#apinter kết quả tìm kiếm
#ApInter పరీక్షల్లో పెద్ద మార్పులు..! ఇకపై #maths 1A, 1B ఒకే పేపర్ — 100 మార్కులు, పాస్ మార్కులు 35గా నిర్ణయం. బోటనీ, జువాలజీ కలిపి #Biology — ఫస్టియర్ 85 మార్కులు, సెకండియర్ పాస్ 30తోనే . ఫిజిక్స్, కెమిస్ట్రీ, బయాలజీకి 30 మార్కుల ప్రాక్టికల్స్ తప్పనిసరి. గతంలో ఫెయిలైన…
FAIL RA 😭😭 Ippudu eii samajam lo ela Brathukali ra 😭 reyyy Intlo ela chepali 💔 #Apinterresults #Apinter
AP Inter 1st & 2nd Year will release at 11.00 AM today @vidyavision #apinter #apinterresults #vidyavision #apinter1styearresults #apinter2ndyearresults
Over 10 lakh students to get #APInter results 2023. Check LIVE Updates here indianexpress.com/article/educat…
AP Inter Exams 2026 to be conducted in February: List of changes introduced for first-year students #apinterexams #apinter #andhrapradesh #naralokesh Know More: collegedekho.com/news/ap-inter-…
AP Inter 1st Year 2024 (GEN& VOC) Supply Results are Released Check Now - vidyavision.com/results/APinte… #apinter #apintersupply #apsecoundaryresults #apinterboard #vidyavision
AP Inter Results 2023 Available on April 26th 2023 @ 5 PM. #APInter #Results #APInterResults2023 #ExamResultUpdates
AP Inter 1st & 2nd Year results are released today @vidyavision Check here - vidyavision.com #apinter #apinterresults #vidyavision #apinter1styearresults #apinter2ndyearresults
AP 2nd Inter Supply Results 2024 (Gen & Voc) are released. Check here - vidyavision.com/results/apinte… or visit vidyavision.com to check your result #apinter #apinterresults #apinter2024results #apintersupplyrresults #vidyavision
BIEAP Inter first and second year IPASE May 2025 results out. Live updates here #Apinter #ipase indianexpress.com/article/educat…
#BREAKING | AP Inter results 2025 for 1st year, 2nd year supplementary exams declared; result link live now #AndhraPradesh #APInter #supplementary Read more at: buff.ly/1REioq2
AP Inter 1 Yr and 2 Yr Supp Results 2023 (Voc) Available Now AP Inter 1 Yr: shorturl.at/lszIT AP Inter 2nd Yr: shorturl.at/iqwK1 #apinter1styear #apinter #interresults #results #resultsupdate #examupdate #vidyavision
10వ తరగతి పరీక్ష ఫలితాలను చూసి షాక్ అవుతున్న అధికారులు | AP 10th Class Student Nehanjali Creates History By Scoring 600/600 Marks | ZEE Telugu News #apresult #apinter #result2025 #naralokesh #cmchandrababu #ZeeTeluguNews
AP Inter 1st & 2nd Year results are released now @vidyavision Check here - vidyavision.com/results/APinte… #apinter #apinterresults #vidyavision #apinter1styearresults #apinter2ndyearresults
#AndhraPradesh #Apinterresults : ఆ కాలేజీలో అందరూ ఫెయిల్..ఎందుకని ? #apinter #inter_result_2025 #HashtagU telugu.hashtagu.in/andhra-pradesh…
Check AP Inter 1st Year Supply Results at 4 PM at results.sakshieducation.com #apinter #apinter1styear #apintersupplyresults #interresults2024 #intersupplyresults #apintersupplyresults
#ApInter పరీక్షల్లో పెద్ద మార్పులు..! ఇకపై #maths 1A, 1B ఒకే పేపర్ — 100 మార్కులు, పాస్ మార్కులు 35గా నిర్ణయం. బోటనీ, జువాలజీ కలిపి #Biology — ఫస్టియర్ 85 మార్కులు, సెకండియర్ పాస్ 30తోనే . ఫిజిక్స్, కెమిస్ట్రీ, బయాలజీకి 30 మార్కుల ప్రాక్టికల్స్ తప్పనిసరి. గతంలో ఫెయిలైన…
📢 #APInter Exams 2026 BIEAP releases tentative timetable 🗓️ ▪️ Practicals: Feb 10–20, 2026 ▪️ 1st Year Theory: Mar 1–19, 2026 ▪️ 2nd Year Theory: Mar 3–20, 2026 ⏰ 9 AM–12 Noon Full schedule: bieap.apcfss.in #APInter2026 #BIEAP #AndhraPradesh
AP Inter Exams 2026 to be conducted in February: List of changes introduced for first-year students #apinterexams #apinter #andhrapradesh #naralokesh Know More: collegedekho.com/news/ap-inter-…
BIEAP Inter first and second year IPASE May 2025 results out. Live updates here #Apinter #ipase indianexpress.com/article/educat…
#BREAKING | AP Inter results 2025 for 1st year, 2nd year supplementary exams declared; result link live now #AndhraPradesh #APInter #supplementary Read more at: buff.ly/1REioq2
AP Inter Supplementary Results 2025: BIEAP Intermediate 1st, 2nd year results today at 11 am #APInter #AndhraPradesh news9live.com/education-care…
news9live.com
AP Inter Supplementary Result 2025: BIEAP Intermediate 1st, 2nd year result declared; check here
Candidates can check the BIEAP AP Inter supplementary results 2025 with their hall ticket number and date of birth on the official website at resultsbie.ap.gov.in.
AP Inter Supplementary Results at 11 AM Today, Get DIRECT LINK | timesnownews.com/education/ap-i… #apinter #manabadi #bieap #supplementaryresults
timesnownews.com
AP Inter Supplementary Result 2025 Declared @bie.ap.gov.in Steps to BIEAP Download Marks Memo
AP Inter Supplementary Results 2025 declared today at 11 AM. Students can check their results on the official websites: bieap.apcfss.in, resultsbie.ap.gov.in or WhatsApp., Education, Times Now
AP Inter Supply Results 2025: How to check marks memo #apinter indianexpress.com/article/educat…
indianexpress.com
bie.ap.gov.in, AP Inter Supply Results 2025 (Out): Steps to check marks memo at resultsbie.ap.gov...
BIEAP Andhra Pradesh Inter 1st, 2nd Year Supply Results 2025 Direct Link at resultsbie.ap.gov.in, bie.ap.gov.in, results.cgg.gov.in, bieap-gov.org, bieap.gov.in: Students who appeared for the...
AP Inter Supplementary Results 2025 Expected Tomorrow: Check 1st & 2nd Year Supply Marks Online at sakshieducation.com education.sakshi.com/en/ap-inter/ed… #APInterResults #intersupplyresults #apinter #bieap #ipe
AP Inter Supplementary Results 2025 Likely in 1st Week of June? Here's What We Know | timesnownews.com/education/ap-i… #apinter #supplementaryresults #bieap #manabadi
timesnownews.com
Manabadi Inter Results 2025 OUT: Download BIEAP AP 1st, 2nd Year Intermediate Mark Memos at...
AP Inter Supplementary Results 2025 declared today. Students can check their passing status at bieap.apcfss.in or resultsbie.ap.gov.in. Get latest BIEAP announcements here., Education, Times Now
AP Inter March 2025 Recounting and Reverification Results Available for Download education.sakshi.com/en/ap-inter/ed… #apinter #recounting #results #reverification #apinterrecountingresults
#APInterSupplementary2025 Hall Tickets out: Download Link here! #APInterSupplementary #APInter #InterSupplementary2025 #APResults #AndhraPradesh #APBIE sakshipost.com/news/education…
sakshipost.com
AP Inter Supplementary 2025 Hall Tickets released: Download Link here!
Andhra Pradesh Board of Intermediate Education (APBIE) declared the results of Intermediate exams on April 12, 2025. The pass percentage is much better this time, with 70% of students passing
BIEAP Inter Supplementary Exam Hall Tickets 2025 Download via WhatsApp education.sakshi.com/en/ap-inter/ed… #bieap #apinter #hallticket #supplyexamhallticket #apintersupplyexams #supplementaryexams
10వ తరగతి పరీక్ష ఫలితాలను చూసి షాక్ అవుతున్న అధికారులు | AP 10th Class Student Nehanjali Creates History By Scoring 600/600 Marks | ZEE Telugu News #apresult #apinter #result2025 #naralokesh #cmchandrababu #ZeeTeluguNews
APOSS AP Open Inter, SSC Results 2025 Out | timesnownews.com/education/ap-o… #aposs #apinter #APSSCResult2025
timesnownews.com
[OUT] AP Open Inter Results 2025: Check APOSS SSC, Inter Regular Results at apopenschool.ap.gov.in,...
AP Open Inter, SSC results 2025 have been declared today. Students who took the exams can check their results and download marks memo on the official website, apopenschool.ap.gov.in., Education,...
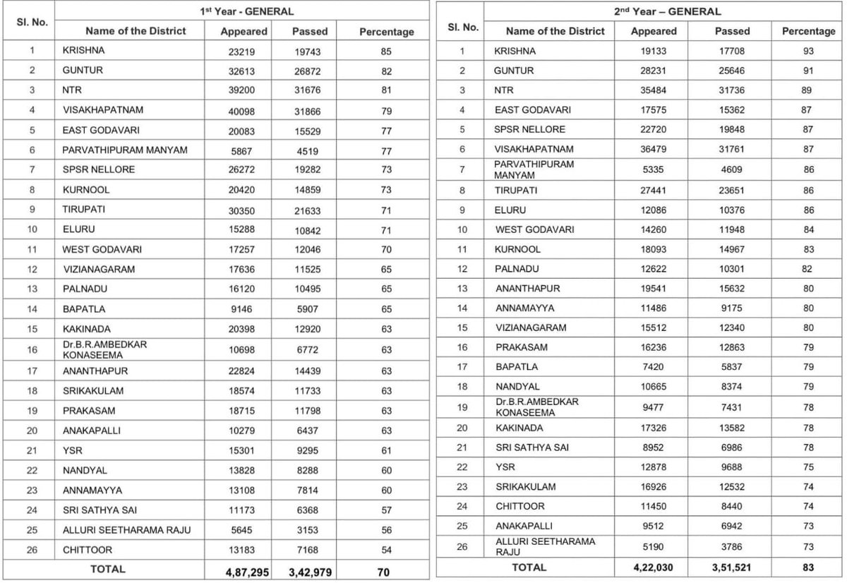
📊 AP Inter Results 2025 1st Year: 70% 2nd Year: 83% 🏅 Krishna Dist: Topper in both! 📉 Lowest: Alluri Seetharama Raju Dist. #APInter #BoardResults #thesouth9
#AndhraPradesh #Apinterresults : ఆ కాలేజీలో అందరూ ఫెయిల్..ఎందుకని ? #apinter #inter_result_2025 #HashtagU telugu.hashtagu.in/andhra-pradesh…
🎉 Results Alert! The Board of Intermediate Education, Andhra Pradesh has declared the #APInter 1st & 2nd Year results 2025! 🎓 Students can check their scores online at resultsbie.ap.gov.in or use the Mana Mitra Service on WhatsApp! 📱 #BIEAP #AndhraPradesh #InterResults…
Forgot Your AP Inter Hall Ticket 2025 Number? Here's How to Access | timesnownews.com/education/bie-… #apinter #Manabadi #BIEAP
timesnownews.com
Forgot Your AP Inter Hall Ticket 2025 Number? Here’s Step-by-Step Guide to Download PDF
AP Inter Results 2025 announced on April 12, 2025. A lot of students don’t seem to remember their hall ticket number. Check out the complete article to know steps to download PDF., Education, Times...
AP Inter Results 2022 Available Tomorrow @ 12:30 PM Know More @ vidyavision.com/exam-results/a… #APInter #ExamResults2022 #APInterResults #APinterResults2022 #Vidyavision
AP Inter 1st & 2nd Year will release at 11.00 AM today @vidyavision #apinter #apinterresults #vidyavision #apinter1styearresults #apinter2ndyearresults
AP Inter Results 2022 - Available @ Vidyavision.com Check Here for 1st year @ vidyavision.com/results/APinte… Check Here for 2nd year @ vidyavision.com/results/APinte… #APInter #ExamResults2022 #Vidyavision
📊 AP Inter Results 2025 1st Year: 70% 2nd Year: 83% 🏅 Krishna Dist: Topper in both! 📉 Lowest: Alluri Seetharama Raju Dist. #APInter #BoardResults #thesouth9
#ApInter పరీక్షల్లో పెద్ద మార్పులు..! ఇకపై #maths 1A, 1B ఒకే పేపర్ — 100 మార్కులు, పాస్ మార్కులు 35గా నిర్ణయం. బోటనీ, జువాలజీ కలిపి #Biology — ఫస్టియర్ 85 మార్కులు, సెకండియర్ పాస్ 30తోనే . ఫిజిక్స్, కెమిస్ట్రీ, బయాలజీకి 30 మార్కుల ప్రాక్టికల్స్ తప్పనిసరి. గతంలో ఫెయిలైన…
AP Inter Exams 2026 to be conducted in February: List of changes introduced for first-year students #apinterexams #apinter #andhrapradesh #naralokesh Know More: collegedekho.com/news/ap-inter-…
AP Inter 1st & 2nd Year Advanced Supply Results 2021 - Available Today @ 5 PM - Vidyavision.com Know More Info: bit.ly/2MKathY #APInter #ExamResults2021 #Vidyavision
AP Inter 1 & 2 Yr Supply Results 2022 (Gen & Voc) Check Now 1 Yr Supp (Gen) - bit.ly/3RlPbXe 1 Yr Supp (Voc) - bit.ly/3pSjby8 2 Yr Supp (Gen) - bit.ly/3qdySAl 2 Yr Supp (Voc) - bit.ly/3pW57Us #APInter #APInter2Yr #APInter1Yr #Vidyavision
AP Inter 2nd year results 2018 to be declared on April 12th, 2018 and AP Inter 1st year results 2018 to be declared on April 13th, 2018. Candidates can check their AP Inter results on Vidyavision.com. Click Here: goo.gl/Hdtc13 #APInter #1stYear #2ndYear
FAIL RA 😭😭 Ippudu eii samajam lo ela Brathukali ra 😭 reyyy Intlo ela chepali 💔 #Apinterresults #Apinter
Over 10 lakh students to get #APInter results 2023. Check LIVE Updates here indianexpress.com/article/educat…
Something went wrong.
Something went wrong.
United States Trends
- 1. Thanksgiving 1.45M posts
- 2. Thankful 254K posts
- 3. Turkey Day 33.3K posts
- 4. Busta Rhymes 1,072 posts
- 5. Lil Jon N/A
- 6. #ProBowlVote 14.1K posts
- 7. Toys R Us N/A
- 8. Afghanistan 240K posts
- 9. Gobble Gobble 21.2K posts
- 10. Mr. Fantasy N/A
- 11. Turn Down for What N/A
- 12. #Grateful 4,314 posts
- 13. #Gratitude 7,124 posts
- 14. Sarah Beckstrom 13.2K posts
- 15. Debbie Gibson N/A
- 16. Shaggy 3,111 posts
- 17. Andrew Wolfe 29.2K posts
- 18. Go Lions 1,737 posts
- 19. #nationaldogshow N/A
- 20. Feliz Día de Acción de Gracias 2,552 posts