#100xcode search results

#100xcode #_100DaysOfCode #100DaysOfCode #keeplearning #100DaysOfPytho #Python Day 2/100, introduction to variables and basic arithmetic, simple and easy to understand. Feeling confident :v

NoriegaRodrigod's tweet image. #100xcode #_100DaysOfCode #100DaysOfCode #keeplearning #100DaysOfPytho #Python

Day 2/100, introduction to variables and basic arithmetic, simple and easy to understand. Feeling confident :v

This is a job requirement, I think this should help in planning for your 2021 road map #100xcode #CodeNewbies @Codecademy

abdul_akano's tweet image. This is a job requirement, I think this should help in planning for your 2021 road map #100xcode  #CodeNewbies @Codecademy

The Plan is Ready i almost complete the first day of the 100 day of Python #100DaysOfCode #100xcode started from 27/6/2022 #100daysofcodechallenge

ShahzoorKhan_'s tweet image. The Plan is Ready i almost complete the first day of the 100 day of Python #100DaysOfCode #100xcode started from 27/6/2022
#100daysofcodechallenge

Day 81 Progress! 🚀 Hey everyone! 👋 🚀 Exciting update! 🌟 Just wrapped up building a Password Manager project in React! 🔐🔑 All data securely stored on local storage for easy access and management. 💻⚡ #LearnInPublic #100xcode #100DaysOfCode #mernstack #webdevelopment


Hey @X algorithm, I'm looking to #connect with the people who are interested in : 🎨 Frontend 💼 Backend 🌟 Full stack 👨‍💻 DevOps 🧠 AI/ML 🧱 Web3 🤖 AI Agents 🪴 Freelancing 🎮 Python 🌐 Networking 🏆 Product 📈 Growth 🔨 Startup #letsbuildtogether #100xcode #learnAI


#Day110 of #366DaysOfCode - added some Pr's in #100xcode @kirat_tw for chess repo but one got accepted and another got closed as I was asleep LOL - there was no wifi today. So unable to code but have a plan to code all night Clean shave LOL 😂

AirbornHarsh's tweet image. #Day110 of #366DaysOfCode

- added some Pr's in #100xcode @kirat_tw for chess repo but one got accepted and another got closed as I was asleep LOL
- there was no wifi today. So unable to code but have a plan to code all night

Clean shave LOL 😂

Day 4 of #100DaysOfCode : Today is hectic. Css work in office, testing in IE :( Then went for a refreshing Tennis game. Finally read more from article. Recreated Octagon example. Feeling confident. codepen.io/thejsdeveloper… #100xcode


Hello everyone! I am getting back to OOP and this is what I am totally afraid of. I understand every bit of OOP but in practice it's really hard to translate real world abstract problems to classes. Any solutions? 😁 #100DaysOfCode #100xcode

devdaily3's tweet image. Hello everyone! I am getting back to OOP and this is what I am totally afraid of. I understand every bit of OOP but in practice it's really hard to translate real world abstract problems to classes. Any solutions? 😁

#100DaysOfCode #100xcode

I've been working with localStorage today 😀, and I have to say it's pretty easy to test your simple app and persist data, but please do not store sensitive user information in localStorage. #100DaysOfCode #100xcode

devdaily3's tweet image. I've been working with localStorage today 😀, and I have to say it's pretty easy to test your simple app and persist data, but please do not store sensitive user information in localStorage. 

#100DaysOfCode #100xcode

Excited to announce that I got my first job as a MERN Stack Developer and ready to start my career. . . . @kirat_tw #100xdev #100xcode #firstjob #coading #coding #mern #fullstack #webdevloper #job #100daysofcode


Articles >>> books for learning programming 👀 #learning #100xCode


🎟️ Check out my ticket for the 100xCareer Hackathon! Join the innovation! 🚀 #100xCareerHackathon #Super50 #100xCode 100xcareer.com/hackathon/tick…


Day 58 working on final project for responsive web design certification, building a personal portfolio webpage. Happy the end is near. #100xcode #WomenInTechChat #LatinXTechTwitter #21DayCKChallenge #WomenXCode #WizardsInTech


#100daysofcode #100dayscode #100xcode #CODEHOLIO DAY 3: worked on switch statements in js on @freeCodeCamp and also looked up a intro to mySql video on @pluralsight


#100xcode #CodeNewbie #Computers #programming Has anyone ever wanted a new computer?  I got one a few months ago and about two weeks in Hwaoo the bells started ringing!, the alarms went off!, I never knew Windows Defender had Audio. But apparently it does. It was such a nice...


Day 6: Learing handfull of Intermediate topics in Python #CodeNewbie #100xcode There are certain topics like : Named Tuple Deque Lamda Func,etc Leaning continously for better skills 😅 #pythonlearning #MachineLearning #artificalintelligence Let's #connect4


Hey @X algorithm, I'm looking to #connect with the people who are interested in : 🎨 Frontend 💼 Backend 🌟 Full stack 👨‍💻 DevOps 🧠 AI/ML 🧱 Web3 🤖 AI Agents 🪴 Freelancing 🎮 Python 🌐 Networking 🏆 Product 📈 Growth 🔨 Startup #letsbuildtogether #100xcode #learnAI


Day 6: Learing handfull of Intermediate topics in Python #CodeNewbie #100xcode There are certain topics like : Named Tuple Deque Lamda Func,etc Leaning continously for better skills 😅 #pythonlearning #MachineLearning #artificalintelligence Let's #connect4


🎟️ Check out my ticket for the 100xCareer Hackathon! Join the innovation! 🚀 #100xCareerHackathon #Super50 #100xCode 100xcareer.com/hackathon/tick…


Articles >>> books for learning programming 👀 #learning #100xCode


Excited to announce that I got my first job as a MERN Stack Developer and ready to start my career. . . . @kirat_tw #100xdev #100xcode #firstjob #coading #coding #mern #fullstack #webdevloper #job #100daysofcode


Day 81 Progress! 🚀 Hey everyone! 👋 🚀 Exciting update! 🌟 Just wrapped up building a Password Manager project in React! 🔐🔑 All data securely stored on local storage for easy access and management. 💻⚡ #LearnInPublic #100xcode #100DaysOfCode #mernstack #webdevelopment


#Day110 of #366DaysOfCode - added some Pr's in #100xcode @kirat_tw for chess repo but one got accepted and another got closed as I was asleep LOL - there was no wifi today. So unable to code but have a plan to code all night Clean shave LOL 😂

AirbornHarsh's tweet image. #Day110 of #366DaysOfCode

- added some Pr's in #100xcode @kirat_tw for chess repo but one got accepted and another got closed as I was asleep LOL
- there was no wifi today. So unable to code but have a plan to code all night

Clean shave LOL 😂

#100xcode #CodeNewbie #Computers #programming Has anyone ever wanted a new computer?  I got one a few months ago and about two weeks in Hwaoo the bells started ringing!, the alarms went off!, I never knew Windows Defender had Audio. But apparently it does. It was such a nice...


The Plan is Ready i almost complete the first day of the 100 day of Python #100DaysOfCode #100xcode started from 27/6/2022 #100daysofcodechallenge

ShahzoorKhan_'s tweet image. The Plan is Ready i almost complete the first day of the 100 day of Python #100DaysOfCode #100xcode started from 27/6/2022
#100daysofcodechallenge

#100daysofcode #100dayscode #100xcode #CODEHOLIO DAY 3: worked on switch statements in js on @freeCodeCamp and also looked up a intro to mySql video on @pluralsight


This is a job requirement, I think this should help in planning for your 2021 road map #100xcode #CodeNewbies @Codecademy

abdul_akano's tweet image. This is a job requirement, I think this should help in planning for your 2021 road map #100xcode  #CodeNewbies @Codecademy

6/100 #100DaysOfCode,#100xcode Lists involve sorting. Interesting, when lists are interesting. #coding. ,#javascript,#codenewbie,#javascript30 (?/30),#html,#css,

ManDoesCode1's tweet image. 6/100 #100DaysOfCode,#100xcode
Lists involve sorting. Interesting, when lists are interesting. #coding.
,#javascript,#codenewbie,#javascript30 (?/30),#html,#css,

7/100 #100DaysOfCode,#100xcode 'Is reading this and telling myself that this is what I've been doing on all of my #coding breaks. Math and (computer) science, totally, equals success. 🤓. I'm pretty awesome, if I do say so. ,#javascript,#codenewbie,#javascript30 (?/30),#html,#css

ManDoesCode1's tweet image. 7/100 #100DaysOfCode,#100xcode
'Is reading this and telling myself that this is what I've been doing on all of my #coding breaks. Math and (computer) science, totally, equals success. 🤓. I'm pretty awesome, if I do say so.
,#javascript,#codenewbie,#javascript30 (?/30),#html,#css

#100xcode #_100DaysOfCode #100DaysOfCode #keeplearning #100DaysOfPytho #Python Day 2/100, introduction to variables and basic arithmetic, simple and easy to understand. Feeling confident :v

NoriegaRodrigod's tweet image. #100xcode #_100DaysOfCode #100DaysOfCode #keeplearning #100DaysOfPytho #Python

Day 2/100, introduction to variables and basic arithmetic, simple and easy to understand. Feeling confident :v

Day 3, of #100DaysOfCode,#100xcode Note to self: Javascript: The Good Parts, is a subset of Javascript: The #definitive Guide. ,#javascript,#codenewbie,#coding,#html,#css,#javascript30 (Day something),

ManDoesCode1's tweet image. Day 3, of #100DaysOfCode,#100xcode 
Note to self: Javascript: The Good Parts, is a subset of Javascript: The #definitive Guide.
,#javascript,#codenewbie,#coding,#html,#css,#javascript30 (Day something),

6/100 #100DaysOfCode,#100xcode Version 1 of the ECMA spec is, totally, one of the best things in life! 🤓The other versions will come. #coding will come. ,#javascript,#codenewbie,#javascript30 (?/30),

ManDoesCode1's tweet image. 6/100 #100DaysOfCode,#100xcode
Version 1 of the ECMA spec is, totally, one of the best things in life!  🤓The other versions will come. #coding will come. 
,#javascript,#codenewbie,#javascript30 (?/30),

4/100 #100DaysOfCode,#100xcode "Once upon a time, everyone was punching stuff," she said. "The end." (#ux personas from my notes). ,#javascript,#codenewbie,#html,#css,#javascript30 (?/30)

ManDoesCode1's tweet image. 4/100 #100DaysOfCode,#100xcode 
"Once upon a time, everyone was punching stuff," she said. "The end." (#ux personas from my notes).
,#javascript,#codenewbie,#html,#css,#javascript30 (?/30)

6/100 #100DaysOfCode,#100xcode 'Is wondering if The Noncompedious Book of Algorithms by doing Something and Something Else would only lead to the compendious one?! Wondering is relevant, no?! #coding will come. ,#javascript,#codenewbie,#javascript30 (?/30),#html,#css,

ManDoesCode1's tweet image. 6/100 #100DaysOfCode,#100xcode
'Is wondering if The Noncompedious Book of Algorithms by doing Something and Something Else would only lead to the compendious one?! Wondering is relevant, no?! #coding will come.
,#javascript,#codenewbie,#javascript30 (?/30),#html,#css,

The Plan is Ready i almost complete the first day of the 100 day of Python #100DaysOfCode #100xcode started from 27/6/2022 #100daysofcodechallenge

ShahzoorKhan_'s tweet image. The Plan is Ready i almost complete the first day of the 100 day of Python #100DaysOfCode #100xcode started from 27/6/2022
#100daysofcodechallenge

6/100 #100DaysOfCode,#100xcode "There are, totally, no circles in Chinese," she explained. (#ux personas from my notes). (Also, there's a grammar involved in the ECMAScript Specification). ,#javascript,#codenewbie,#javascript30 (?/30),#html,#css,

ManDoesCode1's tweet image. 6/100 #100DaysOfCode,#100xcode
"There are, totally, no circles in Chinese," she explained. (#ux personas from my notes). (Also, there's a grammar involved in the ECMAScript Specification).
,#javascript,#codenewbie,#javascript30 (?/30),#html,#css,

Day 2, of #100DaysOfCode,#100xcode "Why is this conversation about the number 1 so interesting?!" she exclaimed. "You can use the number one to rewrite stuff!" (Any number over itself is 1). (#ux personas from my notes). ,#javascript,#html,#css,#definitive,#codenewbie,

ManDoesCode1's tweet image. Day 2, of #100DaysOfCode,#100xcode 
"Why is this conversation about the number 1 so interesting?!" she exclaimed. "You can use the number one to rewrite stuff!" (Any number over itself is 1). (#ux personas from my notes).
,#javascript,#html,#css,#definitive,#codenewbie,

6/100 #100DaysOfCode,#100xcode "No. Order isn't overrated," she said. "It's not rated at all. Sets just involve different operations than arrays." (#ux personas from my notes). ,#javascript,#codenewbie,#javascript30 (?/30),#html,#css,

ManDoesCode1's tweet image. 6/100 #100DaysOfCode,#100xcode
"No. Order isn't overrated," she said. "It's not rated at all. Sets just involve different operations than arrays." (#ux personas from my notes).
,#javascript,#codenewbie,#javascript30 (?/30),#html,#css,

Day 3, of #100DaysOfCode,#100xcode "I'm grokking the headings and subheadings," she said. "Hierarchy is one of the best things in life, ha-ha," flatly. (#javascript,#codenewbie,#html,#css personas from my notes). ,#definitive,#javascript30 (Day something),

ManDoesCode1's tweet image. Day 3, of #100DaysOfCode,#100xcode 
"I'm grokking the headings and subheadings," she said. "Hierarchy is one of the best things in life, ha-ha," flatly. (#javascript,#codenewbie,#html,#css personas from my notes).
,#definitive,#javascript30 (Day something),

5/100 #100DaysOfCode,#100xcode @getify, sorry about the elipses three dots thing. I wasn't in "Rome" yet, Man. ('Reading MIT-grade algorithms stuff). In fact, I think that Javascript, itself, says two dots. (Gotchas). ,#javascript,#codenewbie,#html,#css,#javascript30 (?/30)

ManDoesCode1's tweet image. 5/100 #100DaysOfCode,#100xcode 
@getify, sorry about the elipses three dots thing. I wasn't in "Rome" yet, Man. ('Reading MIT-grade algorithms stuff). In fact, I think that Javascript, itself, says two dots. (Gotchas). 
,#javascript,#codenewbie,#html,#css,#javascript30 (?/30)

This is a job requirement, I think this should help in planning for your 2021 road map #100xcode #CodeNewbies @Codecademy

abdul_akano's tweet image. This is a job requirement, I think this should help in planning for your 2021 road map #100xcode  #CodeNewbies @Codecademy

6/100 #100DaysOfCode,#100xcode @pamelafox, thanks for mentioning DeMorgan's Laws in that tweet. I thought that I was alone in my properties and more. 🤓 Thanks is relevant, is it not?! #coding will come. ,#javascript,#codenewbie,#javascript30 (?/30),#html,#css,

ManDoesCode1's tweet image. 6/100 #100DaysOfCode,#100xcode
@pamelafox, thanks for mentioning DeMorgan's Laws in that tweet. I thought that I was alone in my properties and more. 🤓 Thanks is relevant, is it not?! #coding will come.
,#javascript,#codenewbie,#javascript30 (?/30),#html,#css,

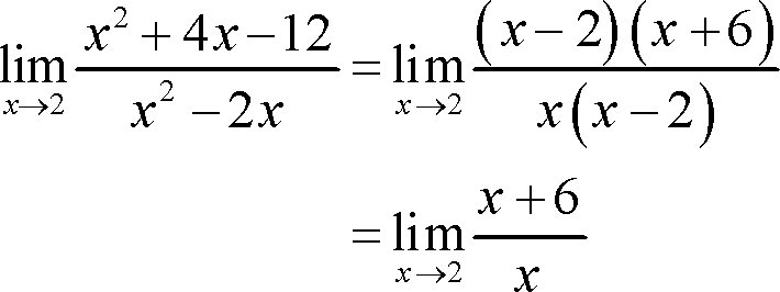
Day 2, of #100DaysOfCode,#100xcode "Why is this conversation about the distributive property so interesting?!" she exclaimed. "It lets you rewrite stuff!" ( x^2 - 2x is x(x -2) ). (#ux personas from my notes). ,#javascript,#html,#css,#definitive,#codenewbie,

ManDoesCode1's tweet image. Day 2, of #100DaysOfCode,#100xcode 
"Why is this conversation about the distributive property so interesting?!" she exclaimed. "It lets you rewrite stuff!" ( x^2 - 2x is x(x -2) ). (#ux personas from my notes).
,#javascript,#html,#css,#definitive,#codenewbie,

4/100 #100DaysOfCode,#100xcode "What if we need an interpreter, like in Arrival, to understand the gotchas in Javascript? " she asked. "Wouldn't that be fun?!" The other person did not know. (#ux personas from my notes). ,#javascript,#codenewbie,#quote,#quotes,#html,#css,

ManDoesCode1's tweet image. 4/100 #100DaysOfCode,#100xcode 
"What if we need an interpreter, like in Arrival, to understand the gotchas in Javascript? " she asked. "Wouldn't that be fun?!" The other person did not know. (#ux personas from my notes).
,#javascript,#codenewbie,#quote,#quotes,#html,#css,

youtu.be/2P-yW7LQr08 Day 2, of #100DaysOfCode,#100xcode "They're bringin' BASH back!" I exclaimed. (#ux personas from my notes). ,#javascript,#html,#css,#definitive,#codenewbie,

ManDoesCode1's tweet image. youtu.be/2P-yW7LQr08    
Day 2, of #100DaysOfCode,#100xcode 
"They're bringin' BASH back!" I exclaimed. (#ux personas from my notes).
,#javascript,#html,#css,#definitive,#codenewbie,

Loading...

Something went wrong.


Something went wrong.


United States Trends