#flowcontrol 搜尋結果
💨 Plastic Automatic Air Valve — Keep pipelines breathing right. Fast air evacuation, automatic seal, prevents water hammer & vacuum. Compact, corrosion-resistant, easy install. 📩 DM for sizing & quotes. #AirReleaseValve #Servetech #FlowControl

⚙️ Servetech Flange Ball Valve — Performance & Versatility Full-port, floating ball design for smooth, low-loss flow. 316 stainless construction, easy install & quick repair access — ideal for water, gas, oil & air. #FlangeBallValve #Servetech #FlowControl

Pressure seal valves have evolved from post-WWII innovation to modern reliability. Trillium’s graphite pressure seal conversions with stainless steel caps deliver better sealing, faster installation, and lasting durability. #ValveEngineering #FlowControl #GraphiteSeals

🔄 3-Way Ball Valve – Flexible Flow Control, Built to Last 💧⚙️ T or L port design with stainless steel durability for water, oil, gas, air & more. ✅ G/NPT Thread Options ✅ Multi-Application Ready ✅ Long Service Life #3WayBallValve #Servetech #FlowControl #IndustrialValves

⚙️ WCB Flange Wedge Gate Valve — Full-bore flow with rock-solid shut-off. Flanged wedge design + planar seals = low friction, minimal pressure loss. Perfect for steam, feedwater, hydrocarbons & lube oil. 📩 DM for specs & quick quote. #GateValve #Servetech #FlowControl

One #Valve, endless reliability! #GateValves for water, gas & fire systems—WRAS-approved & efficient. ✉ [email protected] 🌐 dutcotennant.com #FlowControl #ValveTechnology #Valves #Pipeline #FireProtection #DutcoTennantLLC

Flow. Pressure. Safety. #FlowRateControlValve Maintain precise and constant flow in your systems. Armaş Flow Rate Control Valves limit the desired flow, prevent excessive water loss, and ensure reliable operation even under varying inlet pressures. #FlowControlValve #flowcontrol

🔁 Non-Return Valve by Servetech – One-Way Flow, Zero Compromise! 💧 Prevent backflow effortlessly with our swing check valve – smooth flow, auto-closing, and built to last. ✅ Auto-closing ✅ Swing-type design ✅ Ideal for water, oil & gas systems #CheckValve #FlowControl

🔩 Air Pneumatic Control Angle Seat Valve – Built for performance! ✅ SS Body ✅ Spring Return/Double Acting ✅ Handles Steam, Air, Water & Oil ✅ Threaded for Easy Fit 🔥 Withstands high temps! Ideal for water treatment, packaging & automation. #FlowControl #Valve

💡 You are looking for the best way to #Seal drilled holes or create #FlowControl in fluid systems? Your solution is the KOENIG-EXPANDER® is designed to resist even the most extreme loads and pressures. Learn more about its use: 👉 buff.ly/5fapuMM #SFC #Koenig

Behind every smooth steel pour is our precise flow control—slide plates, nozzles, porous plugs & more—ensuring safety, efficiency & accuracy in steelmaking. Trust TRL Krosaki for expert, quality solutions. #FlowControl #SteelCasting #TRLKrosaki #RefractorySolutions

Looking for precision and purity in your #flowcontrol? The SVF CleanFLOW™ SB7 Ball Valve is engineered for critical #Pharma & #Food applications. #industrial #ballvalve Learn more: ow.ly/sE5n50WX1wt
🔩 Servetech Flange Ball Valve – Strong, Smooth, and Simple 💡 Engineered for durability and effortless flow control across water, gas, oil & air systems. ✅ Floating Ball Design ✅ Full Port Efficiency ✅ Stainless Steel Strength #FlangeBallValve #Servetech #FlowControl

Althon Limited has supplied 1200 mm and 600 mm duckbill valves to Colwyn Bay, Wales, delivering reliable flow control and flood protection. Learn more about our solutions: buff.ly/rr2OJP8 #FloodProtection #FlowControl

Demand is rising for high-tech Flow Control products, driven by IoT and predictive maintenance—and private equity is taking note. Take a look at our latest Flow Control M&A Update for sector insights: hubs.ly/Q03Dfl840 #industrials #flowcontrol #filtration
🔎 Explore now: yellowpages-uae.com/uae/butterfly-… . #butterflyvalves #valves #flowcontrol #industrialvalves #yellowpagesuae #uae #industrialsupplies #uae #dubai #abudhabi

"Today we're talking about the exciting techniques of #FIFO #FlowControl for the high performance #DataPath. As an added bonus we introduce object allocators for which are nicely supported by FIFOs." @TFHerbert Read: medium.com/@tom_84912/a-l…

China's reliable valve manufacturer and exporter #Flowcontrol #Sourcefactory #EngineeringSpecialist Zhengzhou Success Machinery CO.,LTD successmach.com
Wishing you a Diwali that brings smooth journeys, steady progress and prosperous opportunities. May every path you choose be bright, meaningful and filled with growth and good fortune. 🪔 #AdvanceFloValves #FlowControl #IndustrialSolutions #HappyDiwali #Diwali2025

BS5153 Cast Iron Swing Check Valve Designed & manufactured to BS5153 with BS4504 flanged ends. Tested per BS5146. Reliable flow control and backflow prevention. yuandavalves.com #CheckValve #BS5153 #FlowControl #CastIronValve #IndustrialValves #BS4504 #BackflowPrevention

DN25 PN16 Forged Floating Ball Valve Body ASTM A105 ISO 17292 #IndustrialValves #Valves #FlowControl #Engineering #FloatingBallValve dvsvalve.com/DN25-PN16-Forg…

Ensure Smooth, Reliable Flow Every Time! The Segmented Type Bottom Valve delivers precise discharge, high durability, and easy maintenance across dairy, pharma, food, cosmetics, chemical, and beverage industries. Perfect for manual or pneumatic operations. #4maValve #FlowControl

Ensure smooth flow control with our premium Ball Valves, engineered for durability and reliability. Perfect for a variety of applications. 🌟💧 📞 +971-67-445-634 | +971-50-675-8978 🌐 gulfengineeruae.com #BallValves #FlowControl #Durability #EngineeringExcellence

🔥 Read our Paper 📚Partial Oscillation #FlowControl on #Airfoil at Low Reynolds Numbers 🔗mdpi.com/2076-3417/14/1… 👨🔬by Guanxiong Li and Jingyu Wang @SCUCN #partialoscillation #laminarseparationbubble

Pressure seal valves have evolved from post-WWII innovation to modern reliability. Trillium’s graphite pressure seal conversions with stainless steel caps deliver better sealing, faster installation, and lasting durability. #ValveEngineering #FlowControl #GraphiteSeals

Steam system couldn’t keep up with a growing production floor ⚠️ We delivered: ✅ Precise temperature control ✅ No water logging ✅ Reliable steam & condensate handling 👉 eu1.hubs.ly/H0n8G_q0 #FlowControl #SteamSystems #IndustrialEfficiency
12” 150LB Dual Plate Wafer Type Check Valve A995 4A API594 dvsvalve.com/12-150LB-Dual-… #IndustrialValves #Valves #FlowControl #Engineering #WaferCheckValve

DN80 PN25 Cast Steel Gate Valve Body 1.0619 H.W. DIN3352 dvsvalve.com/DN80-PN25-Cast… #IndustrialValves #Valves #FlowControl #Engineering #gatevalve

⚙️ Servetech Flange Ball Valve — Performance & Versatility Full-port, floating ball design for smooth, low-loss flow. 316 stainless construction, easy install & quick repair access — ideal for water, gas, oil & air. #FlangeBallValve #Servetech #FlowControl

Our JAP Series pumps are crafted with precision using investment casting, delivering reliable performance and trusted flow control for your toughest industrial processes. 📞 +91 96876 50618 🌐 jeeppumps.com #FlowControl #IndustrialPumps #CentrifugalPumps #JAPSeries

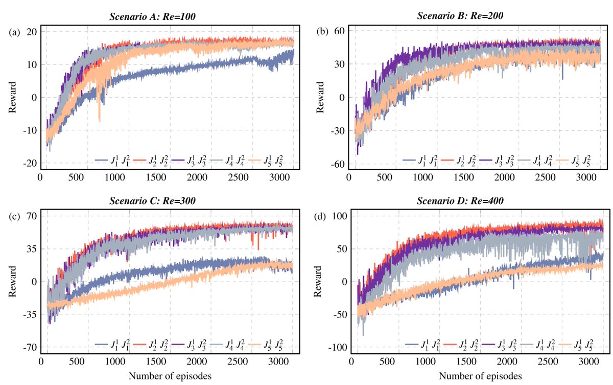
New results on adaptive DRL-based flow control across varying Reynolds numbers and actuator positions! 🥳Enhanced DRL framework with dynamic features & reward shaping. 🥰doi: 10.1063/5.0272178 #FlowControl #ReinforcementLearning #CFD #DragReduction #SyntheticJets #FluidDynamics




🎉 Deep reinforcement learning-based active flow control of an elliptical cylinder: Transitioning from an elliptical cylinder to a circular cylinder and a flat plate 📄 DOI: 10.1063/5.0218408 #DRL #FlowControl #PhysicsOfFluids #CFD #ReinforcementLearning #BluffBody

💨 Plastic Automatic Air Valve — Keep pipelines breathing right. Fast air evacuation, automatic seal, prevents water hammer & vacuum. Compact, corrosion-resistant, easy install. 📩 DM for sizing & quotes. #AirReleaseValve #Servetech #FlowControl

⚙️ Servetech Flange Ball Valve — Performance & Versatility Full-port, floating ball design for smooth, low-loss flow. 316 stainless construction, easy install & quick repair access — ideal for water, gas, oil & air. #FlangeBallValve #Servetech #FlowControl

🔄 3-Way Ball Valve – Flexible Flow Control, Built to Last 💧⚙️ T or L port design with stainless steel durability for water, oil, gas, air & more. ✅ G/NPT Thread Options ✅ Multi-Application Ready ✅ Long Service Life #3WayBallValve #Servetech #FlowControl #IndustrialValves

⚙️ WCB Flange Wedge Gate Valve — Full-bore flow with rock-solid shut-off. Flanged wedge design + planar seals = low friction, minimal pressure loss. Perfect for steam, feedwater, hydrocarbons & lube oil. 📩 DM for specs & quick quote. #GateValve #Servetech #FlowControl

💡 You are looking for the best way to #Seal drilled holes or create #FlowControl in fluid systems? Your solution is the KOENIG-EXPANDER® is designed to resist even the most extreme loads and pressures. Learn more about its use: 👉 buff.ly/5fapuMM #SFC #Koenig

One #Valve, endless reliability! #GateValves for water, gas & fire systems—WRAS-approved & efficient. ✉ [email protected] 🌐 dutcotennant.com #FlowControl #ValveTechnology #Valves #Pipeline #FireProtection #DutcoTennantLLC

🔩 Air Pneumatic Control Angle Seat Valve – Built for performance! ✅ SS Body ✅ Spring Return/Double Acting ✅ Handles Steam, Air, Water & Oil ✅ Threaded for Easy Fit 🔥 Withstands high temps! Ideal for water treatment, packaging & automation. #FlowControl #Valve

🔁 Non-Return Valve by Servetech – One-Way Flow, Zero Compromise! 💧 Prevent backflow effortlessly with our swing check valve – smooth flow, auto-closing, and built to last. ✅ Auto-closing ✅ Swing-type design ✅ Ideal for water, oil & gas systems #CheckValve #FlowControl

Flow. Pressure. Safety. #FlowRateControlValve Maintain precise and constant flow in your systems. Armaş Flow Rate Control Valves limit the desired flow, prevent excessive water loss, and ensure reliable operation even under varying inlet pressures. #FlowControlValve #flowcontrol

Behind every smooth steel pour is our precise flow control—slide plates, nozzles, porous plugs & more—ensuring safety, efficiency & accuracy in steelmaking. Trust TRL Krosaki for expert, quality solutions. #FlowControl #SteelCasting #TRLKrosaki #RefractorySolutions

🔩 Servetech Flange Ball Valve – Strong, Smooth, and Simple 💡 Engineered for durability and effortless flow control across water, gas, oil & air systems. ✅ Floating Ball Design ✅ Full Port Efficiency ✅ Stainless Steel Strength #FlangeBallValve #Servetech #FlowControl

💧 Effortless Flow Control, Every Time! 💧 Discover our PP Compression Male Valve for: ✔️ Durable, corrosion-resistant PP material ✔️ Leak-proof, reliable performance ✔️ Quick & seamless installation Ideal for plumbing, irrigation, and industrial systems! 🌟 #FlowControl

🔎 Explore now: yellowpages-uae.com/uae/butterfly-… . #butterflyvalves #valves #flowcontrol #industrialvalves #yellowpagesuae #uae #industrialsupplies #uae #dubai #abudhabi

"Today we're talking about the exciting techniques of #FIFO #FlowControl for the high performance #DataPath. As an added bonus we introduce object allocators for which are nicely supported by FIFOs." @TFHerbert Read: medium.com/@tom_84912/a-l…

Celebrating World Environment Day! Our innovative flow control solutions are used in desalination, carbon capture and storage, and renewable energy generation. #WorldEnvironmentDay #Sustainability #FlowControl #CelerosFT

Althon Limited has supplied 1200 mm and 600 mm duckbill valves to Colwyn Bay, Wales, delivering reliable flow control and flood protection. Learn more about our solutions: buff.ly/rr2OJP8 #FloodProtection #FlowControl

At our Belpahar Flow Control Plant, innovation powers precision. With cutting-edge tech, we craft slide plates & nozzles for flawless molten metal flow. #TRLKrosaki #FlowControl #SteelIndustry

Whatever the requirement, we make life easier for customers and specify the best butterfly valve for the job. Read more from Karri's interview on the topic: bit.ly/3kBjv4Z #butterflyvalve #valvetechnology #flowcontrol

Something went wrong.
Something went wrong.
United States Trends
- 1. #Integra N/A
- 2. White House 117K posts
- 3. #hoothoot N/A
- 4. Warner Bros 4,494 posts
- 5. #pilotstwtselfieday N/A
- 6. NBA IS BACK 22.2K posts
- 7. Rick Scott 1,578 posts
- 8. #Melissa 2,001 posts
- 9. #JUNGKOOKXCALVINKLEIN 27K posts
- 10. $VWA 3,045 posts
- 11. Good Tuesday 36.1K posts
- 12. Talus Labs 15.6K posts
- 13. Taco Tuesday 12.8K posts
- 14. CARAMELO ON TLMD 19.3K posts
- 15. Cobie 48.2K posts
- 16. Gucci 29.4K posts
- 17. NASA 56K posts
- 18. Joe Carter 3,741 posts
- 19. Cuomo 75.9K posts
- 20. Anthony Thompson 1,004 posts