함

前倒しすべきは麻生太郎の政界引退。


高橋 大輔 님이 재게시함

「石破やめろ!デモをオールドメディアは報道しない。するのは #石破やめるな ばかり」と自民・西田昌司氏 石破総理を『見苦しい』と(産経新聞) でもこの男、 ひめゆり暴言では世間の批判を浴び、石破首相に謝罪して貰ったのに、選挙終われば『石破おろし』って… ホント、恥知らずの裏金議員!😩

AfYjpB3h5Hp0n6g's tweet image. 「石破やめろ!デモをオールドメディアは報道しない。するのは #石破やめるな ばかり」と自民・西田昌司氏
石破総理を『見苦しい』と(産経新聞)

でもこの男、
ひめゆり暴言では世間の批判を浴び、石破首相に謝罪して貰ったのに、選挙終われば『石破おろし』って…

ホント、恥知らずの裏金議員!😩
AfYjpB3h5Hp0n6g's tweet image. 「石破やめろ!デモをオールドメディアは報道しない。するのは #石破やめるな ばかり」と自民・西田昌司氏
石破総理を『見苦しい』と(産経新聞)

でもこの男、
ひめゆり暴言では世間の批判を浴び、石破首相に謝罪して貰ったのに、選挙終われば『石破おろし』って…

ホント、恥知らずの裏金議員!😩
AfYjpB3h5Hp0n6g's tweet image. 「石破やめろ!デモをオールドメディアは報道しない。するのは #石破やめるな ばかり」と自民・西田昌司氏
石破総理を『見苦しい』と(産経新聞)

でもこの男、
ひめゆり暴言では世間の批判を浴び、石破首相に謝罪して貰ったのに、選挙終われば『石破おろし』って…

ホント、恥知らずの裏金議員!😩

高橋 大輔 님이 재게시함

駐日パレスチナ大使「今こそ日本は国家承認を」(ABEMA TIMES) #Yahooニュース news.yahoo.co.jp/articles/ad8eb…


高橋 大輔 님이 재게시함

この子はザイナ・グールちゃん。イスラエルのテロリスト軍が今日、水をもらいに来ていた彼女を殺した。 以前、ザイナちゃんは両親にこう言っていた。「もしわたしが死んだら、神様にお願いして戦争を止めてもらうね」 #ガザ翻訳

This is Zaina al-Ghoul. Israeli terrorist forces killed her today while collecting water. She told her parents before “If I die, I will ask God to stop the war.”

MosabAbuToha's tweet image. This is Zaina al-Ghoul. Israeli terrorist forces killed her today while collecting water.
She told her parents before “If I die, I will ask God to stop the war.”


高橋 大輔 님이 재게시함

速報です。ついに統一教会の韓鶴子総裁に出頭要請。いよいよ9月8日。韓国の捜査はここまで来ました>特別検察官は韓鶴子総裁に対し政治資金法違反などの疑いで今月8日に出頭し取り調べを受けるよう通知書を送ったということです=政治資金法違反などの疑い 韓国の特別検察官 news.yahoo.co.jp/articles/f95b7…


高橋 大輔 님이 재게시함

8月27日(水)18:30~札幌エルプラザ4F大研修室にて、「戦争の火蓋を切らせない~大軍拡にう抗う私たち 講演会」が行われました。「戦後」80年ピースデイズ2025企画の一環です。 準備期間が短かったにもかかわらず、参加者は約50名。WEBサイトやチラシを見て知ったという若い方も数名いました。

kaze_hokkaido's tweet image. 8月27日(水)18:30~札幌エルプラザ4F大研修室にて、「戦争の火蓋を切らせない~大軍拡にう抗う私たち 講演会」が行われました。「戦後」80年ピースデイズ2025企画の一環です。
準備期間が短かったにもかかわらず、参加者は約50名。WEBサイトやチラシを見て知ったという若い方も数名いました。
kaze_hokkaido's tweet image. 8月27日(水)18:30~札幌エルプラザ4F大研修室にて、「戦争の火蓋を切らせない~大軍拡にう抗う私たち 講演会」が行われました。「戦後」80年ピースデイズ2025企画の一環です。
準備期間が短かったにもかかわらず、参加者は約50名。WEBサイトやチラシを見て知ったという若い方も数名いました。
kaze_hokkaido's tweet image. 8月27日(水)18:30~札幌エルプラザ4F大研修室にて、「戦争の火蓋を切らせない~大軍拡にう抗う私たち 講演会」が行われました。「戦後」80年ピースデイズ2025企画の一環です。
準備期間が短かったにもかかわらず、参加者は約50名。WEBサイトやチラシを見て知ったという若い方も数名いました。
kaze_hokkaido's tweet image. 8月27日(水)18:30~札幌エルプラザ4F大研修室にて、「戦争の火蓋を切らせない~大軍拡にう抗う私たち 講演会」が行われました。「戦後」80年ピースデイズ2025企画の一環です。
準備期間が短かったにもかかわらず、参加者は約50名。WEBサイトやチラシを見て知ったという若い方も数名いました。

Loading...

Something went wrong.


Something went wrong.