#academicperformance نتائج البحث
Productive meet at L. Dhananjoy High School, Ishok GP focused on #StudentEnrollment, #AcademicPerformance, #Infrastructure & #CommunityParticipation. — Rezia Nameirakpam, PRA #Manipur

Students who participated in #SEL has an average of 13 percentile points higher in their academic performance. #research #academicperformance #learning

Alexander P. Burgoyne, Kelly M. Stec, Kimberly M. Fenn and David Z. Hambrick: The ACT Predicts #AcademicPerformance—But Why? #personality 🔗doi.org/10.3390/jintel…

"Kids who learn socio-emotional skills in school do better academically, are happier, and get into less trouble. #academicperformance #happiness"@robertwaldingerhttps://buff.ly/3WGGPxb

College Life Ruined My Grades! #AcademicPerformance #CollegeLife #PriestTrainee #Workload #StudyTime #Education #HigherEducation #StudentLife #Challenges #University
Mariel K. Barnett @marielbarnett98 and @BrookeMacnamara (@cwru) re-analyze growth mindset interventions by counting how many students actually benefit. How many do? Fewer than you would think. doi.org/10.3390/jintel… #AcademicPerformance #heterogeneity

Did you know that research consistently shows the positive impact of regular parent-teacher meetings on #studentsuccess? Studies reveal that students whose parents are actively involved in their #education demonstrate higher #academicperformance and improved behavior in school.
Thrilled to share that the @AANmember has endorsed the @AASMorg ’s position on later school start times! This step highlights the vital link between sleep and adolescent #MentalHealth, #AcademicPerformance and #Safety, aligning with AAN’s mission to support lifelong neurological…

The December 2024 performance review encouraged families and GTH to collaborate on academic progress and future strategies. Parents pledged to support their children by staying engaged and visiting the school regularly. #Education #ParentEngagement #AcademicPerformance




Since 2019 I have published at least a paper per year in JCR journals as the chart below shows (provided by the Web of Science). #AcademicPerformance @AcademicChatter @PhDVoice

The Ultimate Guide to Recruiting Football Players for Alma College #FootballRecruiting #TalentEvaluation #AcademicPerformance #CharacterMatters #CultureFit #AlmaCollege #CollegeFootball #RecruitingProcess #PlayerEligibility #BuildingATeam
Homework: Does It Really Benefit Students? #HomeworkDebate #StudentWellbeing #AcademicPerformance #EducationSystem #ParentingTips #TimeManagement #ChildDevelopment #FamilyTime #SchoolSkills #StudentLife
Students who receive targeted instruction are more likely to stay motivated and committed to their education, leading to improved performance and attendance. #motivation #academicperformance

📣Just accepted: 🇺🇸 Researchers from @OralRobertsU investigated the relationship between #PhysicalActivity & #AcademicPerformance and retention among U.S. college students. Article coming soon!




Magnet students are making great strides in reading and social studies compared to their peers 📚 #MagnetSchools #AcademicPerformance #SchoolChoice #FamiliesEmpowered bit.ly/4laR0oq

Did you know that parental alienation can lead to a decline in academic performance for children? Learn more about how to prevent this: tinyurl.com/3vz5a6mc #ParentalAlienation #AcademicPerformance
The Power of Reading: Encouraging Daily Reading Habits for Students #ReadingHabits #StudentSuccess #AcademicPerformance #LoveForReading #EncouragingReading #DailyReading #EffectiveHomework #BuildingHabits #ChildDevelopment #EducationMatters
🆕issue – includes #StudentPersistence #CulturalCompetency #AcademicPerformance #FirstYear #MentalHealth #Tinto➕#FYE and #TeacherEducation➕#inclusive ed and decreasing #attrition➕ #orientation and #FirstInFamily and more ... #HigherEd #StudentSuccess studentsuccessjournal.org/issue/view/125

What if there were a way to boost kids' #AcademicPerformance & #AcademicAchievement? A new study reviews the evidence connecting #EconomicEmpowerment interventions & #EducationalWellBeing: doi.org/10.1007/s40894… #FinancialCapability #AssetBuilding #FCABAfrica #CBEH #socialwork

and effective in delivering this crucial content. Let’s keep pushing the boundaries of education, heritage, and excellence! #BayelsaStateMinistryOfEducation #AcademicPerformance #NigeriaEducation #iaueconference2025 #CurriculumDevelopment #citizenshipstudies #EducationalReform
#AcademicPerformance MUDITA - "Your joy is my job." Need ideas for better academic performance for your child? melrosevolleyball.blogspot.com/2025/09/how-to…
Productive meet at L. Dhananjoy High School, Ishok GP focused on #StudentEnrollment, #AcademicPerformance, #Infrastructure & #CommunityParticipation. — Rezia Nameirakpam, PRA #Manipur

#Students can benefit from a #DAVIDDelight for #AcademicPerformance - Sessions are in easy-to-use categories: 🧠Energize 🧠Meditate 🧠Mood Booster 🧠Sleep 🧠Brain Booster mindalive.com/collections/ac… #MindAlive #AudioVisualEntrainment #ImproveLearning #SleepBetter #BackToSchool

From today’s Space, I’ve learned that time management isn’t just about planning but about prioritizing, breaking tasks down, and balancing study with rest. ⏳ #AcademicPerformance @Dominic_Ajiga @DREX_PR @ThisisFUTAMedia 🔥🔥
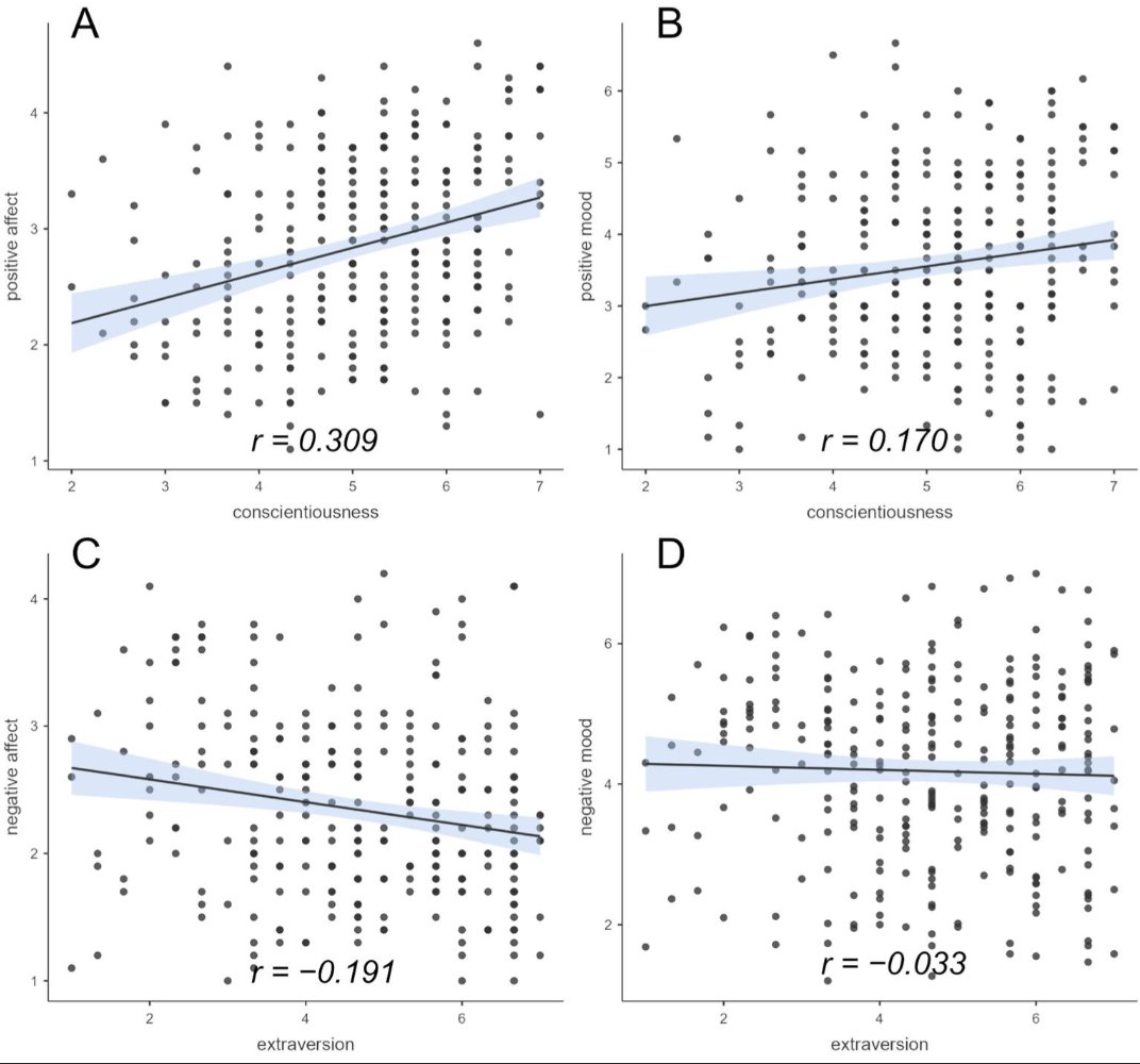
🤩Welcome to read👉"The #Relation of #BigFivePersonalityTraits on #AcademicPerformance #WellBeing #HomeStudySatisfaction in #CoronaTimes"🔖by🧑💻Dr. J. Rodrigues et al.:🧷mdpi.com/2254-9625/14/2… #wellbeing #bigfivepersonality #COVID19 #homestudies

💼 . حقيبة التهيئة النفسية للاختبارات📝 . تحتوي على العديد من التصاميم المميزة - بوربوينت - انفوجرافيك - فيديو - نشرات - تقارير - تصاميم رول اب - تصاميم شاشة عرض . 📎 الحقيبة⬇️ drive.google.com/drive/folders/… . #التوجيه_الطلابي #الاختبارات_المعيارية #التهيئة_للاختبارات .




🌟 طورت واجهة بطاقة أداء الطالب بشكل أكبر ✨ أصبحت أكثر وضوحًا، ألوانًا، وجاذبية لعرض المستوى الدراسي للطالب بطريقة حديثة وممتعة 📊 🔗 جربوا بأنفسكم: m0hm3d85-1m.netlify.app 👤 بيانات طالب وهمي للتجربة: السجل المدني: 1111111111 ستجدون: ✅ التقدير العام ✅ الأداء الأكاديمي ✅…


طلاب وطالبات #القدرات تجميعات #قدرات_لفظي لاتنسو رتويت للفائدة 🔃 #قدرات #قدرات_محوسب #قدرات_لفظي #قياس




Oxford University excelled in research excellence, funding success and global collaboration.

طلابنا حاضرين لصناعة الفرق طلابنا حاضرين ليمثلوا ناخبينن أفضل تمثيل طلابنا حاضرين ليحصدوا نتيجة تعبن طلابنا حاضرين ليفرجوا من جديد إختيار الشعب و الشباب تحديدًا بصبّ لمين طلابنا حاضرين ليصنعوا التاريخ مرة من جديد #طلّابنا_حاضرين

في إنجاز جديد.. حصلت #جامعة_الملك_خالد على أعلى مستوى في التصنيف العالمي منذ نشأتها؛ حيث جاءت في الفئة (251–300) عالميًّا، والمركز الثاني وطنيًّا في تصنيف Times Higher Education 2026.. #جامعة_الملك_خالد_للعالمية

4.82/5.00 CGPA🦅✅ Best Graduating Student, Department of Political Science and International Relations! God really did, daddy’s girl is a first class graduate❤️! Signed, The one and only hot girl scholar💋!




akademik kariyer, sınavlar, tez, makale, proje, kadro ilanları derken aynaya yansıyan görüntüm

Something went wrong.
Something went wrong.
United States Trends
- 1. Good Sunday 60.2K posts
- 2. Troy Franklin N/A
- 3. Brownlee N/A
- 4. #sundayvibes 5,585 posts
- 5. #JetUp N/A
- 6. #AskFFT N/A
- 7. Jermaine Johnson N/A
- 8. Lutz 1,382 posts
- 9. #DENvsNYJ 1,084 posts
- 10. Rich Eisen N/A
- 11. Nick Folk N/A
- 12. #AskBetr N/A
- 13. Muhammad Qasim 21.8K posts
- 14. Pat Bryant N/A
- 15. Miary Zo 2,244 posts
- 16. KenPom N/A
- 17. Mason Taylor N/A
- 18. Discussing Web3 N/A
- 19. Wordle 1,576 X N/A
- 20. Bourne 1,554 posts